1. 연구 배경 및 목적
2. 연구 방법 및 지역
1) 연구 방법
2) 연구 지역
3. 연구 결과 및 논의
1) 하안단구 퇴적층의 특성과 형성 시기
2) 하각률 분포
3) 하각률 영향 요인 분석
4. 결론
1. 연구 배경 및 목적
하안단구는 현재보다 고도가 높은 곳을 흐른 고하천(paleo-stream)에 의해 형성되었던 하도나 범람원이 현 하천보다 높은 고도에 남게 된 지형이다(이광률, 2011). 하천은 침식 기준면에 도달할 때까지 하천의 고도를 낮추는 하방 침식 작용을 일으키는데, 이렇게 하천이 지표를 좁고 깊게 침식하는 하각(incision) 작용을 통해 하안단구가 형성된다. 하안단구의 형성시기와 하천과의 고도차를 알면 하천이 고도를 낮추는 침식 속도인 하각률(incision rate)을 계산할 수 있다(이광률, 2018b). 하천의 하각과 하각률은 해당 지역의 암석과 지질 구조 특성, 융기 및 단층 등 지구조적 작용, 제4기 동안의 장기적인 기후 변화, 하천 유수의 작용과 하곡의 지형 변화 과정, 해수면 고도와 하천 종단면 변화 등의 영향을 받는다(이광률, 2018bSchumm, 1999; Cyr and Granger, 2008; Cook et al., 2009; Lee et al., 2011; Baotian et al., 2013; Huang et al., 2013; Castillo et al., 2014; Finnegan et al., 2014; Saillard et al., 2014; 이광률, 2018a, 2023; Wacha et al., 2018; Nehme et al., 2020; Wu et al., 2020; 이광률・박충선, 2022). 특히, 우리나라와 같이 기후 현상의 지역적 차이가 크지 않은 지역에서 하각률의 공간적 분포의 차이는 국지적인 기후 특성보다는 지구조적 특성과 관계가 깊어서, 하천 하각률의 분포 차이를 분석하면 지반 융기의 공간적 특성을 해석할 수 있다(이광률, 2018a; 2018b; 2019, 이광률・박충선, 2020b; 2021b; 2022).
우리나라의 하안단구 연구는 2000년대부터 OSL(Optically Stimulated Luminescence) 연대 측정 기법이 일반화되면서, 분포와 고도 및 지형 특성보다는 형성 시기와 형성과정 그리고 하각률을 중심으로 진행되고 있다(이광률, 2023). 그리고 하천 하각률 연구는 주로 하안단구가 잘 발달한 한반도 남부의 융기축에 해당하는 태백산맥 일대(윤순옥 등, 2007; 이광률, 2009, 2014, 2018b, 2019; 신재열 등, 2023)와 소백산맥 일대(조영동 등, 2017; 이광률・박충선, 2020b; 2021b; 2022)를 대상으로 이루어져 왔다. 특히, 한반도의 형성과정을 대표하는 지구조 운동인 경동성 요곡 융기의 표본이 되는 강원 지역 일대의 하각률을 분석한 이광률(2018b)의 연구에서는 태백산맥을 중심으로 한 지반 융기가 하천의 하각 작용에 가장 큰 영향을 미쳤으며, 태백산맥으로부터 멀어질수록 하천의 하각률이 낮아지는 경향이 뚜렷하다고 제시하고 있다. 그렇지만, 이광률(2018b)의 연구는 주로 태백산맥 영서 지역의 자료가 대부분이었으며, 한강 동해 수계에 해당하는 태백산맥 영동 지역에 대한 하각률 자료는 2곳만 제시되었다는 한계가 있다.
본 연구는 강원 지역 태백산맥의 영동 사면을 흐르는 하천을 대상으로 하각률의 분포 특성과 하각률에 영향을 미치는 요인을 분석하고자 한다. 강원도 고성군에서 삼척시까지에 해당하는 영동 사면 하천의 9개 하안단구 퇴적층에서 절대 연대 측정과 고도 측량을 실시하였고, 3개의 선행 연구 자료를 포함해 총 12개 지점의 하천 하각률을 계산하여 강원 영동 하천의 하각률 분포를 분석하였다. 또한, 위치 및 고도, 융기율 및 암석, 하도 특성 등 하각률에 영향을 미치는 여러 요인들과 하각률 사이의 상관관계를 파악하여, 강원 영동 지역의 하각률 분포에 영향을 미치는 요인을 분석하였다.
2. 연구 방법 및 지역
1) 연구 방법
1:5,000 및 1:25,000 지형도, 1:50,000 지질도, 항공사진을 이용하여 강원 영동 하천의 하도 및 유역 조건과 하안단구의 분포 경향을 확인하였다. 그리고 하안단구가 분포할 것으로 예상되는 지역을 대상으로 야외 조사를 실시하여, 발견된 하안단구 노두에 대한 퇴적층의 층서 및 퇴적물 특성을 확인한 후, OSL 연대 측정 시료를 수집하고 위치 및 고도 측량을 실시하였다. OSL 연대 측정 시료는 하안단구 퇴적층 내에서도 모래를 다량 포함한 층에서 금속관을 삽입해 수집하였으며, 총 9개 지점의 시료에 대해 한국기초과학지원연구원에 의뢰하여 OSL 절대 연대를 획득하였다. 연대 시료 수집 지점과 해당 하안단구면의 위치 및 고도는 최대 오차 1cm인 Sokkia의 GNSS(Global Network Satellite System) 수신기 GRX1을 이용하여 정밀 측량하였다.
본 연구에서 조사된 9개 지점과 선행 연구로부터 절대 연대와 고도를 확인할 수 있는 3개 지점을 더하여, 총 12개 지점의 연대 결과와 고도를 바탕으로 선행 연구(이광률, 2018b, 2019; 이광률・박충선, 2020b, 2021b, 2022)에서 제시한 아래와 같은 식을 통해 하각률을 산출하였다.
하각률(m/ka) = 하각 고도(m) / 연대(ka)
(하각 고도 = 해당 하안단구면의 최고 고도 – 현 하천 홍수위 고도)
하안단구 퇴적층은 과거 홍수위 시에 퇴적된 지형이라는 점을 토대로 하여, 하각 고도는 절대 연대 측정 시료가 수집된 하안단구면의 최고 고도에서 현 하천 홍수위 고도를 뺀 값으로 계산하였다. 그리고 현 하천의 홍수위 정보는 각 하천에서 실시된 하천정비기본계획 보고서를 토대로 각 지점의 100년 빈도 계획 홍수위 고도를 적용하였다.
마지막으로, 강원 영동 하천 12개 지점에서 산출한 하각률 값을 토대로 분포도를 작성하여 하각률 분포 경향을 파악하였다. 또한 12개 지점에서 수치 지형도, 항공사진, 지질도 등을 토대로 고도 및 위도 등 위치 특성, 기반암의 종류, 하도 경사 및 유역 면적 등 하도 특성, 분수계와의 거리 및 해안선으로부터의 거리와 같이 융기율과 관련된 요소 등을 측정하였고, 하각률과 이러한 요인들 간의 상관관계를 파악하여, 강원 영동 하천의 하각률 분포에 영향을 미친 요인을 종합적으로 분석하였다.
2) 연구 지역
연구 지역은 태백산맥의 동사면에 위치한 강원 영동 지역으로, 행정구역상으로 강원도 고성군, 속초시, 양양군, 강릉시, 동해시, 삼척시에 해당한다(그림 1). 이 지역의 하천은 모두 백두대간 분수계의 동사면에서 발원하여 동해로 유입하는 한강 동해 권역에 속하는 하천으로서, 태백산맥 일대의 지반 운동과 하천의 작용을 설명하기에 좋은 조건을 가지고 있다. 연구 지역의 기반암은 화강암, 편마암, 석회암, 퇴적암 등이 주로 분포하는데, 중생대 쥐라기 화강암은 고성에서 강릉 북부까지 넓게 분포하며, 선캄브리아기 호상편마암은 속초 남부~양양 북부와 삼척 남부에, 고생대 석회암 및 퇴적암은 강릉 남부~삼척 북부 지역에 주로 분포하고 있다. 고성에서 강릉 북부까지의 해안 지역은 완경사의 구릉과 해안평야가 넓게 발달하고 있으나, 강릉 남부~삼척까지의 해안 지역은 급경사의 산지가 해안까지 이어져 있어서 해안평야의 발달이 상대적으로 미약하다.
연구 지역에는 양양 남대천, 강릉 남대천, 삼척 오십천 등 수많은 중‧소 하천이 태백산맥의 동사면을 흘러 동류 또는 북동류하여 동해로 유입한다. 강원 영동 사면의 전체 지역을 대표할 수 있는 각 하천에서 하안단구 퇴적층을 확인한 결과, 고성 남천(GS1), 천진천(GS6), 양양 쌍천(YY2), 후천(YY1), 강릉 연곡천(GR12), 경포천(GR2), 도마천(GR31), 동해 전천(DH2), 삼척 가곡천(SC12)의 총 9개 지점 하안단구 퇴적층 노두가 조사 지점으로 선정되어 연대 및 고도 측정을 통해 하각률이 산출되었다.
3. 연구 결과 및 논의
1) 하안단구 퇴적층의 특성과 형성 시기
9개 지점 하안단구 퇴적층 노두의 층서 및 퇴적물 특성과 해발고도 및 OSL 연대를 북부와 남부 지역으로 구분하여 살펴보면 다음과 같다.
(1) 고성~양양 지역
연구 지역의 북부인 고성군, 속초시, 양양군 지역에서는 고성군 남천, 천진천, 양양군 쌍천, 후천의 총 4개 지점에서 하안단구 퇴적층 노두를 발견하여 조사가 이루어졌다. 9개 지점 중 가장 북쪽의 GS1 노두는 고성군 죽왕면 향목리의 고성 남천 우안에 위치한 하안단구 퇴적층이다(그림 2-a). 남천 하류부에서 해안의 구릉지와 범람원을 이루는 해안평야가 접하는 사면 말단부에서 확인된 GS1 노두는 두께 2m 이상의 원마도가 원~완원인 왕모래~잔자갈을 포함한 역질 모래층을 이루고 있다. OSL 연대 측정 시료는 잔자갈이 확인되는 하부 모래층의 최상부 지점에서 수집하였으며, 연대 결과는 57±4ka로 획득되어 최종 빙기 초반인 MIS 4에 형성된 하안단구 퇴적층으로 확인되었다(표 1, 2). 단구면의 최고 해발고도는 12.6m, OSL 연대 측정 지점의 해발고도는 9.5m로 측정되었다.
표 1.
연구 지역 9개 노두의 위치, 지형, 퇴적층, 고도
표 2.
연구 지역 9개 노두 시료의 OSL 연대 측정 결과
| 시료 |
연간선량* (Gy/ka) |
수분 함량* (%) |
등가선량 (Gy) |
분석 수량 (n/N) |
OSL 연대* (ka,1σSE) |
| GS1 |
3.79±0.11 (3.74±0.10) |
35.6 (37.3) | 217±16 | 15/16 |
57±4 (58±4) |
| GS6 |
5.12±0.12 (4.90±0.12) |
18.7 (23.4) | 337±16 | 8/8 |
66±4 (69±4) |
| YY2 |
5.10±0.12 (4.71±0.11) |
23.9 (33.1) | 306±8 | 16/16 |
60±2 (65±2) |
| YY1 |
4.02±0.10 (3.94±0.10) |
10.9 (12.9) | 196±13 | 16/16 |
49±3 (50±4) |
| GR12 | 4.20±0.11 | 12.9 | 204±44 | 7/8 | 49±11 |
| GR2 |
3.26±0.09 (2.84±0.08) |
9.0 (23.1) | 175±15 | 16/16 |
54±5 (61±5) |
| GR31 |
3.75±0.10 (3.36±0.09) |
2.7 (12.8) | 58±4 | 16/16 |
16±1 (17±1) |
| DH2 |
4.48±0.12 (3.98±0.11) |
8.4 (20.2) | 256±13 | 14/16 |
57±3 (64±4) |
| SC12 |
3.07±0.08 (2.95±0.08) |
31.1 (35.9) | 459±41 | 8/8 |
150±14 (156±14) |
고성군 토성면 신평리에 위치한 GS6 노두는 천진천 상류의 우안에 발달한 선상지성 하안단구 퇴적층이다. 고성대로 신설 공사 중에 노출된 퇴적층에서는 지름 30cm 이상의 거력이 확인되며, 지형의 형태가 사면 방향인 동쪽을 향해 방사상으로 펼쳐져 있어, GS6의 지형면은 천진천의 선상지성 하안단구라고 볼 수 있다(그림 2-b). 노두에서는 아각~원의 왕모래~거력을 포함한 사질 자갈층이 두께 3m 이상으로 나타난다. 사력층 내에서도 왕모래가 집적된 지점에서 수집한 시료의 OSL 연대 측정 결과는 66±4ka로 획득되어 MIS 4에 형성된 하성층으로 확인되었다(표 1, 2). 인접한 선상지성 단구면의 최고 해발고도는 123.8m, OSL 연대 측정 지점의 해발고도는 120.9m이다.
양양군 강현면 물치리의 쌍천 최하류에 위치한 YY2 노두는 도로 공사 절개지에서 확인된 하안단구 퇴적층이다(그림 2-c). 퇴적층의 두께는 3m 이상이며, 상부는 점토와 실트가 혼합된 모래층을, 하부는 원~완원의 왕자갈~거력을 포함한 실트질 사질 자갈층을 이루고 있다. OSL 연대 측정 시료는 상부 모래층과 하부 자갈층의 경계 지점에서 수집하였으며, 연대 결과는 60±2ka로 획득되어 MIS 4에 형성된 하성층으로 확인되었다(표 1, 2). 퇴적층 최상부인 단구면의 최고 해발고도는 14.4m, OSL 연대 측정 지점의 해발고도는 11.0m이다.
양양군 서면 용소리에 위치한 YY1 노두는 양양 남대천과 유사한 규모를 가진 지류 하천인 후천의 중류에 발달한 하안단구 퇴적층이다. 노두 일대에서 후천은 전형적인 감입 곡류 하곡을 이루며, 하안에는 계단상의 하안단구면이 잘 발달해 있다(그림 2-d). 하안단구의 단구애에 위치한 YY1 노두는 아원~원의 잔자갈~왕자갈을 포함한 사질 자갈층이 3m 이상의 두께를 이루고 있다. 자갈층 내에서도 모래가 많은 지점에서 수집한 시료의 OSL 연대 측정 결과는 49±4ka로 획득되어 MIS 3에 형성된 하성층으로 확인되었다(표 1, 2). 완경사를 이루는 하안단구면의 최고 해발고도는 90.8m, OSL 연대 측정 지점의 해발고도는 75.4m이다.
(2) 강릉~삼척 지역
연구 지역의 남부인 강릉시, 동해시, 삼척시 지역에서는 강릉시 연곡천, 경포천, 도마천, 동해시 전천, 삼척시 가곡천의 총 5개 지점에서 하안단구 퇴적층 노두를 발견하여 조사가 이루어졌다. 강릉시 연곡면 행정리에 위치한 GR12는 연곡천의 중하류에 발달한 하안단구의 단구애에서 확인된 노두이다. 노두는 원~완원의 잔자갈~왕자갈을 포함한 두께 2m 이상의 사질 자갈층을 이루고 있다(그림 3-a). 자갈층 내에서도 모래가 많은 지점에서 수집한 시료의 OSL 연대 측정 결과는 49±11ka로 획득되어 MIS 3에 형성된 하성층으로 확인되었다(표 1, 2). 하안단구면의 최고 해발고도는 25.0m, OSL 연대 측정 지점의 해발고도는 17.2m이다.
강릉시 포남동에 위치한 GR2 노두는 경포호로 유입하는 경포천 하안의 구릉지 말단부에서 확인된 퇴적층이다(그림 3-b). 2m 이상의 두께로 나타나는 퇴적층에서도 하부는 적갈색의 역질 모래층이 발달하며, 중부는 사질 실트층과 모래층이 반복되고, 상부는 황갈색의 왕모래를 포함한 역질 모래층이 발달하고 있다. GR2 퇴적층은 주로 모래와 실트가 교호하는 층서를 나타내고 있고, 경포호의 호안 구릉에 위치하며 주변 지형이 하안단구의 형태를 띠지도 않아서, 하천보다는 호소의 영향이 우세한 호성 퇴적층으로 추정된다. 상부 모래층에서 수집한 시료의 OSL 연대 측정 결과는 54±5ka로 획득되어 MIS 3에 형성된 호소성 단구로 보인다(표 1, 2). 노두 상부 하안단구면의 최고 해발고도는 12.1m, OSL 연대 측정 지점의 해발고도는 8.5m이다.
강릉시 왕산면 도마리에 위치한 GR31 노두는 강릉 남대천의 상류부에 해당하는 도마천에 위치한다. GR31 노두 일대는 서쪽 산지에서 도마천에 합류하는 지류 하천이 도마천의 곡저에 형성한 선상지가 하안단구로서 남겨진 선상지성 하안단구 지형이다(그림 3-c). 노두는 아원~원의 왕자갈~거력을 포함한 두께 2m 이상의 사질 자갈층을 이루고 있다. 자갈층 내에서도 모래가 많은 지점에서 수집한 시료의 OSL 연대 측정 결과는 16±1ka로 획득되어 MIS 2에 형성된 하성층으로 확인되었다(표 1, 2). 선상지성 하안단구면의 최고 해발고도는 151.6m, OSL 연대 측정 지점의 해발고도는 149.6m이다.
동해시를 흐르는 전천의 하구부 우안에 해당하는 동해시 북평동 일대에는 동북동쪽으로 펼쳐진 선상지성 하안단구 지형면이 넓게 발달하며, DH2는 이 지형면 내부의 개석곡에 형성된 단구애에서 확인된 노두이다(그림 4-a). 노두에서는 원~완원의 잔자갈~거력을 포함한 사질 자갈층과 역질 모래층이 교호하는 두께 2m 정도의 사력층이 나타나며, OSL 연대 측정 시료는 자갈층 사이의 모래층에서 수집하였다. 인접한 선상지성 단구면의 최고 해발고도는 17.8m, OSL 연대 측정 지점의 해발고도는 15.5m이며, 연대 결과는 57±3ka로 획득되어 MIS 4에 형성된 하성층으로 확인되었다(표 1, 2).
삼척시 원덕읍 산양리에 위치한 SC12 노두는 감입 곡류 하곡을 이룬 가곡천의 중류에 발달한 하안단구 퇴적층이다(그림 4-b). 농경지로 이용하기 위한 단구면의 절개지에서 확인된 노두는 아원~원의 왕모래~잔자갈을 포함한 역질 사질 실트층이 적갈색을 띠며 1.5m 이상의 두께를 이루고 있다. OSL 연대 측정 시료는 모래와 실트가 많은 지점에서 수집하였으며, 연대 결과는 150±14ka로 획득되어 MIS 6에 형성된 하성층으로 확인되었다(표 1, 2). 하안단구면의 최고 해발고도는 71.9m, OSL 연대 측정 지점의 해발고도는 68.1m이다.
2) 하각률 분포
본 연구에서 조사된 9개 지점과 강원 영동 하천의 하안단구에 대한 선행 연구 중에서 유의미한 절대 연대와 고도를 확인할 수 있는 3개 지점을 더하여, 강원 영동 하천 유역의 총 12개 지점에 대한 하각률을 산출하였다(그림 5, 표 3). 추가된 3개 지점은 이광률(2018b)에서 연대와 고도가 제시된 강릉시 연곡면 퇴곡리의 연곡천 중류의 하안단구인 YG1, 이광률・박충선(2020a)의 연구에서 해면변동 단구로 해석할 수 있는 군선강 하구부에 위치한 강릉시 강동면 안인진리의 GR3, Lee et al.(2011)의 연구에서 OSL 연대가 제시된 삼척 오십천 중류 삼척시 신기면 신기리 하안단구 2면 퇴적층 노두인 STO-1이다.
표 3.
강원 영동 지역 12개 지점의 하각률과 위치 및 자연 환경 조건
| 하천 | 시료 | 위치 |
단구면 고도 (m) |
하각 고도 (m) |
연대 (ka) |
하각률 (m/ka) |
위도 (N) | 기반암 |
하도 경사 (°) |
유역 면적 (km2) |
하도 폭 (km) |
해안 융기율 (m/ka) |
분수계 거리 (km) |
해안선 최단 거리 (km) |
해안선 동서 거리 (km) |
| 남천 | GS1 | 고성 죽왕 향목 | 12.6 | 8.6 | 57 | 0.151 | 38°23' |
쥐라기 화강암 | 0.34 | 39.6 | 0.16 | 0.29 | 16.4 | 0.9 | 1.2 |
| 천진천 | GS6 | 고성 토성 신평 | 123.8 | 14.9 | 66 | 0.226 | 38°14' |
백악기 화강암 | 1.95 | 10.1 | 0.06 | 0.28 | 5.9 | 5.5 | 6.8 |
| 쌍천 | YY2 | 양양 강현 물치 | 14.4 | 7.7 | 60 | 0.128 | 38°10' |
원생대 편마암 | 0.69 | 64.7 | 0.21 | 0.27 | 12.2 | 0.7 | 0.7 |
| 후천 | YY1 | 양양 서면 용소 | 90.8 | 15.4 | 49 | 0.315 | 38°01' |
원생대 편마암 | 0.66 | 125.9 | 0.05 | 0.24 | 4.1 | 11.5 | 15.5 |
| 연곡천 | YG1 | 강릉 연곡 퇴곡 | 53.9 | 12.6 | 56a | 0.225 | 37°51′ |
쥐라기 화강암 | 0.60 | 110.8 | 0.06 | 0.20 | 14.5 | 7.7 | 9.9 |
| 연곡천 | GR12 | 강릉 연곡 행정 | 25.0 | 10.5 | 49 | 0.215 | 37°51' |
쥐라기 화강암 | 0.23 | 125.5 | 0.16 | 0.20 | 18.4 | 4.5 | 5.9 |
| 경포천 | GR2 | 강릉 포남 | 12.1 | 7.9 | 54 | 0.146 | 37°47' |
쥐라기 화강암 | 0.14 | 32.6 | 0.04 | 0.20 | 14.5 | 2.3 | 3.2 |
| 군선강 | GR3 | 강릉 강동 안인진 | 16.8 | 12.6 | 109b | 0.116 | 37°44' |
고생대 퇴적암 | 0.26 | 66.5 | 0.07 | 0.25 | 20.0 | 0.8 | 1.0 |
| 도마천 | GR31 | 강릉 왕산 도마 | 151.6 | 4.4 | 16 | 0.276 | 37°40' |
고생대 석회암 | 0.97 | 57.6 | 0.09 | 0.30 | 6.5 | 14.6 | 19.1 |
| 전천 | DH2 | 동해 북평 | 17.8 | 12.5 | 57 | 0.220 | 37°28' |
제3기 퇴적암 | 0.37 | 113.6 | 0.13 | 0.22 | 11.2 | 3.1 | 4.2 |
| 오십천 | STO-1 | 삼척 신기 신기 | 112.0 | 27.5 | 104c | 0.264 | 37°21′ |
고생대 규암 | 0.40 | 158.3 | 0.05 | 0.23 | 6.4 | 12.7 | 15.9 |
| 가곡천 | SC12 | 삼척 원덕 산양 | 71.9 | 32.3 | 150 | 0.215 | 37°08' |
백악기 화산암 | 0.40 | 206.1 | 0.14 | 0.27 | 12.4 | 7.2 | 8.3 |
연대 자료 출처 - a: 이광률(2018b), b: 이광률・박충선(2020a), c: Lee et al.(2011)
12개 지점의 하각률은 0.12~0.32m/ka의 범위에서 평균값이 0.21m/ka로 나타났으며, 하각률이 가장 높은 곳은 후천 중류의 양양 용소(YY1) 지점으로 0.315m/ka, 가장 낮은 곳은 군선강 하류의 강릉 안인진(GR3) 지점이 0.116m/ka로 산출되었다. 해안에 위치하여 고도가 낮은 남천 하류(GS1), 쌍천 하류(YY2), 경포천 하류(GR2), 군선강 하류(GR3) 등 하천 하류 지점은 모두 0.12~0.15m/ka의 작은 값을 나타내고 있으며, 중규모 하천의 중‧상류 지점에 해당하는 후천 중류(YY1), 강릉 남대천 상류인 도마천 중류(GR31), 오십천 중류(STO-1)는 모두 0.26~0.32m/ka의 큰 값을 나타내고 있다.
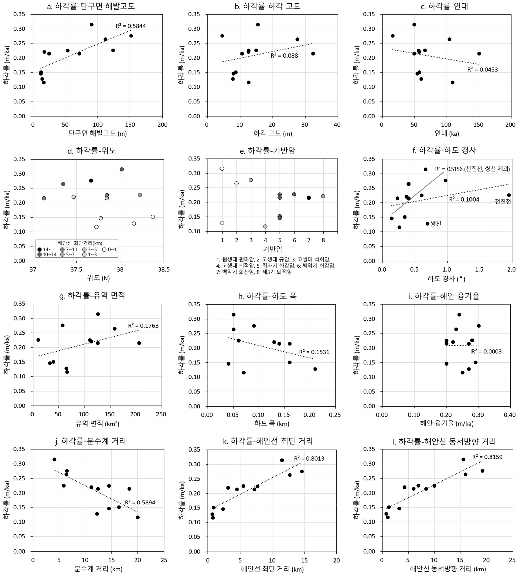
3) 하각률 영향 요인 분석
하각 작용의 공간적 분포는 암석과 지질 구조, 융기 및 단층 등의 지구조적 작용, 하천 유수의 작용, 하도와 하곡의 지형 특성 등의 영향으로 차이가 발생한다. 따라서 본 연구에서는 강원 영동 하천 유역의 하각률 분포에 영향을 미친 요인을 파악하기 위하여, 12개 지점의 하각률과 고도, 연대, 위도, 기반암, 하도 경사, 유역 면적, 해안의 융기율, 분수계 및 해안선으로부터의 거리 등과의 상관관계를 파악하였다(그림 6).
하각률과 단구면의 해발고도는 상관계수(R2)가 0.584로서, 작지 않은 양의 상관성이 나타났다(그림 6-a). 해발고도가 높을수록 하천의 궁극적인 침식기준면인 해수면으로부터의 고도 차이가 커지므로, 침식기준면에 도달하기 위한 하천의 하각 속도는 커질 가능성이 높다. 한편, 단구면 고도와 달리 하각 고도 및 연대와 하각률 사이의 상관관계는 매우 낮은 것으로 나타났다(그림 6-b, c).
하각률과 위도는 선형의 관계가 아니라 해안선으로부터의 거리에 따라 지역별로 약간의 특성이 나타난다(그림 6-d). 위도 37.6° 이남의 지역에서는 하각률이 중간 이상의 대체로 높은 값을 보이지만, 위도 37.6°~38.1° 지역에서는 해안선으로부터의 거리에 따라 하각률의 범위가 폭넓게 나타나는 경향이 있으며, 위도 38.1° 이북 지역에서는 해안선에 인접한 지점의 하각률이 약간 높은 경향을 보인다. 다음으로, 기반암을 지질시대 및 암종에 따라 8가지로 구분하여 하각률과의 관계를 살펴보면(그림 6-e), 이광률・박충선(2021a)에 의해 우리나라에서 풍화・침식에 대한 저항력이 큰 경암으로 알려져 있는 고생대 규암 및 석회암 지역에서는 하각률이 상당히 크게 나타났지만, 같은 경암으로 알려진 고생대 퇴적암 지역에서는 하각률이 매우 작게 나타났다. 그리고 풍화・침식에 대한 저항력이 작은 연암으로 알려진 쥐라기 화강암 지역에서는 대체로 중간 이하의 약간 작은 하각률이 나타났다. 한편, 원생대 편마암과 쥐라기 화강암 지역을 제외한 나머지 기반암 유형은 단 1개 지점에서만 하각률 값이 제시되어 있기 때문에, 본 결과만으로 하각률과 기반암 유형 사이의 관계를 일반화하기에는 무리가 있다.
하천의 하도 경사가 급하여 유속이 빨라지거나 유역 면적이 넓어서 유량이 많아지면 하천의 침식력도 커지므로 하각 속도는 빨라질 수 있다. 12개 각 지점으로부터 상류 쪽 2km 구간의 평균 하도 경사를 측정한 값으로, 하각률과 하도 경사 사이의 관계를 살펴보았다(그림 6-f). 상관계수는 0.100으로서 낮은 상관성이 나타나지만, 전체적인 경향에서 약간 벗어나는 천진천과 쌍천의 값을 제외하면 상관계수는 0.516으로 상당히 높아진다. 즉, 하도 경사가 극단적이거나 하도 경사보다도 다른 조건의 영향이 강한 일부 지점을 제외하면, 대체로 하도 경사가 클수록 하각률은 커지는 경향이 있다. 그리고 하각률과 유역 면적 사이의 관계는 상관계수 0.176으로 상관성이 작지만, 대체로 유역 면적이 넓을수록 하각률이 커지는 정상관의 경향이 나타난다(그림 6-g). 한편, 하도 폭은 하각률과 상관계수 0.153의 작은 역상관이 나타난다(그림 6-h). 이는 현재 상당수 지점에서 하도의 인위적인 개조나 변형이 이루어져 있어서, 측정된 하도 폭은 하각 작용이 발생한 과거의 자연적인 하도 폭과 상당한 차이가 있기 때문으로 보인다.
하각률과 해안 융기율의 관계를 파악하기 위하여, 본 연구에서는 이광률・박충선(2020a)의 연구 결과를 정리한 5개 해안 지역의 융기율 값을 토대로(그림 5), 내삽을 통해 12개 지점과 가장 가까운 해안의 추정 융기율을 산출하였다. 그 결과, 하각률과 해안 융기율과의 상관관계는 상관계수 0.0003으로 상관성이 거의 없는 것으로 나타났다(그림 6-i). 이는 하각률의 공간적 차이를 유발하는 가장 중요한 요인을 융기율로 제시하고 있는 많은 국내외 선행 연구(Montgomery, 1994; Seong et al., 2008; Wacha et al., 2018; 이광률, 2018a; 2018b; 2019; 이광률・박충선, 2020b; 2021b; 2022)와 상반되는 결과이다. 이러한 문제가 발생한 원인은 융기축으로 추정되는 태백산맥의 중심부로 갈수록 융기율 값이 증가할 것으로 예상됨에도 불구하고, 융기율 자료가 해안단구 분석을 통해 산출되는 한계로 인해, 태백산맥과의 거리와 상관없이 인접한 해안에서 추정된 융기율 값을 12개 지점에 적용하였기 때문으로 판단된다. 그리고 이를 잘 설명하는 자료가 영동 하천 분수계로부터의 거리와 하각률과의 관계이다(그림 6-j). 두 요소는 상관계수 0.589의 작지 않은 역상관을 이루어서 분수계로부터의 거리가 가까울수록 하각률이 커지는 경향이 나타나고 있다. 즉, 태백산맥의 중심부에 위치한 영동 하천의 분수계는 하각률에 영향을 미치는 중요한 요인 중 하나로 해석되며, 분수계가 위치한 태백산맥의 중심부는 한반도 남부의 융기 축으로 해석된다는 점에서, 지반 융기가 하천의 하각 작용에 큰 영향을 미치고 있는 것으로 판단할 수 있다.
하각률과 가장 높은 상관성을 갖는 요인은 해안선으로부터의 거리로서, 12개 지점에서 해안선까지의 최단 거리와 하각률은 상관계수 0.801, 12개 지점에서 같은 위도에 위치한 해안선까지의 거리, 즉 동서 방향의 해안선 거리와 하각률은 상관계수 0.816으로 상관성이 매우 높게 나타났다(그림 6-k, l). 해안선으로부터 거리가 멀어질수록, 즉 한반도 남부의 융기 축인 태백산맥 쪽으로 갈수록 하각률이 일정하게 증가하므로 융기율은 하각률에 가장 큰 영향을 미치는 요인으로 판단할 수 있다. 또한 하각률의 최대값은 태백산맥의 중심부로 갈수록 높아지며, 해안선 동서 방향 거리와 하각률 간의 상관계수가 가장 높다는 점을 고려하면, 최대 융기율 또는 융기량이 나타나는 융기 축은 동해의 해안선과 거의 유사한 형태를 띠면서 태백산맥의 중심부에 위치할 가능성이 큰 것으로 추정된다.
4. 결론
본 연구는 강원 영동 하천 유역의 총 12개 지점 하안단구 퇴적층에서 하천 하각률을 계산하고, 위치 및 고도, 융기 및 암석, 하도 특성 등 하각률에 영향을 미치는 요인을 분석하였다. 12개 지점의 하각률은 0.12~0.32m/ka의 범위에서 평균값 0.21m/ka로 나타났다. 12개 지점 중 하각률이 가장 높은 곳은 후천 중류로 0.315m/ka, 가장 낮은 곳은 군선강 하류로 0.116m/ka이다.
하안단구의 고도와 하도 경사는 하각률과 작지 않은 상관성을 갖는 것으로 보인다. 해발고도가 높은 지점일수록 하각률은 대체로 높아서, 하각 작용을 일으키는 원인이 되는 침식기준면과의 고도 차이는 하각률에 영향을 미치는 하나의 요인으로 판단된다. 그리고 하도 경사가 클수록 하각률은 커지는 경향을 보여서, 하천 유속의 차이를 유발하는 하도 경사도 하각률에 영향을 미치는 요인으로 작용하는 것으로 판단된다.
하각률과 상관성이 가장 높은 요인은 한반도 남부의 융기축으로 알려져 있는 태백산맥과의 관계를 지시하는 지표인 해안선으로부터의 거리와 분수계로부터의 거리이다. 태백산맥의 중심부인 영동 하천 분수계로부터의 거리가 가까울수록 하각률이 커지는 경향이 뚜렷하게 나타났다. 또한 해안선으로부터의 거리는 하각률과 상관계수 0.8 이상의 매우 높은 상관성을 가져서, 해안선으로부터 거리가 멀어질수록, 즉 한반도 남부의 융기 축인 태백산맥에 가까워질수록 하각률은 일정하게 증가하는 것으로 나타났다. 따라서 융기율은 하각률에 가장 큰 영향을 미치는 요인으로 판단되며, 강원 지역의 융기 축은 동해의 해안선과 거의 유사한 형태를 띠며 태백산맥의 중심부에 위치할 가능성이 큰 것으로 보인다.








