1. 서론
2. 이론적 고찰
1) 체류 관광의 개념, 동향 및 결정요인
2) 야영장업의 성장과 체류 관광 결정요인 으로서의 역할
3) 공간회귀모형과 ESF 기법의 적용 필요성
3. 분석자료와 방법론
1) 연구 대상 및 자료 구성
2) 변수의 구성 및 산출 방법
3) 변수의 기초 통계량 및 상관관계 분석
4) 분석방법론: 공간회귀모형
4. 분석 결과
1) 평균 숙박일수의 공간적 분포 특성
2) 공간회귀모형 분석결과
5. 요약 및 결론
1. 서론
관광객의 체류기간은 지역 내 소비 활동과 관광 파급효과를 결정하는 핵심 지표로서(Alegre and Pou, 2006; 이주영・이은규, 2011; 진무위 등, 2024), 지속가능한 지역관광 발전을 위해 체류기간 확대 전략은 오래전부터 정책・학문적 관심을 받아왔다. 체류기간이 증가할수록 숙박・식음료・교통・체험 등 다양한 분야에서 지출이 누적되며, 이는 지역경제 전반에 중요한 영향을 미친다(Gokovali et al., 2007). 체류에 대한 구체적 기준은 연구 목적에 따라 다소 상이하나, 관광학 분야에서는 일반적으로 1주일 이상을 장기 체류로 간주하는 경향이 있다(김송이, 2019; Atsız et al., 2022).
국내 관광 구조는 당일・단기 방문 중심성이 강하게 나타나 평균 체류일수가 낮은 수준에 머물러 있으며(문화체육관광부, 2024), 체류형 관광으로의 구조적 전환은 여전히 필요성이 강조되고 있다. 이러한 문제를 인식한 정부는 「인구감소지역 지원 특별법」과 「제1차 인구감소지역 대응 기본계획」을 통해 생활인구 유입, 장기 체류 프로그램, 숙박 인프라 확충 등을 주요 전략으로 제시하며 체류 기반 확대를 추진하고 있다(관계부처 합동, 2023; 전효재 등, 2024).
한편, 2020년 이후 국내 관광공간에서 주목되는 변화는 야영장업(캠핑장, 글램핑, 카라반 등)의 급속한 확산이다(한희정・박득희, 2025). 팬데믹 기간 사회적 거리두기와 야외활동 선호가 맞물리며 캠핑 이용자와 야영장 공급이 빠르게 증가하였고, 등록 야영장 수는 2019년 2,233개소에서 2024년 4,134개소로 확대되었다(한국관광공사, 2024; 지방행정 인허가 데이터개방, 2025). 이는 단순한 여가 선호의 변화가 아니라, 자연 기반 숙박시설이라는 새로운 공급구조가 목적지 체류 행태에 영향을 미칠 수 있는 구조적 변화를 의미한다(Craig, 2021).
그럼에도 기존 연구는 야영장업을 제도・산업・소비자 경험 중심에서 논의해 왔으며(김윤영, 2014; 민종우・지윤호, 2022; 김혜원・심창섭, 2024), 야영장 공급 확대가 지역 관광객의 평균 체류일수에 어떠한 영향을 미치는지에 대한 실증 분석은 매우 제한적이다. 특히 관광활동이 행정경계를 넘어 인접 지역과 상호작용하는 공간적 속성을 지닌다는 점을 고려할 때(조우제 등, 2022; Anselin, 1988), 야영장업 공급과 체류기간 간의 관계를 공간적 의존성을 반영하여 규명할 필요성이 크다. 즉, 야영장 공급이 체류기간의 실질적 결정요인인지, 혹은 지역적 맥락에 따라 영향력이 미미한지를 확인하는 실증 연구가 요구된다.
이러한 문제의식을 바탕으로 본 연구는 야영장업 공급 수준이 지역 평균 숙박일수에 미치는 공간적 영향을 실증적으로 분석하고자 한다. 이를 위해 2024년 기준 전국 시・군・구 단면자료를 활용하여, 전통적 회귀모형인 일반 선형회귀모형(Ordinary Least Squares, 이하 OLS)과 공간지체모형(Spatial Lag Model, 이하 SLM), 공간오차모형(Spatial Error Model, 이하 SEM), 그리고 고유벡터 공간필터링(Eigenvector Spatial Filtering, 이하 ESF) 모형을 적용하여 비교・분석한다(Anselin, 1988; Griffith, 2003; Tiefelsdorf and Griffith, 2007). 본 연구는 다음 두 가지 질문에 초점을 둔다.
첫째, 숙박 수용력의 규모와 그 중 야영장이 차지하는 비중은 시・군・구 평균 숙박일수에 어떤 방향과 크기로 영향을 미치는가?
둘째, 공간적 의존성을 고려할 때, OLS, SLM, SEM과 비교하여 ESF 모형이 체류형 관광의 공간 구조를 얼마나 더 잘 설명하는가?
2. 이론적 고찰
1) 체류 관광의 개념, 동향 및 결정요인
체류 관광은 관광객이 목적지에서 일정 기간 머무르며 숙박・소비・여가활동을 수행하는 관광 형태로 정의되며(Hongsranagon, 2006; Wong and Musa, 2014), 숙박일수는 이러한 체류 수준을 계량적으로 파악할 수 있는 핵심 지표로 활용된다(Gokovali et al., 2007; UNWTO, 2008). 숙박일수는 관광객의 지출 규모, 관광자원 활용 정도, 체류형 관광으로의 전환 수준 등을 반영하며 지역경제의 파급효과를 평가하는 대표 변수로 자리 잡아 왔다(이주영・이은규, 2011; Alegre and Pou, 2006).
장기 체류의 기준은 연구자마다 상이하나 김송이(2019)는 국내 평균 숙박일수인 2일을 상회하는 상대적으로 긴 기간을 체류형 관광으로 보면서 7일 이상을 장기 체류의 실무적 기준으로 제시하였다. Atsız et al(2022)는 4박 이상을 관광지에서의 장기 체류 기준으로, Moll-de-Alba et al(2016)는 4일 이상을 장기 체류로 구분하였다. 또한 EU 비자 정책에서는 90일 이상을 장기 체류로 규정하는 등 분야별 기준은 다양하지만 관광학 분야에서는 주로 1주일 이상의 체류를 장기 체류로 간주하는 경향이 있다.
선행연구에 따르면, 체류기간의 결정요인은 크게 연령, 소득, 동반자형태와 같은 관광객 특성 요인(Oklevik et al., 2021), 여행 동기, 체험의 질, 휴식・자연감상・문화향유 등과 같은 경험 요인(Fansurya et al., 2024), 숙박시설 공급, 관광자원 다양성, 접근성, 도시 여부 등의 목적지 특성 요인(Scotti et al., 2024)의 세 가지로 구분된다. 특히 목적지 특성의 영향력은 지속적으로 강조되고 있다. 도시는 비즈니스・쇼핑 등 단기・집약적 활동 중심으로 평균 체류일수가 짧은 반면(Breitung, 2011), 비도시는 휴식・자연 기반 활동 중심으로 상대적으로 긴 체류일수를 보인다(Oklevik et al., 2021). 다만 이러한 경향은 경우에 따라 상이하게 나타날 수 있다. 예를 들어 국내 농촌관광은 당일 방문 비중이 매우 높아 평균 숙박일수가 도시 지역보다 짧게 나타나는 경향이 보고된다(농업과학기술원 농촌자원개발연구소, 2006; 농촌진흥청, 2023). 이러한 이질성을 반영하기 위해 다수의 연구에서는 도시와 비도시를 구분하는 더미변수를 포함하여 목적지 유형에 따른 구조적 차이를 통제한다(Oklevik et al., 2021).
고속철도 여부는 관광객 유입을 촉진하는 동시에 당일방문을 증가시켜 체류기간을 짧게 만들 수 있는 양면성을 지닌다(Zhang and Liu, 2025). 자연환경 요인으로는 산림률이 자연・휴양형 방문 수요를 설명하는 대표 변수로 활용된다(Talal and Gruntman, 2023). 또한 관광지와 축제 수는 목적지 내 활동의 다양성을 나타내며, 일정 복합성을 확대하여 체류일수를 연장하는 요인으로 확인된다(McKercher and Wong, 2004).
팬데믹 이후에는 체류기간의 중요성이 국제적으로 더욱 부각되고 있다. OECD(2024)는 관광 회복기에 숙박일수가 방문객 수보다 정책 판단에서 더 중요한 지표로 활용되고 있다고 지적하였으며, Eurostat(2025) 통계에서도 캠핑・휴양공원을 포함한 전체 숙박일수가 사상 최고치를 기록했다고 보고한다. 반면 국내는 외래관광객의 평균 체류일수는 7-8일 수준이나, 내국인의 국내 숙박여행은 2일대 초반에 머무르고 있어(문화체육관광부, 2024), 장기 체류형 관광으로의 구조 변화가 필요함을 시사한다.
이상의 논의를 종합하면, 숙박일수는 체류 관광 분석의 핵심 종속변수이며 이를 설명하기 위해서는 도시 여부, 교통 접근성, 숙박・야영장 공급, 자연환경, 관광매력 요인 등을 포괄적・구조적으로 고려할 필요가 있다. 또한 체류 관광은 인접 지역과의 공간적 상호작용 속에서 나타나므로, 공간적 의존성을 통제한 분석이 요구된다(조우제 등, 2022; Anselin, 1988).
2) 야영장업의 성장과 체류 관광 결정요인 으로서의 역할
캠핑 관광은 자연경관을 기반으로 숙박・체험・야외활동이 결합된 관광 형태로(Craig, 2021), 최근 국내에서 가장 빠르게 성장한 숙박 및 레저 유형 중 하나이다. 「관광진흥법」은 야영장업을 일반야영장업과 자동차야영장업으로 규정하고 있으며(국가법령정보센터, 2025), 국내 야영장업은 2000년대 이후 민간 중심의 확산을 기반으로 대중화되었다(김윤영, 2014). 팬데믹 시기 사회적 거리두기, 비대면 선호, 야외활동 수요 증가가 맞물리면서 캠핑 수요는 폭발적으로 증가하였고, 등록 야영장 수는 2019년 2,233개소에서 2024년 약 4,134개소로 확대되었다(한국관광공사, 2024; 지방행정 인허가 데이터개방, 2025).
이처럼 캠핑 관광은 단순한 숙박이 아니라 자연 기반 체류형 관광의 대표 유형으로 기능하고 있다. 그 중에서도 자연・휴양형 관광객은 휴식・치유・회복을 목적으로 한 장시간 체류 성향이 강하며(장진, 2021) 캠핑, 글램핑, 휴양림 숙박을 선택할수록 2박 이상 장박 비율이 높아지고 있다(Lee et al., 2023).
국제적으로도 캠핑관광이 차지하는 비중은 빠르게 상승하고 있다. Cegur Radović(2025)는 유럽 캠핑관광에서 2022년 기준 약 3억 9,800만 숙박일수가 발생했다고 보고하며, 캠핑이 더 이상 소수 수요에 국한된 여가 활동이 아닌 체류 관광을 견인하는 주요 숙박 유형으로 기능적 위상이 강화되고 있음을 시사한다. 또한 캠핑은 환경친화적 태도, 가족・커뮤니티 중심 활동, 지역사회와의 상호작용을 촉진하는 장점이 있어(Scott and Mowen, 2010), 지역경제와 자연자원 보전 측면 모두에서 긍정적 효과를 가진 관광 유형으로 평가된다.
반면 국내 연구는 야영장업의 제도(김윤영, 2014), 산업 성장(민종우・지윤호, 2022), 안전・위생 관리(백운일・전정아, 2017), 소비자 경험(박정현・김남조, 2021; 김혜원・심창섭, 2024) 등 질적 측면에 집중되어 있다. 야영장업이 체류형 관광 수요와 어떻게 연결되는지, 특히 지역 단위 평균 숙박일수와의 관계를 정량적으로 분석한 연구는 거의 찾아보기 어렵다. 더 나아가 관광 활동은 행정경계를 넘어 인접 지역과 상호작용하는 공간적 속성을 지니며(조우제 등, 2022), 특정 지역의 야영장 공급 확대가 주변 지역의 체류기간과 방문 패턴에도 영향을 미칠 가능성이 제기되나 이러한 공간적 파급효과를 체계적으로 검증한 연구는 미비한 실정이다.
최근의 야영장업 공급 확대는 단순한 민간 수요 증가만으로 설명되기보다는 중앙정부와 지방정부의 정책적 개입과 제도 설계에 의해 구조적으로 뒷받침된 측면이 크다(국무조정실, 2022). 중앙정부는 「인구감소지역 지원 특별법」과 연계하여 생활인구 유입과 장기 체류기반 확충을 정책목표로 설정하고 공공 야영장 조성, 노후 시설 개선, 안전・위생 기준 정비 등 야영 인프라의 질적 제고를 위한 정책 수단을 단계적으로 확대해 왔다(관계부처 합동, 2023; 문화체육관광부, 2024). 지방정부 역시 지역 특성을 반영한 공공 캠핑장 조성, 워케이션 기반 조성, 체류형 프로그램 개발 등의 전략을 통해 지역 단위의 체류 관광 강화 정책을 추진하고 있으며, 이러한 움직임은 야영장업의 공간적 확산을 제도적으로 뒷받침해 왔다(전효재 등, 2024). 이와 같은 정책 환경은 야영장업을 단순 체험시설이 아니라 지역 체류 관광 체계의 한 축으로 편입시키는 방향으로 제도적 위상을 재정립하고 있다는 점에서 의미가 크다.
이러한 맥락에서 행정구 단위 전체 숙박 수용력 중 야영장이 차지하는 비중은 해당 지역의 숙박 공급 구조가 어느 정도 야영장 중심으로 구성되어 있는지를 보여주는 구조적 지표로 이해할 수 있으며, 야영장 공급 수준은 체류 관광 수요를 흡수할 수 있는 물리적 인프라의 규모를 직접적으로 반영한다(Alegre and Pou, 2006). 그럼에도 불구하고 야영장 비중과 평균 숙박일수 간의 정량적 관계, 그리고 이 관계가 자원・환경・접근성・도시성 등 공간적 맥락에 따라 어떻게 달라지는지는 충분히 규명되지 않았다. 다시 말해, 야영장이 체류형 관광을 뒷받침할 잠재력을 지닌 숙박 인프라라는 전제는 정책과 담론 차원에서 널리 공유되고 있으나, 실제 지역 수준에서 어떤 방향과 크기로 체류기간에 작용하는지에 대해서는 추가적인 실증 분석이 요구된다.
3) 공간회귀모형과 ESF 기법의 적용 필요성
도시・지역 차원의 다양한 사회경제적 지표는 대개 인접 지역과의 상호작용 속에서 형성된다. 이로 인해 관측치는 서로 독립이라는 OLS의 전제를 충족하지 못하고, 잔차에 공간적 자기상관이 남아 추정치의 일관성과 효율성이 저하될 수 있다(Anselin, 1988). 이러한 문제의식에서 SAR과 SEM 등 공간 구조를 모형 내부에 직접 반영하는 접근이 널리 사용되어 왔다.
국내 관광 분야에서도 유사한 흐름이 확인된다. 수도권을 대상으로 여가 목적 통행 데이터를 분석한 연구에서는 인접 지역의 영향이 여가 이동 행태를 규정한다는 사실이 실증적으로 제시되었고(이정섭・김영래, 2012), 춘천시를 사례로 향토음식 관광자원의 분포와 요인을 분석한 결과에서는 전통적인 OLS보다 SAR과 SEM의 설명력이 더 높다는 점이 보고되었다(박미현・윤희정, 2013). 또한 146개 시・군 자료를 통해 관광 어메니티와 지역 관광경제 간 관계를 추정한 연구에서는 공간자기상관의 통제가 해석 타당성을 높인다는 점이 논의되었으며(윤희정・박미현, 2014), 수도권 호텔 274개를 대상으로 RevPAR 결정 요인을 추정한 최근 연구에서는 SEM이 가장 적합하고 이분산성 문제 해소에도 유효하다는 결과가 제시되었다(오미해・이희찬, 2022).
이렇듯 관광 현상은 개별 지역의 속성만으로 설명되기보다 권역적 연계와 이웃 효과 속에서 조직화되며, 공간회귀모형의 도입이 설명력과 해석의 신뢰도를 함께 끌어올린다는 공통된 결론에 수렴한다.
한편, 공간회귀모형의 일종인 ESF는 기존 회귀모형의 구조를 유지하면서도 공간 가중행렬로부터 추출한 고유벡터를 설명변수로 도입함으로써 잔차에 존재하는 공간 자기상관을 제거하는 방식이다(Griffith, 2003). ESF는 공간적 자기상관을 ‘설명’하는 것이 아니라 ‘제거’함으로써 회귀계수의 추정 안정성과 검정의 타당성을 확보하는 데 유리하다. 이러한 특징 덕분에 최근 국내에서는 도시 구조, 주택시장, 환경, 범죄 등의 분야에서 ESF 모형을 도입하려는 시도가 이루어지고 있다(오창화・김영호, 2016; 구형모, 2019; 이상일, 2019). 그러나 국내 관광 분야에서는 아직 ESF 기법을 본격적으로 도입한 사례가 확인되지 않고 있으며, 특히 지역 간 관광활동의 공간적 의존성을 정교하게 통제하려는 분석에서는 적용이 미비한 실정이다.
관광 수요, 체류시간, 시설의 밀도와 같은 지표는 일반적으로 공간 자기상관을 내재하기 마련이며(Ma et al., 2022), 이를 통제하지 않고 분석을 수행하는 경우 회귀계수가 왜곡되거나 검정력이 저하될 수 있다. 기존의 공간회귀모형들은 공간 의존성을 일정 부분 반영할 수 있으나, 공간 자기상관의 제거에 초점을 맞춘 ESF 기법은 회귀계수의 해석 일관성과 비교 가능성을 확보하는 데에 있어 이점이 있다(Tiefelsdorf and Griffith, 2007). 따라서 본 연구는 국내 관광지리학 분야에서 아직 활용되지 않은 ESF 모형을 도입함으로써, 기존의 공간회귀모형 기반 연구들이 지닌 한계를 보완하고 체류 관광의 공간 구조를 보다 정밀하게 분석하고자 한다.
3. 분석자료와 방법론
1) 연구 대상 및 자료 구성
본 연구는 체류 관광에 영향을 미치는 공간적 요인을 분석하기 위해 2024년 기준 전국 기초지방자치단체 중 226개 시・군・구를 분석 단위로 설정하였다. 시・군・구는 관광 관련 공식 통계가 일관된 단위로 집계 및 관리되고 있어 관광 수요와 공급 간의 공간적 상호작용을 분석하기에 적합하다. 특히 기초 행정단위로서 관광 정책의 실질적 수립과 집행이 이루어지는 만큼 지역별 특성과 정책적 시사점을 도출하기 위한 공간 분석의 기본 단위로 적절하다는 평가가 있다(박근화 등, 2024). 다만, 제주특별자치도와 경상북도 울릉군은 도서 지역이라는 지리적 특수성으로 인해 연구 대상에서 제외하였다. 이들 지역은 다른 지역들과의 접근성, 관광행태, 관광 인프라 측면에서 상이한 특성을 지니고 있어 공간 분석 시 왜곡된 결과를 초래할 가능성이 높기 때문이다.
분석에 활용된 자료는 2024년 기준 국가 및 공공기관에서 제공하는 통계자료들을 중심으로 구성하였다. 종속변수인 평균 숙박일수를 포함하여 관광자원, 지역적 특성, 접근성, 환경적 특성 등을 나타내는 설명・통제변수를 선정하고, 이를 공간정보(행정 경계 및 면적 등)와 병합하여 시・군・구 단위로 정렬한 후 최종 분석자료로 활용하였다. 각 변수의 설정과 정의 등에 대해서는 다음 절에서 상세히 제시한다.
2) 변수의 구성 및 산출 방법
본 연구는 시・군・구 단위의 평균 숙박일수를 종속변수로 설정하고, 이에 영향을 미칠 것으로 예상되는 설명변수와 통제변수를 선정하여 분석을 수행하였다(표 1). 종속변수인 평균 숙박일수(Mean Stay Duration, MSD)는 한국관광데이터랩에서 제공하는 KT 이동통신 데이터 기반의 지역별 방문자 체류 특성 자료를 활용하였다(한국관광데이터랩, 2025). 각 시・군을 방문한 관광객의 체류일수를 합산한 뒤 방문객 수로 나누어 평균 숙박일수를 산출하였으며, 이는 지역 간 체류 관광 수준의 차이를 정량적으로 비교할 수 있다는 점에서 연구 목적에 부합한다.
표 1.
변수의 정의
계량모형에서는 분포의 왜도를 줄이고 계수 해석의 용이성을 높이기 위해 MSD의 자연로그 값인 log(MSD)를 종속변수로 사용하였다. 또한 숙박 수용력 밀도, 지정 관광(단)지 수, 문화관광축제 수와 같이 규모를 나타내는 변수에 대해서도 분포의 비대칭성을 줄이고 log-log 탄력성 해석을 위해 자연로그를 적용하였으며, 0 값을 포함하는 계수형 변수에는 log(x + 1) 변환을 사용하였다. 이하에서 변수명에 log가 붙은 경우는 이러한 변환을 거친 값을 의미한다.
본 연구의 주된 관심 변수는 숙박 공급의 규모와 구조를 나타내는 두 변수이다(그림 1). 먼저 숙박 수용력 밀도(Accommodation Capacity Density, ACD)는 한국관광데이터랩의 관광사업체 현황을 활용하여 시・군별 야영장 면수와 일반 숙박업 객실수를 합산한 뒤, 해당 시・군의 면적으로 나누어 계산하였다(한국관광데이터랩, 2025). 이는 단위 면적당 수용 가능한 총 숙박 정원을 나타내는 지표로, 특정 지역이 어느 정도의 숙박 수요를 처리할 수 있는지 보여준다.
둘째, 야영장 비중(Camping Share in Capacity, CSC)은 한국관광데이터랩의 캠핑관광 현황자료를 바탕으로 산출한 야영장 면수를 전체 숙박 수용력(야영장 면수 + 일반 숙박업 객실수)으로 나누어 계산하였다(한국관광데이터랩, 2025). 이 변수는 야영장이 차지하는 상대적 비중을 의미하며, 값이 1에 가까울수록 숙박 공급이 야영장 중심으로 구성되어 있음을 뜻한다. 기존 연구에 따르면 에어비앤비와 같은 대안적 숙박시설의 공급 증가는 전통적 숙박시설과 보완적 또는 대체적 관계를 형성하며, 관광객의 목적지 선택과 체류 행태에 변화를 초래할 수 있다(Zervas et al., 2017). 이러한 논의를 바탕으로 숙박 수용력의 절대 규모인 log (ACD)와 함께 야영장 비중(CSC)을 핵심 설명변수로 설정하여 야영장업의 공급 구조가 체류형 관광에 미치는 영향을 검증하고자 한다.
이외에도 체류 관광에 영향을 미칠 수 있는 지역적 특성을 통제하기 위해 여러 변수를 포함하였다. 먼저 도시 여부(Urban Area, UA)는 시・구에 1, 군에 0을 부여하여 도시와 비도시 간 체류 행태의 구조적 차이를 반영하고자 하였다. 농업과학기술원 농촌자원개발연구소(2006)에 따르면 농촌을 방문한 관광객 중 숙박을 동반한 방문은 25.8%, 재방문 의사를 밝힌 비율은 27.3%에 그쳤다. 2022년 농촌관광 실태조사에서도 1인당 연평균 당일 방문 횟수는 1.9회인 반면 숙박 방문은 0.5회에 머무른 것으로 보고되었는데, 이러한 결과는 국내 농촌관광이 여전히 당일 중심 구조를 강하게 유지하고 있음을 시사함과 동시에 도시와 비도시 간 체류 패턴이 국외 연구에서 제시된 전형적 구도와 다를 수 있음을 보여준다(농촌진흥청, 2023).
고속철도 접근성(High-Speed Rail Access, HSR)은 KORAIL의 열차시간표・노선도 자료를 바탕으로 KTX 또는 SRT 정차역이 존재하는 시・군을 1, 그렇지 않은 지역을 0으로 처리한 변수이다(KORAIL, 2025). 광역 교통 인프라의 입지와 접근성은 관광 수요 및 공간 구조에 영향을 미친다는 기존 연구를 바탕으로(조남건・이훈기, 2004; 이상근 등, 2023; Albalate and Fageda, 2016), 고속철도 역 유무를 체류형 관광에 영향을 줄 수 있는 교통 접근성 요인으로 설정하였다.
산림률(Forest Cover Ratio, FCR)1)은 산림임업통계플랫폼을 통해 2020년 기준 지역별 산림 면적을 전체 면적으로 나누어 산출하였다(산림임업통계플랫폼, 2025). 자연환경의 질은 관광객의 만족도와 방문 의도에 큰 영향을 미치는 요인으로, 기후적 쾌적성, 환경적 이완감, 경관 등이 관광 경험을 구성하는 핵심 요소로 제시되어 왔다(Tapak et al., 2019; Talal and Gruntman, 2023). 일반적으로 산림률이 높은 지역은 그렇지 않은 지역보다 쾌적하고 자연 친화적인 체류 환경을 제공할 가능성이 있으며, 이는 체류 연장을 견인하는 요소로 작용할 수 있다.
지정 관광(단)지 수(Designated Tourism Sites, DTS)는 관광지식정보시스템(TDSS)을 참고하여 시・군별 지정 관광지 및 관광단지의 수를 집계한 변수로, 지역의 공식적인 관광자원 인프라 규모를 나타낸다(관광지식정보시스템, 2025). 지역이 보유한 관광자원의 수와 다양성은 방문 유인을 강화하고 관광객의 체류기간에 유의한 영향을 미친다는 선행연구(McKercher and Wong, 2004; Scotti et al., 2024)에 근거해 선정하였다.
마지막으로 문화관광축제 개최 수(Festival Count, FSC)는 문화체육관광부에서 제공하는 2024년 기준 지역축제 통계자료를 활용하여 시・군별 축제 개수를 집계한 것이다(문화체육관광부, 2025). 축제는 단기간에 집약적인 방문과 소비를 유발하는 이벤트라는 점에서 관광자원 인프라를 보완하여 지역의 문화・관광활동 환경을 나타내는 변수로 활용된다.
이상의 변수들은 체류 관광에 영향을 미칠 수 있는 다양한 요인을 포괄하도록 설계되었다. 다음 절에서는 각 변수의 기초 통계량과 변수 간 상관구조를 제시하여 측정치의 적정성과 분석 기반의 타당성을 점검한다.
3) 변수의 기초 통계량 및 상관관계 분석
표 2는 종속변수와 주요 설명변수의 기초 통계량을 제시한 것이다. 종속변수인 log(MSD)는 전국 226개 시・군・구를 기준으로 평균 1.008, 최소 0.820, 최대 1.138의 값을 나타냈다. 이는 로그 변환 이전의 원자료상 대략 2.27박에서 3.12박 수준의 체류기간에 해당하며, 지역 간 체류형 관광의 분포가 일정 수준의 공간적 편차를 보이고 있음을 시사한다.
표 2.
기초 통계량
핵심 관심 변수 중 하나인 log(ACD)는 최소 -1.078, 최대 7.908, 평균 2.590으로 나타나 매우 큰 지역 간 차이를 보였다. 이는 숙박시설(야영장 및 숙박업)의 공급력이 특정 지역에 집중되어 있음을 의미하며, 체류 관광의 공간적 구조와 수용 여건과의 연계성을 검토할 필요성을 강조한다.
또 다른 핵심 변수인 CSC는 평균 0.139로 전체 숙박 수용력 중 약 14%가 야영장으로 구성되어 있음을 보여준다. 그러나 최댓값이 0.857로 나타나 특정 지역에서는 야영장이 지역 숙박 수용력의 절대적 비중을 차지하고 있으며, 이는 전통적 숙박업과 다른 관광 수요 구조 및 체류 패턴을 형성할 가능성을 암시한다.
환경적 조건을 반영한 FCR은 평균 0.506으로 전체 면적의 절반가량이 산림으로 구성되어 있으나 최소 0.000에서 최대 0.966까지 분포하여 생태・환경적 조건 역시 지역별로 매우 이질적임을 확인할 수 있다.
관광자원 공급을 나타내는 log(DTS)는 평균 0.582, 최대 2.079로 나타났으며, log(FSC)는 평균 1.552, 최대 3.091로 확인되었다. 두 변수 모두 원자료 기준으로 지역 간 편차가 컸으며, 이는 관광자원의 유형과 분포가 체류형 관광의 형성에 서로 다른 방식으로 영향을 미칠 수 있음을 시사한다.
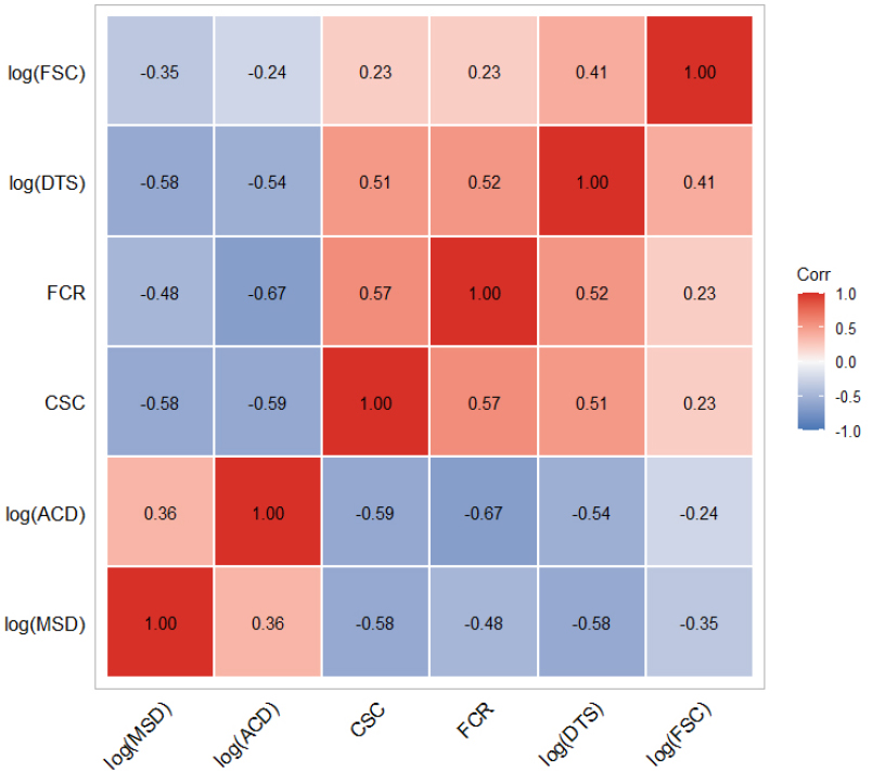
이후 변수 간 선형적 관계와 다중공선성 가능성을 점검하기 위해 피어슨 상관계수 분석2)을 수행하였다(그림 2). 분석 결과, 종속변수인 log(MSD)는 log(ACD)와 가장 높은 양의 상관관계를 보였으며(r = 0.36), 이는 숙박 수용력이 높은 지역일수록 평균 체류기간이 길어지는 경향을 반영한다. 반면, CSC(r = -0.58), FCR(r = -0.48), log(DTS)(r = -0.58), log(FSC)(r = -0.35) 등과는 중간 수준의 음의 상관관계를 나타냈다. 이러한 결과는 관광자원의 양적 공급이 반드시 체류기간 증가로 이어지지 않으며, 자연환경 및 관광지 구성 방식에 따라 상이한 영향이 나타날 수 있음을 시사한다.
독립변수 간 상관구조를 살펴본 결과, 모든 상관계수는 절댓값 기준 0.67 이하로 나타났다. log(ACD)와 FCR의 관계가 가장 크게 나타났으나, 통상 다중공선성 문제를 의심하는 임계치에는 미치지 않는 수준이었다.
다만 단순 상관계수 분석만으로는 회귀모형에서의 안정성을 완전히 판단할 수 없기에 추가로 분산팽창지수(VIF)를 확인하였다. 분석 결과, 모든 변수의 VIF는 1.17-2.55 범위에 분포하였다. 따라서 본 연구의 독립변수 조합은 다중공선성 측면에서 모형 추정에 변수 간 효과가 안정적으로 식별될 수 있는 구조임을 확인하였다. 이와 같은 결과는 본 연구에서 구성한 변수 체계가 통계적으로 타당하며 이후 수행되는 공간회귀모형에서 해석 가능한 회귀계수 산출이 가능함을 의미한다.
4) 분석방법론: 공간회귀모형
본 연구에서는 체류 관광에 영향을 미치는 공간적 요인을 파악하기 위해 공간회귀모형을 적용하였다. 공간회귀모형의 본격적인 적용에 앞서 종속변수의 공간적 분포 특성을 먼저 살펴보기 위해 Global Moran’s I 지표를 산출하여 평균 숙박일수의 전반적인 공간 자기상관을 확인하고 국지적 공간 자기상관(Local Indicators of Spatial Association, 이하 LISA) 분석을 통해 평균 숙박일수의 군집화 경향을 시각적으로 파악하였다.
이어서 OLS 모형을 기준모형으로 추정한 뒤 잔차에 대한 Global Moran’s I를 계산한 결과, 유의한 공간 자기상관이 확인되었다. 이를 보정하기 위해 인접 지역의 종속변수 영향을 모형에 직접 반영하는 SLM, 오차항 수준의 공간 의존성을 모형화하는 SEM, 그리고 Moran 고유벡터를 인공 변수로 포함해 잔차의 공간 자기상관을 필터링하는 ESF를 추가로 적용 및 비교하였다. 이러한 탐색적 공간분석과 공간회귀모형 비교 결과는 이후 평균 숙박일수에 대한 설명변수의 효과와 공간효과를 해석하는 데 참고 자료로 활용하였다.
(1) 공간지체모형(SLM)
SLM은 이웃 지역의 종속변수 값이 해당 지역의 종속변수에 직접적인 영향을 미치는 구조를 모형화하기 위한 공간회귀모형이다(Anselin, 1988; Ward and Gleditsch, 2008). 평균 숙박일수와 같이 인접 지역 간 관광 수요가 서로 영향을 주고받는 경우, 단순 OLS로는 이러한 공간적 파급효과를 적절히 반영할 수 없다. 특히 실제 데이터 생성 과정에 공간지체 구조가 존재함에도 이를 모형에서 누락하고 OLS로 추정할 경우, 공간지체항의 내생성 때문에 회귀계수 추정치는 편향되고 일관성이 없게 되는 것으로 알려져 있다(Anselin and Bera, 1998; Gibbons and Overman, 2012).
SLM은 종속변수의 공간적 자기회귀항을 모형에 포함함으로써 이러한 문제를 보완하며, 구체적으로 다음과 같이 표현된다(식 1).
여기서 𝑦는 종속변수 벡터, 𝑋는 설명변수 행렬, 𝑊는 지역 간 인접성을 나타내는 공간 가중행렬, 𝜌는 공간지체계수, 𝜀는 평균 0과 분산 𝜎2를 갖는 오차항이다. 𝜌는 인접 지역의 종속변수가 해당 지역의 종속변수에 미치는 공간 파급효과의 크기와 방향을 나타내며, 𝜌> 0이면 인접 지역의 값이 높을수록 해당 지역의 값도 높아짐을 의미한다. 이러한 구조를 통해 SLM은 평균 숙박일수의 공간적 확산과 군집 효과를 모형에 직접 반영함으로써 체류 관광의 공간적 상호작용을 고려한 상태에서 설명변수의 영향을 추정할 수 있도록 한다.
(2) 공간오차모형(SEM)
SEM은 종속변수의 잔차에 존재하는 공간적 자기상관을 통제하기 위해 고안된 회귀모형이다(Ward and Gleditsch, 2008). OLS는 관측치 간 독립성을 전제로 하지만, 실제 공간자료에서는 지리적으로 인접한 지역 간에 오차항이 서로 연관될 가능성이 높다. 이러한 공간적 의존성을 고려하지 않을 경우, 회귀계수가 편향되고 표준오차가 과소 또는 과대 추정되어, 1종 오류와 같은 통계적 왜곡을 초래할 수 있다(김영호, 2008; Ward and Gleditsch, 2008).
이러한 문제를 해결하기 위해 SEM은 공간 가중행렬 𝑊과 공간 잔차계수 𝜆를 잔차식에 포함하여 오차항 내 공간적 자기상관을 모형화한다. SEM의 구조는 다음과 같이 구성된다(식 2).
여기서 u는 평균 0과 분산 𝜎2을 가지는 백색잡음이다. 이때 공간 가중행렬 𝑊는 지역 간 인접성을 수치화한 행렬이며, 𝜆는 공간 오차항 간 상호작용 강도를 나타내는 계수이다. 이 구조를 통해 SEM은 오차항에 내재된 공간적 자기상관을 제거하고, 그로 인한 회귀계수의 편의 및 검정 왜곡 문제를 완화할 수 있다.
(3) 고유벡터 공간필터링(ESF)
ESF는 공간적 회귀분석의 하나로 창안된 공간통계학적 모델링 방법론으로, 공간적 자기상관이 존재하는 데이터를 분석할 때, 공간 가중행렬로부터 도출된 고유벡터를 회귀식에 인공 변수로 포함시켜 잔차의 공간 의존성을 제거하는 공간통계 기법이다(이상일 등, 2017; Griffith, 2003; Tiefelsdorf and Griffith, 2007). ESF는 전통적인 선형회귀모형의 구조를 유지하면서도, 공간 패턴을 반영하는 고유벡터 행렬 𝐸를 추가적으로 포함하는 형태로 정식화된다(식 3).
여기서 𝑦는 종속변수 벡터, 𝑋는 독립변수 행렬, 𝐸는 선택된 고유벡터로 구성된 매트릭스, 𝛽는 독립변수에 대한 회귀계수 벡터, 𝛾는 고유벡터 매트릭스에 대한 회귀계수 벡터, 𝜂는 공간적 자기상관이 제거된 잔차이다(이상일 등, 2017). 이 모델은 잔차를 공간 구조를 반영하는 구성요소와 백색잡음으로 분해함으로써, 공간 의존성 문제를 효과적으로 해소하는 것을 목표로 한다(Tiefelsdorf and Griffith, 2007). ESF에서 사용되는 고유벡터는 공간 인접성 행렬의 특성값 분해를 통해 얻어지는 직교 기반의 인공 변수로, 미포착된 공간효과의 대리변수로 기능한다. 이들은 독립변수와 기하학적으로 직교하므로 회귀계수에 편향을 유발하지 않으며 고유벡터 간 상관이 없어 다중공선성 문제로부터도 자유롭다(Tiefelsdorf and Griffith, 2007; Thayn and Simanis, 2013).
본 연구에서는 Moran 고유벡터 기반 공간회귀를 구현한 R 패키지 spmoran을 활용하여 ESF 모형을 추정하였다(Murakami, 2017). 먼저 공간 가중행렬을 생성한 뒤, 해당 행렬로부터 Moran 계수가 큰 고유벡터들을 후보 집합으로 도출하였다. 이때 계산량과 과적합 가능성을 고려하여 후보 고유벡터 수는 상위 20개로 제한하였다. 이후 모형의 적합도를 가장 크게 개선하는 고유벡터를 전진 단계적 선택법(forward stepwise selection)으로 순차적으로 포함하였다. 분석 과정에서는 고유벡터와 설명변수 간 VIF가 일정 기준을 넘지 않도록 제한함으로써 다중공선성을 억제하였으며, 추정된 ESF 모형의 잔차에 대해 Global Moran’s I 검정을 실시하여 잔차의 공간적 자기상관이 충분히 제거되었는지 확인하였다.
4. 분석 결과
1) 평균 숙박일수의 공간적 분포 특성
우선 시・군・구별 평균 숙박일수의 공간 자기상관 검정을 통해 체류 패턴의 공간적 양상을 점검하였다. 분석은 평균 숙박일수(MSD)의 원자료를 기준으로 수행하였다. 단계구분도를 살펴보면(그림 3), 수도권 전반, 중부 내륙의 일부 축, 경남의 특정 권역에서 상대적으로 긴 체류가 분포하는 반면, 강원 전역, 전북 내륙, 경북 북부, 전남 다수 지역에서는 짧은 체류가 연속적으로 나타난다.
이러한 시각적 대비를 수치적으로 확인하기 위해 Queen 방식으로 공간 가중행렬을 구성하고 Global Moran’s I를 계산하였다. 분석 결과 Moran’s I 값은 0.377(z = 8.70, p < 0.001)로 나타났다. 이는 평균 숙박일수가 유사한 지역들 간에 통계적으로 유의미한 양의 공간 자기상관이 존재한다는 의미다.
이어서 보다 세밀한 공간 구조를 파악하기 위해 LISA 분석을 함께 수행하였다(그림 4). 수도권 대부분과 천안, 그리고 부산・울산・광주광역시의 일부 구는 HH(High–High) 군집으로 나타났다. 이는 수도권과 영・호남의 주요 광역시가 국내 체류형 관광의 핵심 축으로 작동하고 있음을 시사한다. 서울 도심부 일부는 통계적으로 유의한 클러스터에 포함되지 않았는데, 절대 수준의 체류 수요는 높지만 주변과의 상대적 격차나 내부 이질성 때문에 하나의 군집으로 뚜렷이 묶이지 않은 것으로 해석할 수 있다.
반대로 강원도, 경북 일부, 그리고 진안, 장수, 곡성, 남원, 함양, 거창 등 남부 내륙 시・군은 LL(Low–Low) 군집을 이뤘다. 평균 숙박일수가 낮은 지역이 낮은 지역끼리 모여 있는 구조로, 체류형 숙박 인프라가 부족하고 접근성이나 수요 기반도 약한 조건이 겹쳐 나타난 결과일 가능성이 크다.
원주, 태백, 영양, 광양 등은 HL(High–Low) 군집으로 분류되었다. 주변 지역들은 짧게 머무는 경향이 강하면서 해당 시・군만 상대적으로 체류가 길게 나타나는 형태인 거점형 체류 공간으로 이해할 수 있다. 반대로 인천광역시의 일부 시・군은 LH(Low–High) 군집에 속했다. 수도권의 고체류 권역에 둘러싸여 있음에도 그 지역 자체의 평균 숙박일수는 낮은 주변부 공간이라는 점이 드러난다.
이상의 결과는 평균 숙박일수의 공간 분포가 개별 지역만의 특성으로 설명되기보다 인접 지역과의 상호관계 속에서 형성됨을 보여주며, 체류형 관광을 이해할 때 권역적 맥락과 상호작용을 함께 고려해야 함을 보여준다.
2) 공간회귀모형 분석결과
(1) OLS 잔차의 공간 자기상관 진단
앞서 확인된 평균 숙박일수의 공간적 군집 특성이 단순한 시각적 경향을 넘어 통계적으로도 공간적 의존성을 내포하는지를 검토하기 위해 OLS를 적용한 후 잔차에 대한 Moran’s I를 산출하였다. 공간 가중행렬은 이전에 정의한 바와 같이 Queen 방식으로 구성하였으며, 유의성은 정규근사를 통해 평가하였다.
그 결과, OLS 잔차의 Moran’s I 값은 0.140(z = 3.347, p < 0.001)로 확인되었다(그림 5). 이는 잔차에 유의미한 양의 공간 자기상관이 존재함을 뜻함과 동시에 오차의 독립성 가정이 유지되지 않음을 시사하며, 숙박일수에 영향을 미치는 변수들의 영향력을 평가함에 있어 공간회귀모형의 적용 필요성을 뒷받침한다.
(2) 모형 간 성능지표 비교
앞서 OLS 잔차에 대한 Global Moran’s I 분석에서 단순 OLS만으로는 평균 숙박일수의 공간적 구조를 충분히 설명하기 어렵다는 점이 드러났다. 이에 SLM, SEM, ESF 모형을 추가로 추정하여 성능지표 비교를 진행하였다(표 3).
표 3.
모형 간 성능지표 비교
모형 적합도 지표인 AIC는 OLS(-757.914)보다 SLM(-766.355)과 SEM(-763.958)에서 모두 감소하였으며, ESF가 -779.938로 가장 낮아 네 모형 중 가장 우수한 적합도를 보였다. 수정된 결정계수 역시 OLS(0.580)에 비해 SLM(0.600)과 SEM(0.596)이 소폭 개선되었고, ESF는 0.636으로 가장 높은 값을 기록하였다. 관측값과 예측값 간 상관계수 제곱으로 산출한 pseudo R2 또한 ESF 모형이 체류 관광의 공간 구조를 가장 안정적으로 설명하는 것으로 확인되었다.
잔차의 공간 자기상관을 비교하면, OLS의 residual Moran’s I는 0.140(p < 0.001)으로 유의한 양의 공간 자기상관을 보이지만 SLM(0.021, p = 0.275)과 SEM(-0.002, p = 0.474)에서는 통계적으로 유의하지 않은 수준까지 감소하였다. ESF 모형의 residual Moran’s I는 0.002(p = 0.438)로 거의 0에 수렴하며 역시 유의하지 않아 잔차 수준의 공간 자기상관을 효과적으로 제거하는 모형임을 보여준다. 한편, ESF에서는 Moran 고유벡터 후보 20개 가운데 11개가 전진 단계적 선택 절차를 통해 회귀식에 포함되었으며, 이들 고유벡터는 평균 숙박일수의 중・대규모 공간 패턴을 흡수함으로써 이러한 필터링 효과를 구현하였다.
종합하면, SLM과 SEM은 OLS에 비해 모형 적합도와 잔차 구조를 일정 부분 개선하였으나 모든 성능지표를 종합적으로 고려할 때 ESF 모형이 평균 숙박일수의 공간 분포를 파악하는 데 가장 적합한 것으로 판단된다. 이에 본 연구의 주요 해석은 ESF 추정 결과를 중심으로 제시한다.
(3) 주요 변수별 해석
회귀분석 결과, 종속변수인 평균 숙박일수에 영향을 미치는 주요 공간적 요인은 전반적으로 유의한 방향성과 일관된 효과를 나타내는 것으로 나타났다. 해석은 ESF 추정치를 기준으로 제시하며 각 회귀모형의 회귀계수 및 표준오차는 표 4에 제시하였다.
표 4.
모형별 회귀계수 및 SE 비교
우선, 본 연구의 주요 관심 변수인 숙박 공급구조부터 살펴보면, 단위면적당 숙박 수용력을 나타내는 log(ACD)와 숙박 수용력 가운데 야영장이 차지하는 비중인 CSC가 모두 유의한 음의 계수로 추정되었다(log(ACD) 계수 = -0.022, p < 0.001; CSC 계수 = -0.117, p < 0.001). log(ACD)는 숙박 수용력 밀도가 1% 증가할 때 평균 숙박일수가 약 0.02% 감소함을 의미하며, CSC의 경우 야영장 비중이 0.1(10%p) 높아질 때 평균 숙박일수가 약 1.2% 감소하는 효과가 있다. 즉, 총 숙박 수용력의 밀도가 높을수록 평균 숙박일수가 감소하는 경향이 나타나며, 동일한 총 수용력 수준에서도 야영장의 비중이 커질수록 평균 숙박일수가 추가적으로 단축되는 경향이 확인된다. 이는 야영장이 체류형 관광 인프라로서 장기 체류를 견인하기보다는 자연환경을 배경으로 한 상대적으로 짧은 숙박에 주로 활용되고 있음을 시사한다.
다만, CSC는 야영장 수용력의 절대 규모가 아니라 전체 숙박 수용력 대비 야영장이 차지하는 구성 비율을 의미한다. 따라서 CSC의 증가는 야영장 수용력의 확대뿐 아니라 비야영 숙박시설 수용력의 상대적 정체 또는 축소, 혹은 양자의 동시 변화로부터도 발생할 수 있다. 예를 들어 CSC 상승이 야영장 수용력의 확대에서 비롯된 경우엔 숙박시설의 공급이 야영장 중심으로 재편되는 양상을 반영할 수 있으며, 이때 추정된 음의 관계는 야영장 중심 구성과 평균 숙박일수 단축이 동반되는 경향으로 해석될 수 있다. 반대로 CSC 상승이 비야영 숙박시설 수용력의 정체 또는 축소에 의해 발생한 경우 야영장 확충의 효과라기보다 상대적으로 체류형 숙박 공급 기반의 약화가 평균 숙박일수의 단축과 함께 나타나는 구조적 변화로 해석될 여지가 있다. 두 변화가 동시에 발생한 경우에는 복합적 재편이 반영되었을 가능성이 있으므로, 본 연구의 CSC 계수는 특정 공급요인의 단일한 인과효과로 단정하기보다 야영장 중심의 숙박공급 구성과 평균 숙박일수 간의 조건부 관계로 이해하는 것이 타당하다.
통제변수로 쓰인 자연・관광자원 관련 변수들의 결과는 다음과 같다. 산림률(FCR)은 ESF 기준 -0.056(p < 0.01)으로 추정되어 산림 비중이 높은 지역일수록 평균 숙박일수가 다소 짧아지는 경향이 나타났다. 이는 산림・녹지가 풍부한 지역이 일상 탈출과 경관 감상 등 당일・단기 방문에는 매력적이지만, 그 자체만으로 체류 관광을 유도하는 동력은 제한적일 수 있음을 보여준다. 지정 관광(단)지 수와 지역별 문화관광축제 개최 수를 뜻하는 log(DTS), log(FSC) 역시 각각 -0.036(p < 0.001), -0.019(p < 0.001)의 음의 계수로 추정되었다. 관광자원과 축제가 밀집한 지역일수록 관광객이 짧은 시간 안에 많은 장소와 프로그램을 소비하는 집약적・단기형 관광 패턴이 나타날 가능성이 크며, 자원과 이벤트의 양적 확대가 곧 체류일수의 증가로 이어지지는 않을 수 있음을 시사한다.
반면, 도시 여부(UA)는 ESF 모형에서 0.061(p < 0.001)로 유의한 양의 계수를 보였다. 이는 도시 지역이 비도시 지역에 비해 평균 숙박일수가 약 6%가량 길게 나타난다는 뜻으로, 교통망・상권・문화시설・서비스업 등의 기반 시설이 집적된 도시가 체류형 관광을 뒷받침하는 실질적 생활・서비스 인프라를 제공하고 있음을 보여준다. 자연・관광자원 관련 통제변수들이 전반적으로 평균 숙박일수와 음의 방향으로 추정되는 가운데, UA만이 예외적으로 체류 연장과 양의 관련성을 보였다는 점이 특징적이다. 다만 이러한 UA만의 양의 효과가 확인되더라도, 체류의 길이는 숙박시설 공급이 어떤 유형으로 구성되는지에 의해 추가로 조정될 수 있으므로 UA 해석과 함께 CSC 결과를 연결해 확인할 필요가 있다.
이 관점에서 보면, UA를 포함한 통제조건 하에서도 CSC가 음의 방향으로 유의하게 남는다는 결과는, 체류의 길이가 도시 인프라만으로 결정되는 것이 아니라 그 기반 위에서 숙박시설의 공급이 어떤 유형으로 구성되는지에 의해서도 함께 좌우될 수 있음을 보여준다. 다시 말해 도시적 기반이 존재하더라도 숙박공급이 야영장 중심으로 기울수록 평균 숙박일수가 짧게 관측되는 경향이 나타날 수 있으며, 이는 야영장 중심의 숙박공급 구성이 체류 연장으로 이어지는 경로를 제약할 수 있음을 시사한다.
한편, 고속철도 정차역 유무를 나타내는 HSR은 ESF에서 계수가 0.004로 추정되었으나 통계적으로 유의하진 않았다. 이는 고속철도 접근성이 장거리 이동비용을 낮추어 체류를 늘리는 효과와 당일 방문을 확대하는 효과를 동시에 갖고 있어 순효과가 상쇄되었을 가능성이 있다.
종합하면, 숙박 수용력의 밀도와 야영장 비중, 그리고 자연・관광자원 지표들은 오히려 평균 숙박일수를 단축시키는 방향으로 작용하는 반면, 도시 여부는 예외적으로 체류를 증가시키는 요인으로 나타났다. 이는 현재의 야영장 및 숙박 공급, 자연・관광자원 중심의 개발이 체류형 관광보다는 단기・고밀도 소비형 관광 구조를 강화하고 있음을 보여주며, 체류형 관광을 확대하기 위해서는 야영장 공급의 단순 확대를 넘어 도시적 서비스 기반과 체험 콘텐츠, 이동 동선 설계를 결합한 종합적 전략이 필요함을 시사한다.
5. 요약 및 결론
관광객의 체류 증가, 다시 말해 체류형 관광의 활성화는 지역경제 파급효과를 확대하는 핵심 과제로 인식되어 왔다(박상곤 등, 2010; 김송이・강성은, 2020; Alegre and Pou, 2006; Gokovali et al., 2007). 중앙정부와 지방자치단체 역시 「인구감소지역 지원 특별법」과 「제1차 인구감소지역 대응 기본계획」을 통해 체류 기반 확대와 생활인구 유입을 주요 전략으로 제시하고 있으며(관계부처 합동, 2023; 전효재 등, 2024), 최근 몇 년간 야영장업은 이러한 정책 기조와 민간 수요 증가가 결합되면서 전국적으로 빠르게 확산되었다(한국관광공사, 2024). 본 연구는 이러한 변화 속에서 야영장 공급 구조가 실제로 체류형 관광을 견인하는지 평가하고자 하였다. 특히 공간 자기상관이 내재된 평균 숙박일수 지표에 대해 이를 효과적으로 통제할 수 있는 ESF를 활용하여 분석을 수행하였다.
분석 결과 숙박 수용력의 규모와 야영장이 차지하는 비중이 높을수록 평균 숙박일수는 오히려 짧게 나타나는 경향을 확인할 수 있었다. 단위면적당 숙박 수용력이 커지거나 전체 수용력 중 야영장 비중이 높아질수록 장기 체류가 늘어나기보다는 짧은 체류와 높은 회전율이 특징인 관광 구조가 형성되는 것이다. 이는 야영장이 체류형 관광 인프라로서 기능하기보다, 단기 방문이나 주말・휴일 중심의 짧은 숙박에 더 많이 활용되고 있음을 시사한다.
자원・환경 중심 지표들 역시 일반적인 기대와 달리 평균 숙박일수와 음의 관계를 보였다. 산림・녹지, 지정 관광(단)지, 문화관광축제 등은 관광객을 유인하는 데에는 효과적일 수 있으나, 자원의 양적 축적이 곧 체류일수의 증가로 직결되지는 않는다는 점을 보여준다. 자원과 이벤트가 밀집한 지역일수록 오히려 짧은 시간 안에 다양한 콘텐츠를 소비하는 집약적・단기형 관광 패턴이 나타날 가능성이 크며, 단순히 관광자원이 존재한다는 사실만으로 관광객이 오랜 기간 머무는 것은 아니라는 점을 시사한다(Scotti et al., 2024).
반면 도시성 지표는 평균 숙박일수와 유의한 양의 관계가 확인되었다. 교통망, 상권, 문화시설, 야간 활동과 체험 콘텐츠 등 ‘머물기 좋은 환경’을 구성하는 도시적 서비스 기반이 충분히 갖춰진 지역일수록 체류가 길어지는 경향이 나타난 것이다. 주목할 점은 도시성이 높을수록 평균 숙박일수가 늘어나는 반면, 야영장 중심의 숙박 공급 구조는 이를 단축시키는 방향으로 작용한다는 점이다. 실제로 야영장은 서울과 인접한 경기 가평・포천・연천 등 수도권 북부와 대도시 인근에 집중되어 있어, 체류형 관광을 촉진하는 역할보다는 근거리 방문객의 단기 여가와 당일 수요를 흡수하는 시설로 기능했을 가능성이 크다.
이러한 연구 결과는 몇 가지 중요한 함의를 제공한다. 우선, 야영장의 단순 확대가 곧 체류형 관광의 활성화로 이어진다는 기존 정책적 가정(관계부처 합동, 2023; 문화체육관광부, 2024; 전효재 등, 2024)을 재고할 필요성을 제기한다. 특히 야영장 비중(CSC)이 평균 숙박일수와 유의한 음의 관계를 보인다는 결과는 야영장 확대만으로 체류형 관광이 자동적으로 실현된다는 가정을 비판적으로 재검토할 필요가 있다. 둘째, 방법론적으로 본 연구는 국내 관광지리학 분야에 ESF 기법을 도입하여 잔차의 공간 자기상관을 효과적으로 통제하면서도 해석 가능한 회귀계수를 제공하는 유용한 도구임을 실증적으로 확인했다는 점에서 의미가 있다. 이는 향후 관광객 수, 관광 지출액 등 공간적으로 자기상관을 지닌 지표를 분석할 때 중요한 방법론적 대안이 될 수 있다.
다만 본 연구는 2024년 단일 시점의 자료만을 활용했다는 점에서 시간적 변화나 정책 효과를 추적하는 데는 한계가 있다. 또한, 지역별 숙박시설의 질적 차이나 관광객의 개별적 방문 목적 등 미시적 요인들이 데이터에 충분히 반영되지 못한 점 역시 한계로 남는다. 향후 연구에서는 패널 데이터를 활용하거나 정책 변화 전후를 비교하는 준실험적 방법을 통해 보다 심층적인 분석이 이루어져야 할 것이다. 숙박시설의 품질이나 체험 콘텐츠 등 정성적 요소를 반영한 세부 데이터도 함께 고려된다면 더 풍부한 통찰을 제공할 수 있을 것으로 기대된다. 아울러, 본 연구에서 사용한 지정 관광(단)지 수, 산림률 등의 지표는 각각 관광자원, 자연환경을 대변하는 대리 지표에 해당하므로, 실제 현장에서 체감되는 경관의 질, 지역별 비공식적인 핫플레이스나 혼잡도 등은 충분히 포착하지 못한다는 점도 한계로 남는다. 이러한 점은 향후 보다 다양한 공간 및 환경 지표와 개별 야영장 수준의 미시 자료를 결합하여 보완할 필요가 있다.
궁극적으로 체류형 관광의 성패는 시설의 양이 아니라 공간이 제공하는 경험의 질에 달려 있다. 관광객이 오래 머물고 싶은 환경은 단순한 시설 공급이 아니라, 편의성, 경험의 깊이, 그리고 다양한 자원 간의 연계에서 비롯된다. 본 연구는 야영장이라는 개별 시설에 집중하는 접근을 넘어 체류 관광을 가능하게 하는 복합적이고 통합적인 조건의 중요성을 강조한다는 점에서 의미를 갖는다.







