-
Research Article

-
중국의 토지이용 정책에 따른 환경 및 경제적 편익 변화 - Grain for Green Program을 중심으로 -
Changes in Environmental and Economic Benefits Caused by Land Use Policies in China: A Case Study of the Grain for Green Program
-
임아영, 김상우, 최현진, YaqianHe, 이은걸
Ahyeong Im, Sangwoo Kim, Hyun Jin Choi, Yaqian He, Eungul Lee
- 육상 생태계는 인위적 탄소 배출을 상쇄하여 기후변화 완화에 중요한 역할을 한다. 특히 토지피복 및 토지이용(Land cover and land use, LCLU) 변화는 식생의 …
Terrestrial ecosystems play a crucial role in mitigating climate change by offsetting anthropogenic carbon emissions. Land cover and land use (LCLU) changes, …
- 육상 생태계는 인위적 탄소 배출을 상쇄하여 기후변화 완화에 중요한 역할을 한다. 특히 토지피복 및 토지이용(Land cover and land use, LCLU) 변화는 식생의 탄소 순환에 직접적인 영향을 미치는 주요 요인이다. 동아시아 몬순 지역은 최근 광범위한 인위적 LCLU 변화를 경험하고 있어, 토지이용 정책이 탄소 수지에 미치는 영향과 그에 따른 경제적 편익 평가에 대한 필요성이 증대되고 있다. 이에 본 연구는 대표적인 중국의 토지이용 정책 시행 지역인 쓰촨 지역과 황토고원 지역을 대상으로, LCLU 변화에 따른 환경 및 경제적 편익을 정량적으로 평가하였다. 중국의 대형 재조림 정책인 Grain for Green Program 시행 시점(1999년)을 기준으로 전반기(1982~1998년)와 후반기(1999~2015년)를 비교 분석한 결과, 쓰촨 지역의 총 식생 탄소 저장량은 정책 시행 이후 7.7배 증가한 반면, 황토고원 지역에서는 건조한 기후 환경으로 인해 상대적으로 제한적인 증가를 보였다. 경제적 편익 측면에서도 정책 시행 이후 두 지역 모두 증가세를 보였으나, 쓰촨 지역의 증가 규모가 현저히 크게 나타났다. 본 연구의 결과는 지리적 특성을 반영하여 지역에 따라 차별화된 토지이용 전략 수립의 필요성을 강조하며, 육상 생태계의 탄소 흡수 잠재력 극대화를 위한 정책 수립에 중요한 기초자료를 제공한다.
- COLLAPSE
Terrestrial ecosystems play a crucial role in mitigating climate change by offsetting anthropogenic carbon emissions. Land cover and land use (LCLU) changes, in particular, are key factors that directly impact on the carbon balance of vegetation. The East Asian monsoon region has recently experienced extensive anthropogenic LCLU changes, increasing the need to evaluate the impacts of land use policies on carbon budget and their associated economic benefits. This study quantitatively assessed the environmental and economic benefits resulting from LCLU changes in the Sichuan region and the Loess Plateau, where land use policies have been implemented in China. Based on the implementation of China’s reforestation policy (i.e., Grain for Green Program) in 1999, we compared two periods (1982–1998 and 1999–2015). The results revealed that total vegetation carbon storage in the Sichuan region increased by 7.7 times compared to that of the early period, while the Loess Plateau showed a relatively limited increase due to its arid climate conditions. In terms of economic benefits, both regions experienced an increase after reforestation policy implementation, with the Sichuan region showing particularly significant gains. These findings highlight the need for differentiated land use policies that consider regional geographic characteristics and provide an important baseline for policy development aiming at enhancing the carbon sequestration potential of terrestrial ecosystems.
-
중국의 토지이용 정책에 따른 환경 및 경제적 편익 변화 - Grain for Green Program을 중심으로 -
-
Research Article

-
사회구성원 유형과 침수 경험에 따른 침수 리스크 교육에 대한 태도와 기후변화 인식의 차이
Differences in Attitudes Toward Flood Risk Education and Climate Change Perception by Community Member Types and Flood Experience
-
노윤진, 박홍봉
Yoonjin Ro, Hongbong Park
- 본 연구는 도시 침수 위험 증가에 대응하기 위한 침수 리스크 교육의 효과적 설계 방안을 모색하고자, 침수 경험 여부와 사회구성원 유형에 따른 교육 …
This study examines how attitudes toward flood risk education and climate change perception vary by types of community members and flood experience …
- 본 연구는 도시 침수 위험 증가에 대응하기 위한 침수 리스크 교육의 효과적 설계 방안을 모색하고자, 침수 경험 여부와 사회구성원 유형에 따른 교육 관련 태도와 기후변화 인식 차이를 분석하였다. 서울시 취약가구원, 수방공무원, 주민봉사자 대상 설문자료를 바탕으로 교육 필요성, 기대 효과, 참여 의향, 기후변화 영향 인식을 비교한 결과, 네 문항 모두에서 사회구성원 유형별 유의한 차이가 나타났으며, 침수 경험 여부는 일부 문항에만 영향을 미쳤다. 이는 리스크 교육 관련 태도가 침수 경험보다는 사회적 역할과 책임에 따라 더 명확히 구분됨을 보여준다. 연구 결과는 사회구성원별 특성을 반영한 차별화된 침수 리스크 교육 전략의 필요성을 시사한다.
- COLLAPSE
This study examines how attitudes toward flood risk education and climate change perception vary by types of community members and flood experience in urban settings where climate-induced flood risks are increasing. Using survey data collected from three key community groups in Seoul—vulnerable households, local government officials, and local volunteers—we compared their views across four dimensions: the necessity of flood risk management education, expected effectiveness, willingness to participate, and climate change impacts on flood hazards. Results show statistically significant differences across all four items by type of community groups. Flood experience exhibits differences for only three items—expected effectiveness, willingness to participate, and climate change impacts on flood hazards, suggesting a more limited and context-dependent influence. Overall, vulnerable households consistently report the lowest levels of education-related perceptions, whereas local volunteers report the highest. The findings suggest that flood risk management education should be designed in ways that reflect the distinct roles, needs, and constraints of different community member groups. The study provides empirical insights that can inform the development of context-specific education programs aimed at strengthening community resilience amid increasing flood risks.
-
사회구성원 유형과 침수 경험에 따른 침수 리스크 교육에 대한 태도와 기후변화 인식의 차이
-
Research Article

-
청년들의 고향에 대한 장소감 탐구 - 지방소멸 담론과 정동의 상호구성 -
Exploring Youths’ Sense of Place toward Their Hometowns: The Interplay of Affect and Local Extinction Discourse
-
황규홍, 정현주
Kyuhong Hwang, Hyunjoo Jung
- 본 연구는 지방소멸 담론으로 인해 청년들의 고향에 대한 장소감이 어떻게 재배치되는지 정동적 과정을 탐구하였다. 이를 위해 경상북도 내 4개 인구감소지역 출신 청년 …
This study explores the affective processes through which the discourse on local extinction reconfigures young adults’ sense of place in relation to …
- 본 연구는 지방소멸 담론으로 인해 청년들의 고향에 대한 장소감이 어떻게 재배치되는지 정동적 과정을 탐구하였다. 이를 위해 경상북도 내 4개 인구감소지역 출신 청년 17명과의 심층 인터뷰를 통해 청년들이 지방소멸 담론과 마주하는 과정을 분석하였다. 연구 결과, 지방소멸 담론이 개입하기 전 청년들의 고향에 대한 장소감은 긍정이나 부정으로 환원할 수 없는 복합적인 감정 상태로 확인되었다. 청년들은 고향의 정서적 안정감과 유대감을 긍정하면서도 동시에 물리적으로 낙후된 환경과 폐쇄적인 문화에서 비롯된 부정적인 감정이 공존하는 복합적인 장소감을 가지고 있었다. 그러나 정부, 연구기관, 언론 등 공신력 있는 채널을 통해 마주한 지방소멸 담론은 청년들이 가지고 있던 복합적인 장소감의 균형을 무너뜨렸다. ‘소멸’이라는 강력한 프레임은 청년들이 명확하게 인지하지 못했던 불안감을 활성화하는 정동적 요인으로 작동했다. 이렇게 활성화된 부정적 정동은 청년들로 하여금 고향에서 소멸의 증거를 찾아 긍정적으로 여겼던 가치마저 부정적으로 재해석하게 만들었다. 그 결과, 정동의 재현물인 언어적 표현이 부정적 정동을 증폭시켜 청년들에게 고향은 부정적 감정이 강화된 장소로 전환되었다. 이 과정에서 고향에 대한 애착은 약화되고, 고향을 떠나는 선택은 정당화되었다. 이는 장소감이 개인의 해석에만 의존하는 것이 아닌 개인을 둘러싼 물리적 환경, 담론 등 정동적 구성을 고려해야 함을 시사한다. 본 연구는 장소감과 정동의 관계를 조명함으로써 지역 연구와 정책 담론에 새로운 함의를 제공한다.
- COLLAPSE
This study explores the affective processes through which the discourse on local extinction reconfigures young adults’ sense of place in relation to their hometowns. The study conducted in-depth interviews with seventeen young adults from four cities in North Gyeongsang Province experiencing population decline. The findings reveal that prior to the intervention of local extinction discourse, the participants’ sense of place consisted of ambivalent affective states - positive feelings of stability and belonging coexisting with negative perceptions of outdated infrastructure and closed social environments. However, the discourse of local extinction, encountered through the government, institutions, and media, disrupted the participants’ complex emotional balance. The powerful frame of “extinction” functioned as an affective factor that activated latent anxieties. This heightened negative affect prompted the young adults to seek signs of decline in their everyday surroundings, leading them to reinterpret previously positively values in a negative light. Consequently, linguistic expressions - the representations of affect - amplified the negative emotions, transforming hometown into a space with negative affect. In this process, place attachment weakened, and the decision to leave the hometown became justified. This suggests that sense of place is shaped not only by personal experiences, but also by affective configurations embedded in broader discursive and material contexts. By illuminating the relationship between the sense of place and affect, this study offers new insights into regional studies and policy discourse.
-
청년들의 고향에 대한 장소감 탐구 - 지방소멸 담론과 정동의 상호구성 -
-
Research Article

-
생성형 AI 기반 공간정보 기술(GeoAGI)의 진화 - 문헌 고찰을 통한 추진 전략 도출 -
Evolution of Generative AI-based Geospatial Technologies (GeoAGI): Deriving Strategic Directions through a Literature Review
-
조성진, 김강민, 황태건, 강전영
Sung-Jin Cho, Kangmin Kim, Taekeon Hwang, Jeon-Young Kang
- 최근 대규모 언어모델(LLM)을 중심으로 한 생성형 인공지능의 발전은 공간정보 분야에서 다양한 방식으로 진화되고 있다. 기존의 GeoAI가 딥러닝 기반 영상 분석과 시공간 예측 …
Recent advances in generative artificial intelligence, particularly large language model (LLM), have led to various forms of evolution in the field of …
- 최근 대규모 언어모델(LLM)을 중심으로 한 생성형 인공지능의 발전은 공간정보 분야에서 다양한 방식으로 진화되고 있다. 기존의 GeoAI가 딥러닝 기반 영상 분석과 시공간 예측 등의 특정 과업에 최적화된 분석도구로 발전해 왔다면, 최근에는 자연어의 이해, 멀티모달 데이터 통합, 분석 절차의 자동화를 결합한 범용적 공간지능으로의 확장이 요구되고 있다. 이러한 흐름 속에서 GeoAGI(Geospatial Artificial General Intelligence)는 생성형 AI를 GIS 및 공간분석에 통합하여 인간의 지리적 추론 능력을 모방하는 새로운 공간지능 패러다임으로 주목받고 있다. 본 연구는 GeoAI에서 GeoAGI로의 기술적・개념적 진화를 체계적으로 정리하기 위해 문헌 고찰을 수행하였다. 국내의 GeoAI 관련 연구와 최근 국제 학술지에 게재된 공간 기초모델, 대규모 언어모델, 멀티모달 기반 공간지능 연구를 종합적으로 분석하여, 기술 발전 단계를 분석하였다. 이를 통해 GeoAGI의 개념을 정의하고, 공간기반 파운데이션모델(GeoFM), 공간지식그래프(GeoKG), 멀티모달 융합 구조, 공간추론 엔진, 자율형 GIS 에이전트 등의 핵심 구성요소를 소개하였다. GeoAGI는 많은 잠재력을 가진 반면에, 공간 추론의 정확도, 멀티모달 정합성, 환각, 지역성 편향 등의 기술적 한계도 존재한다. 본 연구는 이러한 한계를 극복하기 위한 핵심 연구 과제와 추진 전략을 제시하면서, GeoAGI의 학술적 정립과 공간정보 기반 의사결정 지원체계로의 확장을 위한 이론적 토대를 제공하고 있다.
- COLLAPSE
Recent advances in generative artificial intelligence, particularly large language model (LLM), have led to various forms of evolution in the field of GIScience. While conventional GeoAI has primarily focused on conducting specific tasks such as deep learning-based image analysis and spatiotemporal prediction, there is a growing demand for a more general form of spatial intelligence that integrates natural language understanding, multimodal data fusion, and automated analytical workflows. In this context, GeoAGI(Geospatial Artificial General Intelligence) has emerged as a new spatial intelligence paradigm that integrates generative AI into GIS and spatial analysis to emulate human-like geographic reasoning. In this study, we conducted a literature review to systematically explore the technological and conceptual transition from GeoAI to GeoAGI. We comprehensively analyze domestic GeoAI-related studies with recent work on geospatial foundation models, LLMs, and multimodal spatial intelligence. Based on our reviews, we defined the concept of GeoAGI and introduce its core components, including geospatial foundation model (GeoFM), geospatial knowledge graph(GeoKG), multimodal fusion architectures, spatial reasoning engines, and autonomous GIS agents. While GeoAGI shows substantial potential, it also faces critical challenges, including limited spatial reasoning accuracy, cross-modal inconsistency, hallucination, and regional bias. By identifying these issues and outlining key research directions, this study provides a theoretical foundation for advancing GeoAGI as a geospatial decision-support framework.
-
생성형 AI 기반 공간정보 기술(GeoAGI)의 진화 - 문헌 고찰을 통한 추진 전략 도출 -
-
Research Article

-
공간 시뮬레이션 기반 역량 강화를 위한 공간정보 교육의 방향- 에이전트 기반 모델링을 중심으로 -
Enhancing GIS Education through Geosimulation: A Focus on Agent-Based Modeling
-
강전영, 홍혁진, 이명훈, 황혜진, 양재형, 이슬, 정희지
Jeon-Young Kang, Hyeokjin Hong, Myeonghun Lee, Hae Jin Hwang, Jaehyoung Yang, Seul Lee, Huiji Jeong
- 본 연구는 에이전트 기반 모델링으로 대표되는 공간 시뮬레이션 교육이 국내 지리학과 및 공간정보공학과의 커리큘럼에서 충분히 제공되고 있지 못하는 구조적 원인을 분석하고, 향후 …
This study critically examines the current state of geosimulation curricular in major geography departemetns in South Korea and proposes strategic pathways for …
- 본 연구는 에이전트 기반 모델링으로 대표되는 공간 시뮬레이션 교육이 국내 지리학과 및 공간정보공학과의 커리큘럼에서 충분히 제공되고 있지 못하는 구조적 원인을 분석하고, 향후 공간정보 교육의 방향을 모색하는 것을 목적으로 한다. 이를 위해 먼저 ABM을 연구에서 활용하기 위해 요구되는 핵심 역량을 개념 모델링, 프로그래밍, 시뮬레이션 실행, 검증 및 해석, 시각화로 구분하여 정리하였다. 또한 ABM 교과목이 실제로 운영되고 있는 미국의 연구중심대학의 공간정보 커리큘럼을 비교 분석하였다. 결과로써, 미국의 대학들은 공간정보 기초, 공간분석, 프로그래밍, 모델링, 시뮬레이션이 단계적으로 연계된 커리큘럼 생태계를 통해 ABM 교육을 뒷받침하고 있는 반면, 국내 대학의 경우에는 GIS 소프트웨어 활용에 치중되어 있는 교육 구조로 인해, 시뮬레이션 및 모델링 교육이 체계적으로 제공되고 있지 못하는 것으로 확인되었다. 특히, GIS 프로그래밍과 시뮬레이션 관련 교과목의 부재 및 전임교원 부족의 구조적 한계로 인하여 ABM 교육이 특강이나 개별 연구 수준에 머무르는 것으로 파악되었다. 이러한 분석을 바탕으로 본 연구는 단일 교과목 신설이 아니라, 프로그래밍 기초–공간분석–모델링–시뮬레이션으로 이어지는 단계적 커리큘럼 재구조화가 국내 공간정보 교육에서 ABM 기반 공간 시뮬레이션 역량을 강화하기 위한 핵심 전략임을 제안한다.
- COLLAPSE
This study critically examines the current state of geosimulation curricular in major geography departemetns in South Korea and proposes strategic pathways for strenthening GIS education.. We first conceptualize the core competencies required for ABM, including conceptual modeling, programming, simulation, validation, interpretation, and visualization. We then analyze the GIS curricula of four U.S. research-oriented universities, where ABM courses are actively offered. The results present that theses universities support ABM education through a coherent “curriculum ecosystem” that integrates spatial theory, spatial analysis, programming, modeling, and simulation in a sequential manner. In contrast, GIS programs in Korean universities remain heavily oriented toward GIS software use and static data analysis, with limited opportunities for algorithmic modeling and simulation-based learning. In particular, the lack of GIS programming and simulation courses, together with the limited number of faculty members, may limit ABM education to ad-hoc or extracurricular levels. Based on our results, we suggest that strenthening ABM-based geosimulation education in Korea requires not merely introducing individual courses, but restructuring curricula toward a staged framework linking programming, spatial analysis, modeling, and simulation as a coherent educational pathway.
-
공간 시뮬레이션 기반 역량 강화를 위한 공간정보 교육의 방향- 에이전트 기반 모델링을 중심으로 -
-
Research Article

-
하이퍼링크 기반 시・군 간 정보 네트워크의 공간적 코어 구조
Spatial Core Configuration of the Hyperlink-Derived Inter-Municipal Information Network
-
이지석, 백효진
Jiseok Lee, Hyojin Baek
- This study constructs a public URL–based hyperlink network for cities and examines the spatial characteristics of interurban information connectivity through degree centrality …
본 연구는 전국 시・군을 대상으로 공공 URL 기반 하이퍼링크 네트워크를 구축하고 유입・유출 네트워크를 구분한 차수 중심성 및 𝑘-core 분석을 통해 시・군 간 …
- This study constructs a public URL–based hyperlink network for cities and examines the spatial characteristics of interurban information connectivity through degree centrality and 𝑘-core analyses that distinguish between in-degree and out-degree networks. The results show that the core of information flows is formed along the Gyeongbu axis: the Capital Region functions primarily as an in-degree core, the Gyeongsang region as an out-degree core, and the Chungcheong region as a key intermediary linking inbound and outbound flows. In the out-degree network, the Gyeongsang region exhibits a stable, block- type polycentric core structure, whereas the Gangwon and Jeolla regions exit the network at early stages, revealing structural vulnerability. Overall, while the network reflects the spatial structure of the national territory, it more clearly exposes the vulnerabilities of the Gangwon and Jeolla regions and the polycentric structure of the Gyeongsang region, thereby underscoring the need to reorganize central functions and strengthen regional information capacity to mitigate exclusion and disparities in information flows.
- COLLAPSE
본 연구는 전국 시・군을 대상으로 공공 URL 기반 하이퍼링크 네트워크를 구축하고 유입・유출 네트워크를 구분한 차수 중심성 및 𝑘-core 분석을 통해 시・군 간 정보 연결구조의 공간적 특성을 규명하였다. 분석 결과, 정보 흐름의 코어는 경부축을 중심으로 형성되었으며, 경기권은 유입 중심, 영남권은 유출 중심, 호서권은 유입・유출을 매개하는 핵심 역할을 수행하는 것으로 나타났다. 유출 네트워크의 경우 영남권이 블록형 다핵 구조로 안정적인 코어를 형성하고 있었다. 한편, 관동권과 호남권은 초기 단계에 네트워크에서 이탈하며 구조적 취약성을 드러냈다. 실제 국토 공간의 공간구조 특성을 반영하면서도 관동권・호남권의 취약성과 영남권 다핵 구조가 보다 잘 드러났으며, 이에 취약 구조를 드러내는 권역의 정보 흐름 배제와 격차 완화를 위한 중추 기능 재편 및 지역 정보역량 강화의 필요성을 시사하였다.
-
하이퍼링크 기반 시・군 간 정보 네트워크의 공간적 코어 구조
-
Research Article

-
내국인 관광 수요 분포의 복잡계적 구조 분석- 코로나19 이전・확산기・회복기 비교 -
Complex-Systems Structure of the Distribution of Domestic Tourism Demand in South Korea: Comparing Pre-Pandemic, Pandemic, and Post-Pandemic Periods
-
전광상
Gwang-sang Jeon
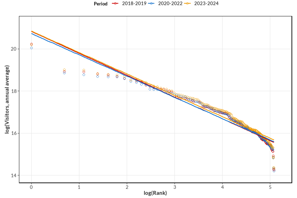
- 본 연구는 코로나19 확산 전후 내국인 관광 수요의 공간 분포를 복잡계 관점에서 해석하였다. 순위-규모 분석 결과, 분포는 전반적으로 Zipf형 스케일링을 유지하였으나 상위 …
This study examines how the spatial distribution of domestic tourism demand in South Korea changed across the pre-pandemic, pandemic, and post-pandemic periods …
- 본 연구는 코로나19 확산 전후 내국인 관광 수요의 공간 분포를 복잡계 관점에서 해석하였다. 순위-규모 분석 결과, 분포는 전반적으로 Zipf형 스케일링을 유지하였으나 상위 꼬리를 기준으로 표본을 절단하는 민감도 분석에서 추정 기울기가 표본 설정에 따라 체계적으로 달라지는 동시에 상위 구간의 로그-로그 직선성이 안정적으로 유지됨을 확인하였다. 이는 전 구간이 단일 지수로 완전히 수렴하기보다는 구간별 이질성과 제한된 자기유사성(limited self- similarity)이 공존함을 시사한다. 또한 스플라인 기반 국소 Zipf 지수 분석은 구간별 기울기 차이와 비선형 곡률을 통해 팬데믹기 상위 집중의 완화와 회복기의 부분적 재강화를 포착하였다. 더불어 Gibrat의 법칙 검증에서 팬데믹기에는 규모별 성장 격차가 확대되었다가, 회복기에는 성장 패턴이 규모무관적 형태로 근사 복귀하는 과정을 확인하였다. 이러한 결과는 외생적 충격에도 불구하고 내국인 관광 수요 체계가 지역 간 상호작용과 적응을 통해 내부 구조를 자기조직화(self-organization)적으로 재배열하며, 비평형적 질서를 일정 수준 유지・조정해 갈 수 있음을 시사한다.
- COLLAPSE
This study examines how the spatial distribution of domestic tourism demand in South Korea changed across the pre-pandemic, pandemic, and post-pandemic periods from a complex-systems perspective. Rank-size analysis indicates that the distribution largely preserved Zipf-like scaling. However, a sensitivity test based on truncating the sample by the upper tail shows that the estimated slope varies systematically with the truncation rule while log-log linearity remains stable within the upper segment. This suggests that, rather than converging to a single exponent over the full range, segmental heterogeneity and limited self-similarity coexist. A spline-based analysis of local Zipf exponents further captures segment-specific slope differences and nonlinear curvature. It reveals a relaxation of top-end concentration during the pandemic and a partial re-strengthening in the recovery period. In addition, tests of Gibrat’s law show that size-dependent growth disparities widened during the pandemic, whereas growth patterns approximately returned to a size-independent form in the recovery period. Taken together, these results suggest that despite external shocks, the domestic tourism demand system can reconfigure its internal structure through self-organization via interregional interactions and adaptation. This enables the system to maintain and adjust a non-equilibrium order to a meaningful extent.
-
내국인 관광 수요 분포의 복잡계적 구조 분석- 코로나19 이전・확산기・회복기 비교 -
-
Research Article

-
경로분석을 통한 세계유산 보존과 공동체 모빌리티 특성 간 관계 연구 - 수원화성을 사례로-
A Path-Analysis Study on the Relationship between World Heritage Conservation and Community Mobility Characteristics: The Case of Suwon Hwaseong
-
한승우, 최재헌
Seung-Woo Han, Jae-Heon Choi
- 본 연구는 수원화성을 사례로 공동체 모빌리티 특성과 세계유산 보존의 관계를 분석하였다. 주민과 방문객을 대상으로 수집한 설문자료에 경로분석을 적용한 결과, 집단별 차이는 존재하나 …
Using Suwon Hwaseong as a case study, this study examines the relationship between community mobility characteristics and World Heritage conservation. We applied …
- 본 연구는 수원화성을 사례로 공동체 모빌리티 특성과 세계유산 보존의 관계를 분석하였다. 주민과 방문객을 대상으로 수집한 설문자료에 경로분석을 적용한 결과, 집단별 차이는 존재하나 개인의 모빌리티 역량이 유산가치 인식을 제고함으로써 세계유산 보존에 직・간접적으로 영향을 미치는 것으로 나타났다. 특히 주민의 거주적합성과 방문객의 방문만족은 모빌리티 역량의 효과가 세계유산 보존으로 이어지는 과정에서 매개변수로 작동하였다. 이는 모빌리티의 인과 메커니즘이 집단에 따라 상이하게 나타나더라도, 전반적으로 이동에 유리한 조건이 공동체의 보존 참여를 촉진할 수 있음을 시사한다. 따라서 지속가능한 유산보존을 위해서는 공동체 참여를 전제로 개인의 다양한 모빌리티 수요를 반영하고, 상대적으로 낮은 역량을 보완하는 정책적 지원을 마련할 필요가 있다. 나아가 본 연구는 유산관리에서 공동체의 이질성과 다양성을 고려하는 행태주의적 접근의 필요성을 강조한다.
- COLLAPSE
Using Suwon Hwaseong as a case study, this study examines the relationship between community mobility characteristics and World Heritage conservation. We applied path analysis to survey data collected from residents and visitors. The results show that, despite group-level differences, individual mobility capability enhances perceptions of heritage value, which in turn exerts both direct and indirect effects on World Heritage conservation. In particular, residents’ perceived livability and visitor satisfaction mediated the effect of mobility capability on conservation. These findings suggest that, even when the causal mechanisms of mobility differ across groups, mobility-supportive conditions generally promote community participation in conservation. Accordingly, sustainable heritage conservation—premised on community participation—requires policies that reflect diverse individual mobility needs and provide compensatory support for those with relatively limited capability. Finally, this study underscores the need for a behavioral approach to heritage management that accounts for community heterogeneity and diversity.
-
경로분석을 통한 세계유산 보존과 공동체 모빌리티 특성 간 관계 연구 - 수원화성을 사례로-
-
Research Article

-
상호문화적 상호작용을 통한 ‘사이공간’으로서의 공간-사회문화성 형성과 함의 - 개성공단을 사례로-
Formation and Implications of Space-Social Culture as a ‘in-between space’ through Intercultural Interaction: Taking Kaesong Industrial District as an Example
-
홍승표
Seungpyo Hong
- 본 연구는 개성공단에서 발생한 남북 간 행위자들의 상호문화적인 상호작용을 통해 형성된 새로운 사회문화적인 성격을 분석하여 개성공단이 ‘사이공간’임을 밝히고자 하였다. 연구 결과, 남북은 …
This study attempted to clarify that the Kaesong Industrial Complex is a 'in-between space' by analyzing a new sociocultural character formed through …
- 본 연구는 개성공단에서 발생한 남북 간 행위자들의 상호문화적인 상호작용을 통해 형성된 새로운 사회문화적인 성격을 분석하여 개성공단이 ‘사이공간’임을 밝히고자 하였다. 연구 결과, 남북은 계속된 상호작용의 결과로 기성의 규범/질서와 다른 이질적이며 혼합적인 형태의 사회문화가 기존의 속성 위에 중첩되었다. 이것은 ①남북의 혼합적으로 새롭게 형성된 개성공단만의 언어・문자 문화, ②남북 행위자의 새로운 행동양식, 즉 남북이 접촉을 통해서 서로 간의 상호문화적인 감수성을 높여가면서 행동 양식의 변화가 나타난 점, ③북한 측 행위자들의 사유재산에 대해 인식하고 실천하며 자본주의적인 생산과 소비양식에 적응한 모습으로 나타났다. 그러나 개성공단에서의 이러한 사회문화적 성격은 기존의 질서를 완전히 대체하는 것이 아니었으며 체제문제나 정치체계와 같은 근본문제에 대해서는 상호작용이 일어나지 못하고 있었다. 따라서 개성공단은 내부적으로 형성된 이질적이고 혼합적인 새로운 문화가 불완전한 상태인 ‘사이공간’인 채로 2016년 2월 11일 중단되어 지금에 이르고 있다.
- COLLAPSE
This study attempted to clarify that the Kaesong Industrial Complex is a 'in-between space' by analyzing a new sociocultural character formed through the intercultural interaction of actors between the two Koreas that occurred at the Kaesong Industrial District(KID). As a result of the study, as a result of continuous interaction between the two Koreas in KID, heterogeneous and mixed forms of social culture that differ from the established norms/order were superimposed on the existing attributes. This is because ① the language and text culture of the KID, which has been newly formed in a mixture of the two Koreas, ② the new behavioral style of the actors of the two Koreas, the change in behavioral style while increasing the mutual cultural sensitivity of each other through contact between the two Koreas, ③ the recognition and practice of the private property of the North Korean actors, and the adaptation to the capitalist production and consumption style. However, this socio-cultural nature at the KID did not completely replace the existing order, and there was no interaction on fundamental issues such as system issues and political systems. Therefore, the Kaesong Industrial District was suspended on February 11, 2016 in a 'in-between space' in which the heterogeneous and mixed new culture formed internally is incomplete.
-
상호문화적 상호작용을 통한 ‘사이공간’으로서의 공간-사회문화성 형성과 함의 - 개성공단을 사례로-


Journal of the Korean Geographical Society






