1. 서론
2. 상업 젠트리피케이션 연구 동향
1) 우리나라 상업 젠트리피케이션 연구
2) 상업 젠트리피케이션 단계 연구
3. 연구 지역 및 연구 방법
4. 상업 젠트리피케이션의 시공간 변화와 단계 분석
1) 상업 젠트리피케이션 기사 빈도 분석
2) 상업 재생지의 시공간 특성 변화
3) 상업 재생지의 업종별 생존 양상
4) 상업 젠트리피케이션 단계 분석
5. 결론 및 논의
1. 서론
2000년대 이후 문화 소비 공간에 대한 수요 증가는 기존의 도시 상권을 벗어나 새로운 상업 공간의 형성을 가져오고 있다. 이러한 새로운 상업 공간의 요구는 대부분의 지역 개발이 완성된 시점에서 새로운 상업 지구의 개발보다 기존 도심지의 낙후 지역에 대한 재개발을 통한 재활성화를 꾀하는 접근이 주목받고 있다(강내희, 2017; 최연우・김철영, 2019). 특히, 문화, 예술가, 소규모 자영업자의 자발적 유입을 통해 지역의 정체성을 반영하는 독특한 분위기로 형성된 상업 공간은 변화된 젊은 세대와 중산층의 소비 패턴과 맞물려 성공적인 지역 재생 사례로 이어지고 있다(양희은・손용훈, 2013). 예컨대, 서울의 홍대, 삼청동, 가로수길, 이태원 등은 예술가들에 의해 분위기 있는 공간으로 변화됨으로써 중산층의 문화소비 수요와 맞물려 여러 고급 레스토랑, 상점 등이 입점하면서 지역의 독특한 상권이 형성되고 있다. 문화 예술적 콘텐츠와 지역적 특성이 결합된 소비 공간은 방문객의 급격한 증가를 가져왔고, 주거 재개발에 따른 기존의 도시 재생이 아니라 상업적, 문화적 재생을 통한 지역 재활성화가 이루어지고 있다(허자연 등, 2015; Zukin et al., 2009).
일반적으로 도시 재생(urban regeneration)은 도시 내 낙후 지역들을 재건축이나 재개발을 통해 재활성화하는 것을 의미하는데 노후화된 지역의 주거 환경이 개선되고 지역 경제가 활성화될 수 있다. 하지만 도시 재생은 동시에 지역의 지가를 상승시키고 주거 비용을 높이는 주요 원인이 되어 기존에 살던 저소득층 원주민의 경우 높은 주거비를 감당하지 못하고 다른 지역으로 비자발적 전출을 하게 되는 부정적 효과, 다시 말해, 젠트리피케이션(gentrification)을 가져오기도 한다. 젠트리피케이션은 미국의 슬럼화된 주택가가 중산층이 유입됨으로써 고급 주택가로 변모되는 현상을 일컫는데(Glass, 1964), 대체로 재생되는 지역에 높은 사회경제적 지위를 가진 새로운 인구 집단의 유입으로 인해 기존 원주민의 퇴출 현상으로 이해할 수 있다(Hamnett, 1991; Bourne, 1993).
초기에 주로 이루어진 택지 기반의 재생 뿐 아니라 문화예술적 특성에 기반한 재생 지역 역시 저소득층의 원주민이 퇴출당하거나 영세한 소규모 자영업자로 이루어진 동네 상권이 붕괴되는 부정적 외부 효과가 심각하게 나타나고 있다(김동준 등, 2019). 저렴한 임대료를 기반으로 예술가, 소규모 자영업자들이 모여들며 독특하고 고유한 문화예술적 상권을 형성했지만, 얼마 지나지 않아 상가와 시설에 대한 임대료가 급상승하면서 이를 감당하지 못하는 초기 자영업자, 예술가들이 퇴출되는 상업 젠트리피케이션이 진행되고 있다(김봉원 등, 2010). 나아가 지역 특성과 상관없는 대형 프랜차이즈가 유입됨에 따라 지역의 고유성이 사라지고, 획일화된 업종에 싫증을 느낀 소비자들이 점차 외면하면서 해당 상권이 붕괴되고 있다.
활발한 상업 재생과 함께 빈번한 젠트리피케이션의 발생은 지역 상권의 재붕괴 및 재낙후화와 같은 심각한 지역 문제를 초래할 수 있다. 저출산・노령화로 인한 심각한 인구 절벽과 지역 소멸의 위기 속에서 지역의 상업 경제 기반의 붕괴는 내수 소비를 위축시키고 지역 유인력을 감소시키면서 끝이 없는 지역 침체를 가져올 수 있다. 따라서 상업 재생에 따른 부작용에 대한 지자체의 적극적인 감독과 대처가 절실히 필요한 시점이다. 특히, 상업 젠트리피케이션(commercial gentrification)의 진행 단계를 평가하는 것은 지역 상권의 현 상황을 진단하고 예측 가능한 상권 단계를 보여줄 수 있어 상권 관리나 지역 경제 계획 수립에 도움을 줄 수 있을 것이다. 그뿐만 아니라 새로 진입하는 소상공인의 공간 의사결정에 유익한 기초 자료를 제공할 수 있을 것이다.
이러한 맥락에서 본 연구는 크게 두 가지 측면에서 상업 젠트리피케이션을 살펴보고자 한다. 먼저, 상업 젠트리피케이션의 시공간 특성 변화를 실증적으로 살펴본다. 이를 위해 상업 재생지의 시간에 따른 지가 변화, 업종 변화, 인구 특성, 그리고 도시 경관 변화를 살펴볼 것이다. 다음으로 업종별 개폐업 현황을 토대로 상업 재생지의 젠트리케이션 단계 특성을 정의한다. 상업 재생과 젠트리피케이션 양상은 지역적으로 상이한 특성을 가지고 있기 때문에 여러 사례 지역에 대해 비교 분석을 수행할 것이다. 구체적으로 우리나라 7대 광역시의 주요 상업 공간에 대한 젠트리피케이션 특징을 살펴볼 것이다.
2. 상업 젠트리피케이션 연구 동향
젠트리피케이션의 초기 연구는 젠트리피케이션의 원인과 메커니즘에 관한 연구가 다수를 이루었으며(Smith, 1979; Ley, 1986), 이후 다양한 사례 연구를 통해 젠트리피케이션의 지역적 차이나 유형 등에 대한 논의가 활발하게 진행되었다(Sandler, 2007; Visser and Kotze, 2008; Wang, 2011). 젠트리피케이션은 유형에 따라 주거, 상업, 문화 젠트리피케이션으로 구분할 수 있지만 최근 우리나라 사회에서 가장 주목받고 있는 것은 상업 젠트리피케이션이다. 특히, 페이스북, 인스타그램과 같은 SNS의 사용층이 증가하면서 상권에 새로운 영향 요인으로 작동하기 때문이다. 예를 들어, 젊은 세대를 중심으로 SNS를 통한 소위 ‘핫플레이스’의 구성은 짧은 시간에 새로운 상권을 만들어 내거나 쇠퇴하는 기존 상권을 빠르게 되살릴 수 있다(허자연 등, 2014). 반면, SNS의 빠른 소통은 잘 나가던 상권의 급격한 쇠퇴를 가져오기도 한다. 전통적인 상권의 형성과 발달 과정과는 완전히 다른 매우 흥미로운 ‘공간의 상업화(commercialization of space)’ 과정이라 할 수 있다. 따라서 여기에서는 우리나라의 상업 재생과 젠트리피케이션에 관한 주요 연구를 살펴보고, 특히 상업 젠트리피케이션 단계에 대한 기존 연구를 자세히 검토한다.
1) 우리나라 상업 젠트리피케이션 연구
한국에서 상업 젠트리피케이션 연구는 대체로 사례 분석 위주의 미시적 차원의 연구가 대다수인데, 특히 여러 상업 지역이 산재되어 발달한 서울을 중심으로 특정 상권에 대한 사례 분석이 주를 이루고 있다. 대표적인 젠트리피케이션 사례로 경리단길 연구가 있다. 서울 이태원의 경리단길은 주변에 미군 부대가 있어 외국인 밀집 주거지로 알려져 왔는데, 주거비가 대체로 저렴하며 장년층이나 노년층 거주자의 상당수는 장기 거주자라는 특징을 지닌다(김상일・허자연, 2016). 2010년 이후 특색있는 식당과 상점들이 모여들었고 젊은 세대를 중심으로 SNS를 통해 유명세를 타면서 주목받기 시작하였다. 상권이 점차 부흥하면서 주거 공간에서 대표적인 상업 재생 공간으로 전성기를 맞이하였다. 이 지역의 경관과 문화를 변화시킨 주된 계층은 창조 계층인데 이들의 문화적 특성이 지역적으로 표출되면서 경리단길의 문화 경관이 형성되었다(양희은・손용훈, 2013). 하지만 얼마 지나지 않아 2017년 무렵 점차 성장이 둔화하기 시작하였고 극심한 젠트리피케이션을 경험하였다(허자연 등, 2015).
또 다른 상업 재생지로 가로수길이 있다. 서울 신사동 가로수길은 1980년대 이후 미술품 갤러리와 화실이 집중되면서 문화 거리로 자리 잡은 이후 패션 디자이너와 관련 의류업이 집적하면서 젊은 층들의 발길을 사로잡은 곳이다. 이인성・배재흠(2013)은 1980~2012년 사이의 건축물관리대장을 분석하여 가로수길 건축물의 용도 변화를 분석하였다. 기존의 상업가에 모임 공간과 같은 새로운 문화적 기능이 추가되면서 재활성화되었는데, 이후 젠트리피케이션을 예방하기 위해 대형 프랜차이즈 상업 시설의 총량을 제한하는 방안을 제시하였다. 허자연 등(2016)은 1990~ 2014년 동안의 신문 기사 분석과 상인 인터뷰를 통해 가로수길 상인 공동체의 친목 형성 과정을 보여주면서 지속가능한 상업 재생에 대해 논의하고 있다.
서울 성동구의 성수동도 최근 주목받는 상업 재생지이다. 성수동은 한국의 브루클린으로 불리며 대표적인 문화적 상업 재생이 이루어진 지역이다. 성수동은 1970년대 이후 국내 최대 수제화 공업지역으로 성장해왔는데 최근 수제화 공장의 낡은 창고를 개조하여 각종 카페, 공방, 갤러리 등이 들어서면서 수제화가 특화된 새로운 상업 공간으로 변모하였다. 하지만 다른 상업 젠트리피케이션 지역과 마찬가지로 지속적인 외부 자본과 방문객, 상업 시설이 유입됨으로써 상가 부동산 임대료가 오르게 되었고 기존의 상업 행위를 하던 상인들이 위협받는 일이 발생하였다(김상현・이한나, 2016).
서울 성수동과 유사하게 영등포구 문래동 역시 문화적 상업 재생 지역으로 상업 젠트리피케이션이 현재 진행되고 있는 지역이다. 문래동은 한때 서울의 중심적인 공업 지역이었으며 특히, 금속기계공업 밀집 지역으로 성장하였다. 하지만 철공 산업이 침체함에 따라 빈 공간들이 생겨나게 되었고 임대료가 저렴한 틈을 타 2001년 이후 예술가들이 유입되기 시작하였다. 소규모 공장들이 특색있는 카페나 공방으로 바뀌면서 상권이 활성화되기 시작하였지만, 철재 상가와 주변 지역의 임대료도 동반 상승하면서 젠트리피케이션이 나타나기 시작하였다(김연진, 2016).
2) 상업 젠트리피케이션 단계 연구
젠트리피케이션을 단계 모델에 기반하여 설명하고 있는 대표적인 연구로는 Clay(1979)와 Pattison(1977)의 연구가 있다. Clay(1979)는 미국의 샌프란시스코, 필라델피아, 보스턴 등의 대도시를 경험적으로 분석하여 크게 4단계의 젠트리피케이션 과정을 제시하였다. 1단계에서는 전통적인 근린 지역의 변화가 이루어지면서 소규모로 상류층이 유입되고, 2단계에서는 근린 지역으로 유입되는 상류층의 규모가 커지면서 부동산 소유주와 개발자들의 근린 개발 투자가 시작된다. 3단계에서는 근린으로 상류층이 본격적으로 유입되면서 매체를 통한 홍보가 이루어지고, 중산층의 이주 역시 나타난다. 마지막 4단계에서는 유입된 상류층과 중산층 사이에서 주택 점유 경쟁이 발생하면서 부동산의 가치가 상승하게 된다.
Pattison(1977) 역시 젠트리피케이션을 4단계로 구분하고 있는데 1단계에서는 저소득층 주거 지역에 중산층이 이주하여 주거 환경이 개선된다. 2단계에서는 이주하는 중산층이 증가하면서 부동산 투기가 증가하고 원주민의 강제적 이동이 발생한다. 3단계에서는 대중 매체가 해당 지역에 관심을 보이면서 부동산 가치가 상승하고 원주민의 비자발적 이주가 증가한다. 마지막 4단계에서는 유입된 중산층 간의 주택 점유 경쟁 심화로 초기 이주한 중산층이 다른 지역으로 이주하는 현상이 발생한다. 단계별 시기의 차이가 조금씩 있지만 두 모델 모두 유사한 젠트리피케이션 과정을 반영하고 있다. 다만 Patttison(1977)은 중산층이 유입되고 부동산 가치가 상승하면서 원주민의 이주가 발생함을 반영하고 있다는 점에서 Clay(1979) 모델과 차별된다. 흥미로운 것은 3단계에서 매체를 통한 지역의 홍보가 지역 재활성화에 중요한 영향을 미치는 기제로 작동하고 있다는 점이다. 최근 상업 재생에서 블로그나 SNS와 같은 미디어의 역할도 주거지 재생을 위한 홍보 효과와 같다고 할 수 있겠다.
이들과 유사하게 Smith(1979)는 5단계를 통해 지역의 쇠퇴를 설명하고 있다. Smith(1979)의 젠트리피케이션 설명 모델에서 주요한 개념은 지대 격차와 주택 여과 과정이다. 즉, 건물주 관점에서 지대 상승을 통한 자본 추구 과정이 젠트리피케이션을 야기한다는 것이다. 그는 젠트리피케이션의 메커니즘을 공급과 수요에 기반하여 설명하고 있으며 공급과 수요의 수급 과정에서의 단계를 모델화하고 있다. 1단계에서는 도심부에 새로운 공업 및 상업 시설이 나타나면서, 일시적으로 주택 가격이 하락하고 저임대 주택에 대한 노동자 수요가 증가하면서 주택 가격은 다시 상승한다. 2단계에서 건물주는 주택에 대한 수리 요구가 늘어감에 따라 이를 매각하거나 최소한의 수리만 유지하는 방향으로 수익을 창출한다. 3단계에서는 백인 거주 지역 인근에 흑인 가족을 거주하게 하는 블록버스팅(blockbusting)을 시행하여 지대를 낮춘다. 하지만 이후에는 대출, 보험 등의 금융 서비스가 제한되는 지역으로 지정되는 레드라이닝(redlining)이 발생하면서 경제적인 이득을 취하기 어렵게 되는 4단계가 진행된다. 그 결과 마지막 단계에서 해당 지역은 방치된 지역으로 남게 된다.
Ley(1986) 역시 주택의 젠트리피케이션에 집중하였다는 점에서 Smith(1979)의 연구와 유사하나, Smith(1979)가 주택의 공급 측면을 강조한다면 Ley(1986)의 경우 수요 측면에서 지역의 사회적, 문화적 특성을 강조하고 있다. 구체적으로 젠트리피케이션은 지역 주택 시장의 역동성과 경제적 이유 외에도 인구 특성의 변화와 도시 어메니티(amenity)의 가치 변화로부터 크게 영향을 받는다고 주장하였다.
한편, Hackworth and Smith(2001)는 뉴욕시 인근 지역인 클린턴, 롱아일랜드시티, 덤보를 대상으로 젠트리피케이션과 정부의 참여 양상을 3단계로 설명하고 있다. 1단계에서는 주 정부의 세수 증가 압박에 의한 재개발 촉진이 발생하고, 2단계에서는 도심부에 상류층이 증가하고 저소득층이 감소하면서, 신규 주민과 기존 주민의 공존이 나타나며 지역 내의 갈등이 발생한다. 마지막 3단계에서 정부의 적극적인 젠트리피케이션 개입이 시작되지만, 사회보장 프로그램 확충과 노동계급 보호 활동에 대한 극심한 반대에 부딪히며 사회적 양극화가 심화되고 젠트리피케이션이 가속화된다.
이러한 연구들은 대체로 젠트리피케이션은 지가, 거주 인구 특성의 변화, 도시 경관의 변화, 정부의 개입 등 특징적으로 구분될 수 있는 몇 개의 단계로 진행됨을 가정한다. 하지만 Lees(2012)의 지적처럼 젠트리피케이션은 연속적이고 지속되는 현상으로 종착 단계를 명확하게 정의하기 어렵고 구체적인 단계 구분 역시 쉽지 않다. 한국의 젠트리피케이션에 관한 연구가 대체로 단계 모델에 대한 논의보다 젠트리피케이션의 지역적 특성과 진행 양상에 집중하는 것도 이러한 연구의 어려움을 반영한다고 볼 수 있다.
한편, 상업 젠트리피케이션과 관련해서도 일반적인 주거지 젠트리피케이션과 마찬가지로 일정한 단계의 진행 과정이 나타나고 있다. 이는 여러 경험 연구들에서 공통적으로 말하는 것인데 대체로 상권의 재활성과 과정에서 새로운 상업 주체의 유입으로 인한 기존 상권의 변화에 초점을 맞추고 있다. Zukin et al.(2009)은 뉴욕의 상업 재생 과정에서 지역 상권이 점차 기업형 상권으로 변모되는 과정을 ‘지역상점-신기업가상점-프랜차이즈상점’의 3단계로 구분하고 있다. Zukin et al.(2009)의 단계 모델은 국내의 여러 연구에서도 많이 차용되고 있는데 김희진・최막중(2016)은 로드뷰 데이터를 활용하여 삼청동과 신사동의 상업 젠트리피케이션 역시 Zukin의 모델과 유사한 과정을 거치고 있음을 밝히고 있다. 류화연・박진아(2019) 또한 Zukin의 3단계 모델에 기반하여 ‘근린상업시설-부티크상점-프렌차이즈상점’으로 젠트리피케이션 단계를 구분하고 연남동, 홍대, 삼청동, 가로수길, 경리단길 등 서울시의 여러 상업 재생 지역의 젠트리피케이션 단계를 평가하고 있다. 서울시 상업 재생지를 종합적으로 분석하고 있다는 점에서 의의가 있지만 각 지역의 주 가로에 인접한 일부 블록의 업종 변화만을 살펴보고 있고 블록의 전체적인 업종 변화에 초점을 맞추어 실제 업소의 개폐업 상황을 반영하지 못한다는 한계가 있다. 이와 유사하게 구형모(2020)도 상업 젠트리피케이션을 Zukin과 같은 3단계로 구분하여 서울시의 커피전문점의 분포 변화를 살펴보고 있다. 특히, 지방행정인허가 데이터를 사용하여 실제 개폐업에 따른 시기별 밀도 변화를 분석하고 있다는 점에서 의의가 있지만, 기존의 상업 젠트리피케이션 지역에 대한 논의 없이 커피전문점의 분포만을 토대로 서울시 전역의 상업 젠트리피케이션 상황을 조망한다는 점에서 한계가 있다. 한편, 김상현・이한나(2016)는 성수동 지역의 상업 젠트리피케이션 과정을 ‘재개발-상업부동산투자-젠트리피케이션’의 3단계로 구분하여 살펴보고 있다. 성수동은 주거 재개발이 동시에 진행된 곳으로 주거와 상업 젠트리피케이션이 혼합된 단계를 고찰하고 있다는 점에서 특징적이다.
이상에서 살펴본 것처럼 도시 재생은 해당 지역의 토지이용이 주거지든 상업지든 상관없이 유사한 재생과 젠트리피케이션 과정을 겪고 있다. 다시 말해, 지역 재생이 시작되면 지가가 급격히 상승하고, 유입된 새로운 거주민이나 상업 자본이 기존의 원주민을 대체하는 과정이 단계적으로 진행되고 있다. 주거 젠트리피케이션과 상업 젠트리피케이션의 가장 큰 차이점 중 하나는 상업 젠트리피케이션은 일정한 부흥기를 거치고 나면 급격한 쇠퇴기에 들어서면서 다시금 지역이 쇠퇴하거나 역효과가 나타난다는 것이다. 하지만 상업 젠트리피케이션 단계와 관련한 국내 연구들은 대체로 이러한 쇠퇴기에 대한 단계를 명시적으로 정의하지 않고 있다. 따라서 본 연구에서는 업종별 실제 개폐업 데이터를 활용함으로써 재생과 쇠퇴에 이르는 상업 젠트리피케이션의 주기적 관점에서 젠트리피케이션 단계를 진단하고자 한다.
3. 연구 지역 및 연구 방법
본 연구의 핵심은 상업 젠트리피케이션의 시공간 특성 변화와 이를 토대로 젠트리피케이션 단계를 실증적으로 진단하는데 있다. 일반적으로 젠트리피케이션이 발생하는 지역은 도시 경관, 부동산 가치, 인구 및 주택 특성 등이 변화하는데(이건학, 2019), 이러한 지역의 변화는 지역의 사회경제적 특성이나 인구학적 차이에 따라 상이하게 전개될 수 있다. 다시 말해, 동일한 상업 젠트리피케이션 단계가 진행되더라도 시공간적 전개 양상이 다를 수 있어 젠트리피케이션이 진행되고 있는 여러 지역을 비교하여 분석하는 것이 도시간 경험적 차이를 살펴보는데 도움이 될 수 있다.
어떤 지역이 상업 재생지인지, 그리고 상업 젠트리피케이션이 발생하고 있는 지역인지를 명확하게 판단할 수 있는 표준화된 기준은 없다. 대개 기존 학술 연구들에서 제시되고 있는 지역이나 언론이나 대중적 관심을 통해 알려진 상업 지역을 중심으로 인지되고 있다. 일부 지역 연구원은 자체 분석을 통해 상업 젠트리피케이션 지역을 선정하기도 하는데 서울시 경우 여러 관련 지표를 종합하여 홍대 거리, 연남동, 가로수길, 삼청동, 경리단길 등 14개의 지역을 젠트리피케이션이 이미 발생한 지역 혹은 젠트리피케이션이 발생할 것으로 예상되는 지역으로 선정하고 있다(김상일・허자연, 2016). 주요 도시별로도 여러 곳에서 크고 작은 상업적 재생이 발생하고 동시에 젠트리피케이션 현상이 진행되고 있지만, 특정 지역을 분석 대상으로 선정하기에는 적절한 기준이 제시되어 있지 않다. 따라서 본 연구에서는 7대 광역시의 대표 상업 젠트리피케이션 지역을 선정하기 위해 보다 합리적이고 체계적인 방법을 적용하였다.
구체적으로 웹 크롤링(crawling)을 통해 뉴스 기사에 대한 빅데이터 분석을 수행하였는데 서울을 비롯한 7대 광역시를 대상으로 네이버 뉴스 제목에서 ‘재생’ 또는 ‘젠트리피케이션’ 관련 단어 빈도를 산출하였다. 빈도 분석에 적용된 단어는 젠트리피케이션, 둥지 내몰림, 개업, 폐업, 임대료, 지가 상승, 공실률, 관광객, 카페, 상권 등으로 해당 단어를 자주 명시적으로 언급하고 있는 기사를 통해 도시 내 지역들을 추출하였다. 이렇게 추출된 지역들은 일차적으로 언론 및 대중적 인지도가 가장 높은 도시별 주요 상업 재생 지역으로 간주할 수 있으며, 지가, 업종, 수요 등의 시공간적 변화와 젠트리피케이션 진행 단계를 이차적으로 조사할 객관적 근거를 가진 사례 지역이 될 수 있다. 앞서 언급한 것처럼 요즘 상업 공간의 형성과 재구조화는 사람들의 인지도와 커뮤니케이션의 영향력이 매우 크다고 할 수 있다. 언론의 노출이나 SNS를 통한 온라인 공간에서의 ‘공간 커뮤니케이션’은 오프라인의 새로운 상권을 형성하기도 하고 기존 상권을 쇠퇴시킬 수 있는 잠재성을 가지고 있다. 이러한 특성을 반영하듯 최근 상업 재생과 관련하여 SNS나 뉴스 게시물을 활용한 여러 연구들이 소개되고 있다(허자연 등, 2014, 2015, 2016; 구자용, 2016; 김상현・이한나, 2016; 송지은 등, 2016). 웹 크롤링 도구로는 Python 프로그램과 BeautifulSoup 패키지를 이용하였다.
웹 크롤링은 2000년 1월 1일에서 2018년 12월 31일까지 약 20년간의 뉴스 기사를 대상으로 수행하였다. 우리나라 도시 재생 역사에서 상업적 재생이 주목받고 실제 사례 연구가 시작된 것은 대체로 2010년대 무렵부터이지만 보다 광범위한 사례 지역 검색을 위해 시간적 범위를 확장하였다. 표 1은 뉴스 기사에 나타난 상업 젠트리피케이션 관련 단어의 빈도 분석 결과를 보여주고 있다. 각 광역시별로 여러 상업 재생지가 젠트리피케이션과 관련하여 언급되고 있지만 이 중에서 빈도 총합이 가장 많은 곳을 연구 지역으로 선정하였다. 구체적으로 서울 ‘서교동 홍대거리’, 부산 ‘전포동 카페거리’, 인천 ‘신포동 문화거리’, 대구 ‘대봉동 김광석길’, 대전 ‘대흥동 문화예술거리’, 광주 ‘동명동 카페거리’, 울산 ‘성남동 문화거리’ 일대이다. 각 지역에 해당하는 구역은 해당 자치구가 제시하고 있는 정보를 참고하였고 광주 동명동 카페거리만 해당 지역 카페들의 위치를 참고하여 자체적으로 구획하였다(표 2).
표 1.
상업 젠트리피케이션 관련 단어 빈도 분석 결과
이 지역들에 대한 상업 젠트리피케이션의 시공간적 특성 변화는 2014년 이후의 부동산 가치, 업종, 인구 특성, 도시 경관을 중심으로 살펴보았다. 보다 구체적으로 국토교통부 국가공간정보센터에서 제공하는 필지별 평균 개별공시지가를 통해 부동산 가치 변화를 살펴보았고, 한국지역정보개발원의 지방행정인허가 데이터를 이용하여 주요 업종, 특히 상권의 변화를 비교적 빠르게 반영하는 음식점 중 카페 업종의 시기적 변화를 살펴보았다. 또한 해당 상업 재생지의 집계구 단위의 전체 인구수와 평균 연령의 변화를 파악하였다. 마지막으로 상업 건물의 연면적 변화를 이용하여 해당 지역의 도시 경관 변화를 살펴보았다. 도시 가로망 분석, 블록별 건물 배열 및 이용 특성 분석, 토지이용 분석 등 도시 경관을 분석하는 여러 구체적인 연구 방법들이 있지만(Hillier et al., 1993; 최영은・하재명, 2003; 이정호 등, 2010; 신정엽 등, 2014), 본 연구의 목적상 상업 건물의 연면적 변화로도 충분히 상업 젠트리피케이션이 진행되는 지역의 거시적 변화를 고찰할 수 있을 것으로 판단된다.
한편, 상업 젠트리피케이션 지역의 단계 특성을 확인하기 위해 업종별 개폐업 자료를 활용하였다. 특히 여러 업종 중 상권의 흥망성쇠를 민감하게 반영하는 대표적인 업종이라 할 수 있는 음식점(정지희, 2015; 김동준 등, 2019; 구형모, 2020)에 초점을 맞추었다. 이를 위해 한국지역정보개발원에서 제공하는 지방행정인허가 데이터를 사용하였다. 이 데이터는 다양한 범주의 지역 상업 정보를 제공하는데 특히 업소별 인허가 및 폐업 시기의 정보를 포함하고 있어 상업 재생의 단계를 살펴보는데 매우 적절한 자료라 할 수 있다. 지방행정인허가 데이터의 음식점 관련 업종 중 한식, 일식, 중식, 레스토랑, 주점, 카페 등 음식류를 조리 및 판매하는 ‘일반음식점’을 살펴보았다. 또한 카페, 다방, 떡카페, 전통찻집, 키즈카페, 커피숍은 ‘카페’라는 범주로 별도로 살펴보았다. 왜냐하면 카페는 상가 임대료 변화에 크게 영향 받기 때문에 상업 젠트피리케이션 과정을 보여주기 좋은 업종 중 하나이기 때문이다(김준우 등, 2018; Papachristos et al., 2011). 지방행정인허가 데이터의 시간적 범위는 상업적 재생이 주목받기 시작하는 2000년도 이후부터 코로나 팬데믹 이전 시기인 2019년으로 정의하였다.
상업 젠트리피케이션 단계 분석에 앞서 업종별 생존 양상을 탐색하기 위해 개폐업 시기에 따른 생존 기간을 분석하였고, 통계 기반의 생존 분석(survival analysis)을 수행하였다. 생존 분석에는 R 통계 패키지를 사용하였고 survival, survminer 등의 라이브러리를 이용하였다. 상업 젠트리피케이션 단계 분석을 위해서는 전형적인 젠트리피케이션 단계에 대한 구분이 필요한데 국내외 여러 연구들은 젠트리피케이션 과정을 3~4개의 단계로 구분하고 있다. 물론 연구에 따라 단계별 명명은 다를 수 있지만 대체로 상업 재생의 시작과 상업의 부흥, 대규모 프랜차이즈 자본의 유입에 따른 상업 공간의 변모로 특징지어질 수 있다. 하지만 상업 공간의 쇠락에 대한 단계는 명시적으로 고려하는 연구가 많지 않기 때문에 본 연구에서는 전체 단계를 4단계, 즉 ‘재생기-상권부흥기-상권버블기-상권쇠퇴기’로 구분하여 상업 젠트리피케이션의 전 주기를 반영하도록 하였다.
4. 상업 젠트리피케이션의 시공간 변화와 단계 분석
1) 상업 젠트리피케이션 기사 빈도 분석
상업 젠트리피케이션 지역의 시공간 특성을 체계적으로 비교하기 위해 앞서 제시한 상업 젠트리피케이션 관련 단어들을 ‘젠트리피케이션’, ‘경제’, ‘관광’의 3가지 범주로 재그룹화하여 범주별 단어 언급 빈도 변화 추이를 연도별로 확인하였다. ‘젠트리피케이션’ 범주는 해당 지역에서 젠트리피케이션 현상이 직접적으로 논의되고 있는 정도를 보여준다. 여기에는 ‘젠트리피케이션’이라는 단어뿐만 아니라 국립국어원에서 대체 순우리말로 제시한 ‘둥지 내몰림’을 포함하고 있다. ‘경제’ 범주에는 ‘개업’, ‘폐업’, ‘창업’, ‘임대료’, ‘임대료 상승’, ‘지가 상승’, ‘공실률’을 포함하였다. 지역의 대표적인 경제적 지표인 지가와 임대료의 변화, 그리고 함께 동반되는 상가의 개폐업 관련 논의가 이루어지는 빈도를 확인할 수 있다. 마지막으로 ‘관광’ 범주에는 ‘관광객’, ‘카페’, ‘프랜차이즈’, ‘맛집’, ‘핫플레이스’, ‘핫스팟’, ‘상권’을 포함하였다.
대부분 지역이 2000년대 이후부터 조금씩 언론에 언급되기 시작했지만 각 지역 상권이 본격적으로 언론에 노출되고 대중적인 인지도가 생기기 시작한 시점은 대체로 2010년대 이후라 할 수 있다. 조금 더 자세히 들여다보면(표 3), 지역마다 대중적 관심이 급격히 증가하는 시기와 정점은 매우 다양하게 나타나고 있다. 서울 홍대거리의 경우 2000년부터 주요 상권으로 인지도를 가지고 있다가 2010년대부터 관광이라는 측면에서 관심이 크게 증가하기 시작했고 해마다 꾸준히 상업 재생과 관련한 기사가 늘어났다. 이후 2015년에 가장 높은 관심을 받다가 점차 언급이 줄어들고 있다. 부산 전포동 카페거리의 경우 2010년까지는 한 번도 기사에 언급된 적이 없다가 2011년부터 관광 키워드를 중심으로 조금씩 조명되기 시작했고, 2017년에 급격하게 관심을 받으며 이후까지 경향이 2018년까지 지속되고 있다. 인천 신포동 문화거리는 2014년에 대중적 관심도가 크게 증가한 이후 2016년에 정점을 보이고 이후 급격하게 인지도가 떨어지는 패턴을 보이고 있다. 2017년 무렵은 관광, 경제적 측면의 관심이 떨어지면서 대신 젠트리피케이션과 관련한 언급들이 많아지기 시작했다. 대구 대봉동 김광석길은 2014년부터 관광지로서 관심도가 지속적으로 증가하기 시작하였고 2017년에 가장 많은 관심을 받았고 더불어 젠트리피케이션 기사 언급이 가장 많이 나타났다. 대전 대흥동 문화예술거리는 인천이나 대구 지역에 비해 이른 시기인 2000년대부터 어느 정도의 인지도를 가지고 있었다. 큰 변함이 없던 지역 인지도는 2016년부터 높아지기 시작하여 2017년에 가장 크게 주목받았고 다음해 다시 관심도가 떨어지고 있다. 광주 동명동 카페거리는 2014년부터 관심을 많이 받기 시작하여 2년 후 가장 크게 주목받았고 이듬해부터 관심이 줄어들고 있다. 젠트리피케이션과 관련한 언급은 상대적으로 적게 나타나고 있다. 울산 성남동 문화거리는 2007년까지는 기사에 언급된 적이 없다가 2013년 무렵부터 주목받기 시작하여 2017년에 언론에 가장 많이 언급되었고 이후 다시 관심이 줄어들고 있다.
기사 빈도를 통해 살펴본 지역별 대중적 인지도와 관심은 해당 지역의 상업 젠트리피케이션의 시기적 변화를 대략적으로 보여주고 있다. 시기에 따라 각 지역별로 언론 노출 정도는 다르지만 대체로 2010년대 이후부터 지역 상권에 대한 관심이 증가하면서 정점 시기는 다르지만 대부분 2014년 이후부터 크게 주목받고 있다는 점은 공통적이다.
2) 상업 재생지의 시공간 특성 변화
상업 재생 지역의 부동산 가치 변화를 살펴보기 위해 상업 지역의 필지별 평균 개별공시지가를 살펴보았다. 특히, 지역별로 젠트리피케이션 관련 단어 언급 빈도가 가장 높았던 연도를 기준으로 2년 전부터 2018년까지의 변화를 살펴보았다. 표 4에서 볼 수 있는 것처럼 서울 홍대거리의 개별공시지가는 다른 광역시들과 비교해 보았을 때 가장 가파른 상승세를 보이고 있다. 전년대비 증가율은 2017년도에 18%로 가장 가파른 증가 추이를 확인할 수 있지만 2018년도에는 12%의 증가율로 이전의 증가율보다 약간 감소하는 패턴을 보이고 있다. 부산 전포동 카페거리의 경우, 개별공시지가의 전년대비 증가율이 2016년 5.3%, 2017년 8.1%, 2018년 14.2%로 나타났다. 대구 대봉동 김광석길은 전년대비 증가율이 2016년 4.7%, 2017년 4.6%, 2018년 10.4%로 나타난다. 두 경우 모두 상업 젠트리피케이션 관련 논의가 가장 많았던 2017년 동안 이전에 비해 개별공시지가가 급격하게 증가하는 패턴을 확인할 수 있다. 서울, 부산, 대구는 특정 연도를 기점으로 개별공시지가의 뚜렷한 상승세가 보이는 패턴을 보여주고 있다. 이 중 서울은 젠트리피케이션 논의가 2015년도에 제일 많았기 때문에 다른 지역보다 가장 이른 젠트리피케이션 논의가 시작되었다고 할 수 있다. 2018년도의 개별공시지가 전년대비 증가율이 2017년도에 비해 6%(18% → 12%)가 감소한 것은 급격한 지가 상승을 겪은 이후 임대료 상승 등의 문제로 상권이 침체되는 전형적인 젠트리피케이션의 상권 단계가 반영된 것으로 해석할 수 있다. 인천, 광주, 대전, 울산의 경우는 특정 연도를 기점으로 한 뚜렷한 상승세가 나타나지는 않고 있다.
표 4.
상업 젠트리피케이션 지역의 개별공시지가 및 카페 사업체수 변화(천원/㎡, 개)
상업 젠트리피케이션 지역의 업종 변화는 상권의 변동을 빠르게 반영하는 카페 업종의 사업체수 변화를 통해 살펴보았다. 서울 홍대거리는 카페 업종의 개수가 계속해서 증가해오다가 2017년 정점을 찍은 후 이를 기점으로 2018년 약간 감소한 것을 확인할 수 있다. 이는 개별공시지가의 전년대비 증가율이 2017년 최고치였다가 2018년부터 감소하기 시작한 것과 유사한 패턴으로 지가가 크게 상승하면서 임대료 부담 및 전체적인 상권 침체가 일어나고 있음을 유추할 수 있다. 대구 김광석길은 매년 카페 사업체수가 증가하고 있어 해당 상권이 꾸준히 활성화되고 있음을 알 수 있고, 부산 카페거리와 대전 문화예술거리는 2017년에 사업체수가 정점에 이른 후 이듬해는 증감 없이 그대로 유지되고 있다. 특히, 대전은 이전 시기까지는 일정한 개수를 유지하다가 2017년부터 카페의 개수가 10개 이상 급격히 증가하는 모습을 보이고 있다. 인천, 광주, 울산의 상업 재생지는 사업체수가 최대로 증가한 이후로는 뚜렷한 증가 패턴이 나타나지 않고 있다.
한편, 상업 젠트리피케이션 지역의 인구적 특성 변화는 2015년부터 2017년까지의 집계구별 인구수와 평균 연령을 통해 살펴보았다. 전체적으로 인구수는 모든 사례 지역에서 감소하는 경향을 보이고 있으며, 특히, 서울 홍대거리는 2년 사이에 인구가 10% 가까이 감소하는 양상을 보이고 있다. 반면, 부산 카페거리와 대전 문화예술거리에서는 오히려 인구수가 증가하는 추세를 보이는데 이는 상업 재생 초기 상황에 따른 신축 건물의 증가로 인한 영향으로 보인다. 인천 신포동의 경우 집계구의 변화로 인해 구역 내에 포함되는 집계구가 감소하면서 총인구가 큰 폭으로 감소하였다. 평균 연령의 경우 부산 전포동과 광주 동명동을 제외한 다른 지역에서 모두 평균 연령이 상승하는 양상을 보이는데, 이는 상업 재생으로 인한 지가 상승으로 새로운 청년 계층의 유입 장벽이 생기면서, 평균 연령이 상승한 것으로 추정된다(표 5).
표 5.
상업 젠트리피케이션 지역의 연도별 인구 및 평균 연령(명, 세)
상업 젠트리피케이션 지역의 도시 경관 변화는 상업 건물, 특히 상권을 대표하는 업종이 음식업의 연면적 변화를 통해 파악하였다. 건물 연면적 자료는 행정안전부에서 제공하는 도로명주소 건물 데이터를 사용하였고, 2011년, 2014년, 2017년 세 시기로 3년 간격의 연면적 추이와 증감률을 계산하였다. 표 6에서 볼 수 있는 것처럼 서울, 대구, 대전, 울산, 인천의 상업 젠트리피케이션 지역은 2011년도에 비해 2014년도에 음식업 용도 건물이 대폭 증가하였고 그 이후로는 큰 변화가 없어 보인다. 이는 2011년과 2014년 사이에 상권이 크게 활성화되었음을 시사해 주고 있다. 광주 동명동 카페거리는 이보다 뒤늦은 2014년 이후 음식업의 건물 용도가 크게 증가하였다. 부산 전포동은 2011년부터 2014년 사이 음식업의 전체 면적이 줄어들었다가 2017년에는 다시 크게 증가한 양상을 보여주고 있다. 앞서 살펴본 지가와 업종 변화의 특성과 유사한 경향이라 할 수 있는데, 이 지역은 2015년부터 지가가 꾸준히 상승하였고, 2017년에 카페 사업체수가 가장 많았다.
표 6.
상업 젠트리피케이션 지역의 음식업의 건물 연면적 추이(㎡, %)
3) 상업 재생지의 업종별 생존 양상
업종별 개업과 폐업 시기를 통해 각 지역의 일반음식점과 카페의 생존 특성을 살펴보면 표 7과 같다. 일반음식점의 경우 인천, 대전이 평균 11.7년의 비교적 긴 생존 기간을 보이는 반면, 서울, 부산, 광주, 대구, 울산은 평균 6.0년으로 상대적으로 짧은 생존 기간을 보이고 있다. 카페는 다소 다른 패턴을 보이는데 인천, 대전, 울산이 6.7년의 생존 기간을 보이며, 서울, 부산, 광주, 대구는 평균 3.3년으로 상대적으로 짧은 생존 기간을 나타내고 있다. 인천과 대전은 서울, 부산, 광주 지역에 비해 일반음식점과 카페 모두 생존 기간이 짧은 지역들이며, 대구는 일반음식점과 카페에 따라 생존 기간의 패턴이 달리 나타나고 있다. 한편, 울산은 일반음식점과 카페의 생존 기간이 크게 차이가 나지 않는다. 대체로 카페가 일반음식점에 비해 짧은 기간에 폐업하고 있어 여러 선행 연구에서 제시하는 것처럼 카페는 지역 상권의 쇠퇴 정도를 민감하게 반영하는 주요 업종임을 다시 한번 확인할 수 있다.
표 7.
상업 젠트리피케이션 지역의 일반음식점 및 카페의 생존 기간(년)
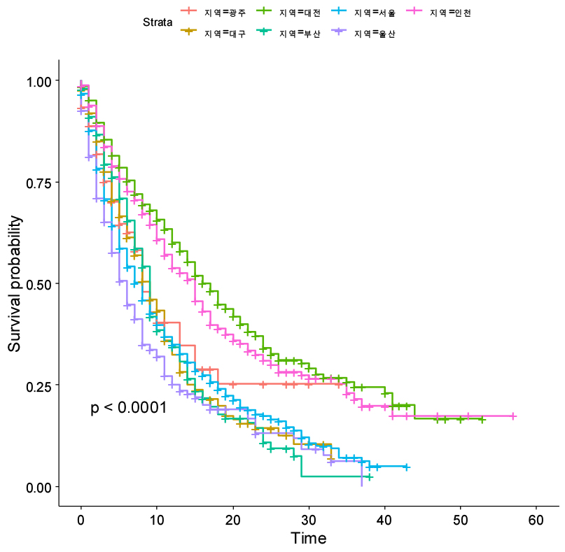
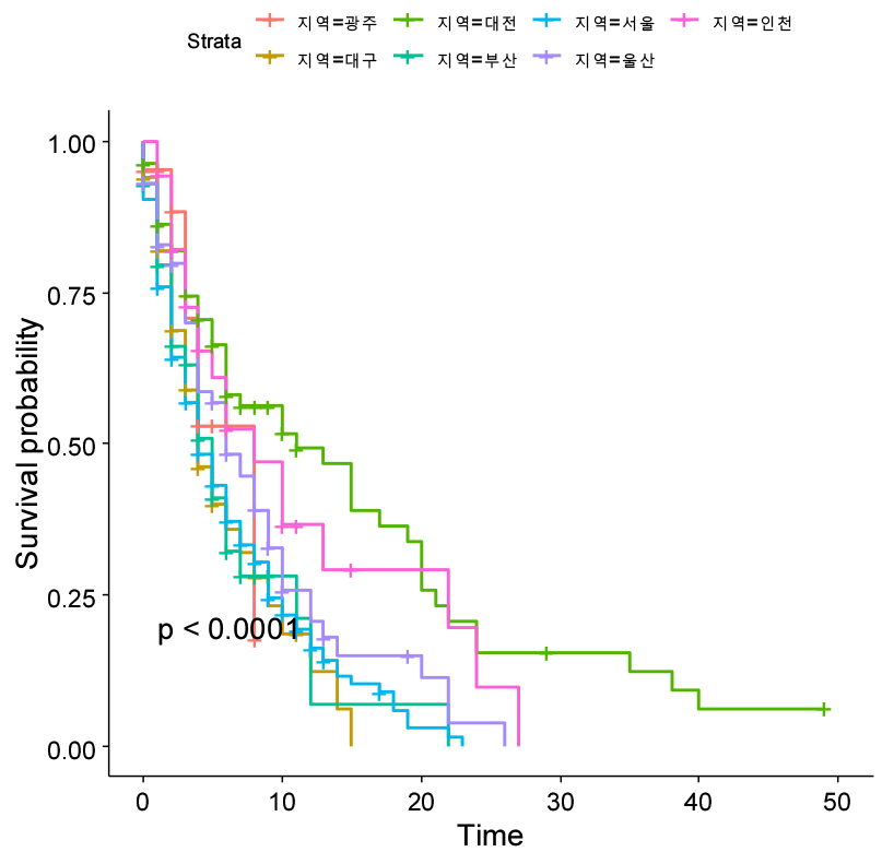
그림 1-6은 주요 지역별 개폐업 현황을 보여주는 그래프이다. Y축은 각 업소의 인허가연도와 폐업연도를 나타내며 인허가연도와 폐업연도를 연결한 직선의 길이는 각 업소가 운영된 생존 기간을 의미한다.
개폐업 시기에 따른 생존 가능성을 통계적으로 살펴보기 위해 생존 분석(survival analysis)을 수행하였다. 여러 가지 생존 분석 방법이 있지만 여기에서는 비모수 통계로 가장 많이 활용되고 있는 카플란-마이어(Kaplan-Meier) 추정법을 이용하였다. 카플란-마이어 추정법은 생존 기간 데이터로부터 생존 확률(survival probability)을 추정할 수 있는데 그림 7, 8은 일반음식점과 카페의 지역별 생존 함수를 보여주고 있다. 이를 로그-순위(log-rank) 검정을 통해 검정한 결과, 지역별 생존 기간이 통계적으로도 유의미한 차이가 있는 것으로 나타났다(일반음식점 χ2=38.9(df, 6), p=0.000, 카페 χ2=227(df, 6), p=0.000).
4) 상업 젠트리피케이션 단계 분석
상업 젠트리피케이션의 단계를 확인하기 위해 인허가 및 폐업 건수에 대한 두 가지 측면의 기준을 상정하였다. 하나는 개업과 폐업의 개별적인 진단을 위한 것이며 다른 하나는 개폐업을 동시에 고려한 기준이다. 이러한 기준들은 개폐업의 증가와 감소 패턴을 제대로 반영해줄 수 있어야 하는데 본 연구에서는 전년대비 인허가(폐업) 증감률과 3개년 평균 인허가(폐업) 건수(기준년도, 기준년도 전후년도), 그리고 폐업 수준(폐업 건수 - 허가 건수)을 고려하였다. 전년대비 인허가(폐업) 증감률은 상업 재생의 시작기와 쇠퇴기에 들어서는 변화 지점을 보여주는 지표로 적절하며, 3개년 평균 인허가(폐업) 건수는 상권의 지속적인 성장세나 하향세를 보여줄 수 있다. 폐업 수준은 개업과 폐업의 전체적인 가감을 반영한 순폐업의 정도를 보여주는데 활용될 수 있다.
재생기의 시작 기준은 초기에는 개업의 증가세가 두드러질 것을 예상하여 전년대비 인허가 증가율이 최대값을 보이는 해로 정의하였고, 상권부흥기는 연속된 3개년의 평균 인허가 건수가 최대인 해로 정의하였다. 상권버블기는 상업 젠트리피케이션이 진행되면서 개업과 폐업의 활동이 동시에 혼합되어 나타날 수 있으며 쇠퇴기의 전조기라 할 수 있다. 이 시기의 시작은 전년대비 페업 증가율이 최대인 해로 정의하였다. 상권쇠퇴기는 지속적인 상권의 하향세, 즉 폐업이 증가하는 시기로 연속 3개년의 평균 폐업 건수가 최대인 해로 정의하였다. 이러한 기준은 개업과 폐업을 개별적으로 보는 측면이 강하기 때문에, 두 가지를 동시에 고려하기 위해 폐업 수준을 추가하였다. 재생기, 상권부흥기, 상권버블기 모두 상업 재생의 활성화를 전제하기 때문에 순폐업에 있어서는 음수로 폐업보다 인허가가 더 많은 특성을 반영해야 하며, 상권쇠퇴기의 경우만 명확한 하향세를 반영하기 위해 순폐업이 양수인 지점을 도출하였다. 표 8은 상업 젠트리피케이션 단계를 진단하기 위한 기준을 요약하고 있다.
표 8.
상업 젠트리피케이션 단계 진단 기준
| 단계 | 재생기 | 상권부흥기 | 상권버블기 | 상권쇠퇴기 |
| 기준1 | 전년대비 인허가 증가율 최대 | 3개년 평균 인허가 최대 | 전년대비 폐업 증가율 최대 | 3개년 평균 폐업 최대 |
| 기준2 | 폐업수준 < 0 | 폐업수준 < 0 | 폐업수준 < 0 | 폐업수준 > 0 |
상업 재생 단계에 대한 진단은 개별적 진단에서 동시 진단으로 순차적으로 진행하였다. 구체적으로 개폐업의 개별적인 진단을 만족하지 못하면 차순위의 지표값에 해당하는 해에 대해 개폐업 동시 진단을 수행하였다. 아울러 재생 단계의 시간적 순서를 고려하여 이전 단계에서 정의된 시점이 다음 단계에서 정의된 시점보다 뒤처지지 않도록 탐색하였고 상권부흥기와 상권버블기만 인허가 및 폐업의 혼재 양상을 고려하여 교차되는 시점을 허용하였다. 예컨대 상권부흥기의 정점으로 정의한 시점보다 이전 시기임에도 폐업이 증가세가 유의미하다면 상권의 거품이 형성된 시기로 정의할 수 있다. 표 9는 일반음식점에 대한 각 지역의 상업 젠트리피케이션의 단계를 보여주고 있다.
표 9.
일반음식점 개페업에 따른 상업 젠트리피케이션 단계
상업 젠트리피케이션 단계별 시작 시점은 각 지역별로 다르게 나타나고 있다. 일반음식점의 개폐업에 따르면 서울, 부산, 대전은 대체로 오래전에 재생기가 시작되었고, 인천, 대구, 광주, 울산은 비교적 최근에 재생기에 접어들어 새로운 음식점들이 크게 증가하고 있음을 알 수 있다. 흥미로운 점은 재생기가 다소 차이가 있음에도 불구하고 상업 활성화가 정점이 된 상권부흥기는 2015~2017년에 걸쳐 유사하다는 것이다. 또한 상권이 점차 활성화됨과 동시에 가까운 시기에 폐업도 동시에 늘어나면서 상권버블기에 함께 들어서고 있다는 특징을 보인다. 특히, 서울과 부산은 부흥기의 정점보다 이른 시점에 버블화가 진행된 것으로 파악되었다(그림 9). 대전은 2000년 초반의 시점에 재생기와 쇠퇴기가 모두 이루어진 것으로 볼 때 아직까지는 주목할 만한 젠트피리케이션 주기를 보이지 않는 것으로 파악되며, 인허가 및 폐업 현황에서도 특이한 패턴을 보이고 있지 않다(그림 10). 한편, 서울 홍대거리를 제외하고 연구 지역의 상업 재생지는 신규 업소가 늘어나고 인허가가 폐업보다 많아 여전히 상권이 활성화되어 있으면서 조금씩 폐업수가 늘어나고 있는 상권버블기가 지속되고 있는 것으로 나타났다. 이들 지역 중에서 울산이 가장 최근에 주목받는 상업 재생지라 할 수 있다. 한편, 폐업이 개업보다 늘어나고 전체적으로 폐업의 증가세가 뚜렷한 상권쇠퇴기에 접어든 상업 지역은 서울이 유일하며 나머지 지역들은 여전히 상권버블기가 유지되고 있는 것으로 나타났다.
한편, 카페에 대한 상업 젠트리피케이션 단계는 일반음식점에 따른 패턴과 다소 상이한 결과를 보여주고 있다. 서울, 부산이 상대적으로 이른 시기에 재생기에 접어드는 것은 일반음식점과 비슷하지만 대체로 2000년 후반, 2010년 초반에 재생기에 접어드는 것으로 나타났다. 보다 흥미로운 결과는 대전인데 일반음식점의 개폐업으로는 특별한 패턴이 보이지 않는 반면, 카페의 경우 2013년에 재생기에 접어들어 2017년에 정점을 찍고 점차 하강하여 2018년에는 상권쇠퇴기에 접어드는 것으로 나타났다(그림 11). 상대적으로 오래 운영된 업소가 많은 일반음식점 보다 카페가 보다 최근의 지역 상권의 변화를 보다 민감하게 보여주고 있음을 시사한다. 울산은 일반음식점과 마찬가지로 카페 역시 가장 최근의 상업 재생이 활발히 진행되고 있음을 보여주고 있다. 한편, 부산의 경우 일반음식점 개폐업에서는 포착되지 않았던 상권 쇠퇴가 카페 개폐업에서는 서울과 유사한 패턴이 나타나고 있는 것으로 나타났다(그림 12).
각 단계별 지속 기간을 살펴보면, 상권 재생이 시작되고 부흥기까지 일반음식점의 경우 평균 5.7년, 부흥기에서 버블기는 1.3년의 기간이 걸리는 것으로 나타났다. 또한 비교적 최근에 상업 재생이 시작된 지역일수록 상권이 재활성화되고 버블화되는 속도가 빠른 것으로 나타났다. 카페의 경우 재생에서 부흥기까지 일반음식점보다 짧은 3.6년의 기간이 소요된 것으로 나타났고, 부흥기에서 버블기까지는 1.8년이 걸리는 것으로 나타나 일반음식점에 비해 카페가 전체적으로 짧은 상업 재생 주기를 보여주고 있다. 하지만 카페의 경우 부흥기와 버블기는 전후 시기가 교차되는 것이 두드러져 개업의 정점이 오기 전부터 폐업의 증가세가 두드러지는 특성이 포착되었다. 각 지역별로는 일반음식점은 대구, 광주, 울산이 상대적으로 짧은 상업 재생 기간을 보이며, 서울, 부산, 인천은 상대적으로 긴 상업 재생 기간을 보이고 있다. 반면, 카페의 개폐업의 경우 부산, 인천, 광주, 울산처럼 대체로 짧은 재생 기간을 보이지만 서울과 대구의 경우는 상대적으로 긴 재생 기간을 보이고 있다(표 10).
5. 결론 및 논의
도시 재생은 지리학, 도시계획학, 사회학, 주거복지학, 건축 및 토목 등 인문사회, 공학 분야의 주요 연구 주제로 오랫동안 다루어져 왔다. 낙후된 도시 공간을 재개발하여 보다 나은 주거 환경을 만들고 지역 경제 활성화를 도모한다는 점에서 긍정적 측면이 있지만, 재개발된 주변 지역의 지가를 상승시키고 기존 원주민의 퇴출을 가져오는 젠트리피케이션 문제를 동반하고 있다. 특히, 최근에는 기존 도심이나 상권과 같은 비주거 지역의 재개발이 활발히 진행되면서 도시 젠트리피케이션은 사회 전반의 주요한 이슈가 되고 있다. 특히 상업 지역의 젠트리피케이션은 지역 경제 기반의 부흥과 쇠퇴에 상당한 영향을 주기 때문에 매우 유심히 살펴볼 필요가 있다. 상업 젠트리피케이션 역시 주거지의 재생 과정에서 발생하는 젠트리피케이션과 유사한 단계적 특성을 보인다. 따라서 상업 젠트리피케이션 단계적 특성을 고찰하는 것은 해당 지역의 상업적 활력성을 진단하고 향후 상권의 발전 및 쇠퇴 가능성을 예측하여 효과적인 대응 방안을 수립하는데 매우 중요한 일이라 할 수 있다.
이러한 맥락에서 이 연구는 우리나라 주요 상업 젠트리피케이션 지역을 대상으로 상업 재생에 따른 시공간적 특성 변화를 살펴보고 상업 젠트리피케이션 단계를 실증적으로 진단하고자 하였다. 이를 위해 먼저 7대 광역시를 대상으로 뉴스 기사 빈도 분석을 통해 상업 젠트리피케이션이 진행 중인 지역을 선정하였고, 젠트리피케이션이 진행되는 기간 동안의 사회경제적 변화를 살펴보았다. 구체적으로 해당 지역의 공시지가의 변화, 카페 사업체수의 증감, 음식업 건물 연면적, 인구 및 평균 연령의 변화를 비교하였다. 대체로 젠트리피케이션의 일반적인 변화 양상이 탐지되었지만 상업 젠트리피케이션 지역에 따라 상이한 시간적 특성과 패턴을 보이고 있다. 예컨대 상업 재생이 일어나는 지역은 대체로 평균 지가가 증가하고 일정한 시점에 정점을 도달하지만, 지역에 따라 증가 속도와 정점에 해당하는 시기는 다르게 나타나고 있다. 이와 더불어 상업 재생지가 활성화되면서 카페의 수와 음식점 용도의 건물이 크게 증가하고 일정 시점이 지나면 다소 주춤하거나 감소하는 경향을 보이고 있다. 하지만 이러한 변화 역시 증가의 시작 시기나 정점에 도달하는 속도 등은 지역에 따라 차이를 보이고 있다. 이는 해당 상업 재생지의 지역적 차이와 공간적 특성에 기인한다고 볼 수 있어 젠트리피케이션의 구체적인 양상을 조사하기 위해서는 기존 선행 연구와 같은 미시적 접근이 중요함을 시사하고 있다.
이러한 상업 젠트리피케이션 지역의 사회경제적 변화는 젠트리피케이션의 진행 과정과 밀접하게 관련되어 있다. 상업 젠트리피케이션은 대개 일정한 시간적 경과에 따라 몇 가지 전형적인 단계를 거치는 특성을 보인다. 여기에서는 ‘재생기-상권부흥기-상권버블기-상권쇠퇴기’의 4단계로 구분하여 사례 지역들의 상업 젠트리피케이션 단계의 시간적 특성을 비교하여 살펴보았다. 이를 위해 상권의 활력성을 잘 반영하는 일반음식점과 카페의 업종별 개폐업 현황을 바탕으로 상업 젠트리피케이션 단계를 도출하였다. 구체적으로 상업 재생의 시작과 쇠퇴의 변화 시점을 보여줄 수 있는 인허가 및 폐업의 증감률과 상권의 지속적인 성장이나 하락세를 보여줄 수 있는 다년도 평균 인허가 및 폐업 건수, 그리고 개폐업의 전체적인 방향을 보여주는 순폐업 지표를 정의하여 각 지역의 젠트리피케이션 단계를 평가하였다. 연구 결과, 일반음식점과 카페의 운영 기간은 지역마다 조금씩 차이를 보이고 있었고, 일반음식점의 경우 인천, 대전의 상업 젠트리피케이션 지역이 비교적 오랜 기간 운영되고 있었고, 카페는 인천, 대전, 울산이 다른 지역에 비해 상대적으로 오랫동안 운영되고 있었다. 한편, 일반음식점에 비해 카페 업종이 더 짧은 생존 기간을 보이고 있어 상권의 역동성을 보다 잘 반영하는 업종임을 확인할 수 있었다. 상업 젠트리피케이션 단계별 시점은 각 지역별로 다르게 나타나고 있는데 일반음식점의 경우 서울, 부산, 대전이 상대적으로 이른 시기에 재생이 시작되었고 인천, 대구, 광주, 울산은 비교적 최근에 재생기에 진입한 것으로 나타났다. 그렇지만 상권부흥기는 대개 2015년에서 2017년 사이에 비슷하게 나타나고 있고, 상권버블화는 부흥과 거의 동시에 진행되고 있는 것으로 파악되었다. 특히, 서울 홍대거리와 부산 카페거리는 부흥기의 정점보다 이른 시기에 버블화가 동시에 진행되고 있는 것으로 나타났다. 홍대거리를 제외한 대부분의 상업 젠트리피케이션 지역은 여전히 상권이 활성화되어 있으며 상권버블기가 지속되고 있는 것으로 분석되었다.
이 연구는 우리나라 주요 상업 재생지의 젠트리피케이션 진행에 따른 인구, 경제, 지역적 특성 변화를 비교함으로써 우리나라 도시 젠트리피케이션의 전반적인 경향을 이해하고 지역적 차이를 살펴보는데 유용한 기초 자료로 활용될 수 있을 것이다. 또한 상업 젠트리피케이션의 구체적인 단계를 실증 사례를 통해 진단함으로써 우리나라 상업 젠트리피케이션의 진행 과정을 보다 체계적으로 보여주고 향후 새로운 지역의 젠트리피케이션에 대한 진단과 예측에 크게 도움을 줄 것으로 기대한다.




























