1. 서론
2. 연구자료와 방법
1) 연구자료
2) 연구방법
3. 장마 시기 변동
1) 장마 시작일 변동
2) 장마 시작일 남북차이 변동
3) 장마 종료일 변동
4. 장마 시기와 대기지수의 관계
1) 장마 시작일과 대기지수
2) 장마 시작일 남북차이와 대기지수
3) 장마 종료일과 대기지수
5. 토의
6. 요약 및 결론
1. 서론
한국에서 장마기 강수량은 연평균 강수량의 약 1/3을 차지한다. 장마기 강수는 여름철 자연재해의 주요 원인이 되어 많은 강수로 인한 피해가 커질 수 있으며, 농업을 비롯한 물 관련 산업에 미치는 영향도 크다. 특히, 장마기 첫 강수는 대기 질 개선, 수자원 확보, 가뭄 경감, 산불 예방 등의 주요 효과가 있으며, 2015, 2019, 2020년을 사례로 평가한 경제 가치는 약 500억~1500억이다(서경환・최진호, 2022). 이러한 장마의 영향은 발생하는 시기에 따라서 달라질 수 있다. 일반적으로 장마 시기는 6월 중순~7월 중순이지만, 평년보다 이르거나 늦어지면 건기와 우기의 기간 변동이 커지면서 피해가 발생할 수 있다. 6월 상순 강수일수는 제주시의 감귤 생산량에 긍정적인 영향을 미치지만, 6월 중순과 하순 강수일수는 부정적 영향을 미치므로(강민철・이승호, 2019) 장마 시작시기가 감귤 생산성에 영향을 미칠 수 있다. 또한, 한국에서는 대체로 장마가 끝나면서 휴가철이 시작되는데, 장마 시작일과 종료일, 일 강수량이 유통업체의 매출액과 방문자 수 등 경제적인 부분에 영향을 미치므로(이승욱 등, 2014), 장마 시기가 관광과 관련된 다양한 업체에도 타격을 줄 수 있다. 이렇듯 장마기의 강수는 주민 생활에 미치는 영향이 적지 않으며 장마 시기 또한 중요하다.
최근 장마의 변동성이 커지면서 예측이 점차 어려워지고 있어서, 이로 인한 피해가 커질 수 있다. 기상청에 의하면, 2014-2019년에는 장마기 강수량이 적어 ‘마른장마’가 이어진 데 반하여, 2020년은 장마기 강수량이 1973년 이후 세 번째로 많은 해였다. 이때 중부지방은 장마기 최다강수량을 기록하였고, 장마 기간도 54일로 역대 최장이었다. 행정안전부(2021)에 따르면, 이해에는 장마기 집중호우로 전국에 주택과 농경지 파손, 침수 등과 더불어 산사태가 발생하여 39명의 인명피해와 1조원 이상의 재산 피해가 발생하였다. 특히 전라남도 구례군은 군 전체가 물에 잠기기도 하였다. 2021년은 2020년과 달리 중부지방의 장마가 평년보다 늦게 시작되고 일찍 종료되어 1973년 이후 세 번째로 장마 기간이 짧았다. 짧아진 장마로 평년보다 일찍 시작된 폭염이 지속되면서 온열질환자가 1,376명 발생하고 20명이 사망하였다.
선행연구에 의하면 장마기 강수량이 점차 증가하고 있다. 우성호 등(2017)은 1992-2002년 기간보다 2003-2013년 기간 장마기 강수일 비율이 증가하고 강수 강도가 커지면서 강수량이 증가하였음을 확인하였고, 문자연 등(2020)은 1981-2010년에 비하여 1991-2020년 중부지방 장마기 강수량이 증가하였음을 밝혔다. 또한, Lee et al.(2017)은 1970년대 중반의 전구 기후변화와 1990년대 중반 동아시아 몬순의 변화와 관련하여 장마 특성도 변화하였음을 확인하였다. 뿐만 아니라 최근 국립기상과학원(2018) 분석 결과에 의하면, 1912-2017년 기간 동안 강한 강수는 증가하고 약한 강수는 감소하여 강수의 양극화가 뚜렷해지고 있다. 이처럼 최근 장마기 강수량 패턴이 바뀌고 변동성이 더욱 커지고 있어서 재해 가능성 역시 커질 수 있다. 더욱이 장마로 인한 극한강수의 출현빈도가 증가하였을 뿐만 아니라 강도가 커지고 있어서 이에 대한 대비와 연구가 필요하다.
장마는 성질이 다른 기단이 만나 전선을 형성하여 발생하며, 이와 같은 기단의 움직임은 대기순환과 관련되어 있다. 그러므로 장마 특성 변화를 이해하기 위해서는 장마와 대기지수의 관련성을 파악할 필요가 있으며, 이에 대한 연구가 비교적 활발하다. 김재훈・이태영(2012)에 따르면, 1993/1994년 이후 장마 기간에 몽골지역 고기압이 강화되면서 장마전선의 남북진동이 약화되었고, 그로 인해 극한강수가 증가하였다. Kim et al.(2017)은 봄철 유라시아대륙 적설면적의 아노말리가 동-서 쌍극자 양상을 보이며 장마 강수량과 유의한 상관관계가 있다고 하였고, Lee et al.(2017)은 서태평양 아열대고기압과 장마 강수량의 상관관계가 1970년대 중반 이후 강화되었다고 하였다. 이현욱 등(2018)은 북극진동이 장마기 강수량과 강수일수에 영향을 미치며, 2010년 이후 그 영향이 증가하고 있다고 하였다. 이처럼 장마기 강수량과 대기지수의 관계를 분석한 연구는 다양하지만, 장마 시기와 대기지수 관계를 분석한 연구는 부족하다.
또한, 일부 장마 관련 연구에서는 한반도의 평균값을 장마 시기로 사용하거나(우성호 등, 2017; Choi et al., 2021) 6-7월을 장마 기간으로 정하여(문자연 등, 2011; 오지은・이은걸, 2020) 분석하였다. 하지만 장마는 장마전선의 위치가 중요하므로 모든 지역의 장마 시기를 하나의 값으로 분석할 경우, 결과 해석에서 의미가 왜곡될 수 있다. 즉, 일반적으로 중부지역보다 제주에서 장마가 먼저 시작되는 것을 고려한다면, 제주에서는 장마가 한국 평균 시작일보다 먼저 시작되고, 중부지역에서는 늦게 시작될 가능성이 높다. 더욱이 장마 시기를 하나의 값으로 사용할 경우, 지역별 차이를 반영하지 못하여 장마전선의 이동 특성을 파악하기 어렵다. 그러므로 지역별 장마 시기 값을 이용하여 한국 장마 특성을 파악하는 것이 적절하다고 할 수 있다.
따라서 본 연구에서는 지역별 장마 자료를 이용하여 한국 장마 시기를 정의하고, 이를 바탕으로 장마 시작일과 종료일, 장마 시작일 남북차이의 변동 특성과 대기지수의 관계를 파악하고자 하였다.
2. 연구자료와 방법
1) 연구자료
본 연구에서 사용한 자료는 장마 시기와 6월, 7월 일 강수량 자료, 대기지수 등이다. ‘장마’는 늦장마를 포함하지 않은 1차 우기만을 의미한다. 장마 시기는 기상청에서 제공하는 1961-1972년 기간의 관측지점별 자료와 1973-2022년 기간의 지역별 자료이다(https://data.kma.go.kr/climate/rainySeason/selectRainySeasonList.do?pgmNo=120). 기상청은 중부지역 장마 시기, 남부지역 장마 시기, 제주지역 장마 시기 자료를 제공하고 있으며, 각 지역별 관측 지점은 그림 1에 제시한 것과 같다. 중부지역은 서울과 인천, 경기, 강원, 충남, 충북에 분포하는 26개 지점을 포함하며, 남부지역은 경상, 전라의 36개 지점, 제주지역은 4개 지점을 포함하여 총 62개 지점이 이 연구의 분석 대상이다. 장마 시기의 변동 분석에는 자료의 일관성을 유지하기 위하여 1973-2022년 기간으로 한정하였다. 다만, 장마 시작일을 지도화하기 위해서는 장기간의 지점별 자료가 필요하므로 1961-2020년 관측지점별 일강수량 자료를 사용하였다.
분석에 사용된 대기지수는 유라시아대륙과 태평양에 발달하는 기압 분포와 관련된 북태평양고기압지수, Niño3.4지수, 북극진동지수, 북서태평양아열대고기압지수, 오호츠크해고기압지수, 시베리아고기압지수, 유라시아대륙 적설면적 값이다. 한대전선대 이동으로 발생하는 장마는 유라시아대륙과 태평양에 발달하는 기압계의 영향을 받는다. 또한, 고위도와 중위도의 관련성을 파악하기 위하여 북극진동지수도 함께 확인하였다. 북극진동은 공기를 정체시켜 한대전선대 이동을 방해하는 저지(blocking) 현상과 관련이 있다. 대기지수는 장마 시기 자료보다 1년 더 이른 1972년 9월부터 2022년 5월까지 월별 자료이다. 연구기간 동안 모든 장마가 6-8월에 발생하였으므로 각 연도별로 전년도 장마가 끝난 9월부터 올해 장마 직전인 5월까지 대기지수 자료를 분석에 사용하였다. 다만, 오호츠크해 고기압은 기단 발원지인 오호츠크해 해빙과 동시베리아 적설이 녹으면서 발달하므로(Sato and Takahashi, 2004; Inoue et al., 2005) 해빙과 적설이 녹은 이후인 3-5월 자료를 이용하였다.
북태평양고기압지수는 미국 해양대기청(National Oceanic and Atmospheric Administration, NOAA)에서 제공하는 30°-65°N, 160°E-140°W 구역 상에 면적 가중치를 부여한 해면기압값(https://psl.noaa.gov/data/climateindices/list/)이다. Niño3.4 지수는 5N°-5°S, 120°-170°W 구역 해수면온도 값(https://www.cpc.ncep.noaa.gov/data/indices/ersst5.nino.mth.91-20.ascii)이다. 북극진동지수는 20-90°N의 1979-2000년 기준 월평균 해면 기압 편차를 주성분 분석 첫 번째 모드로 추출한 패턴에서 얻은 값(https://www.ncei.noaa.gov/access/monitoring/ao/)을 사용하였다. 북서태평양아열대고기압지수와 오호츠크해고기압지수, 시베리아고기압지수는 NCEP/NCAR (the National Centers for Environmental Prediction/the National Center for Atmospheric Research)의 재분석 자료(Kalnay et al., 1996)를 사용하였다. NCEP/NCAR 재분석자료는 2.5°×2.5° 격자로 구성되었다. 북서태평양아열대고기압지수는 여름철 평균 850hPa 지위고도 편차에 대하여 북서태평양 일부 지역(115°-150°E, 15°-25°N)을 평균한 값(Wang et al., 2012)이며, 오호츠크해고기압지수는 오호츠크해고기압 중심 발달 빈도가 높은 52.5°-57.5°N, 145°-155°E 구역의 해면기압값(조리나・이승호, 2011)이고, 시베리아고기압지수는 1,028hPa보다 큰 고기압 중심 지역을 포함한 70°-120°E, 40°-60°N 구역 해면기압 편차를 평균한 값(Gong and Ho, 2002)이다. 유라시아대륙 적설면적은 RUTGERS 대학의 Global Snow Lab에서 Northern Hemisphere Snow Cover Extent Climate Data Record (NH SCE CDR) v01r01를 이용하여 계산한 값(http://climate.rutgers.edu/snowcover/table_area.php?ui_set=1&ui_sort=0)을 사용하였다.
2) 연구방법
장마 시기는 기상청에서 제공한 1973-2022년 지역별 장마 시기 자료를 이용하여 정하였다. 다만, 장마 시작일과 종료일 정의는 다양하며, 공식적으로 정의되지 않은 값이므로 자료의 신뢰도를 높이기 위하여 검증 과정을 더 거쳤다. 이를 위해 같은 기간 매일 09시 지상일기도를 참조하여 장마기 날씨 상황을 파악하였다. 이 연구에서 장마 시기는 장마 시작일과 장마 시작일 남북차이, 종료일을 의미한다. 장마는 남쪽에서 시작하여 북상하므로 일반적으로 제주지역에서 가장 일찍 시작하고 중부지역에서 가장 늦게 끝난다. 그러므로 한국의 장마 시작일은 제주지역 장마 시작일, 장마 종료일은 중부지역 장마 종료일로 정하였다. 제주지역에서 장마가 시작되었다는 것은 장마전선이 한국에 영향을 미치기 시작했음을 의미하며, 중부지역에서 장마가 종료되었다는 것은 한국 전역이 장마전선 영향권에서 벗어났다는 것을 의미한다. 또한, 제주와 중부지역 장마 시작일 차이를 장마 시작일 남북차이로 정의하였다. 제주와 중부지역 장마 시작일 차이가 작으면 장마 시작일 남북차이가 작고, 제주와 중부지역 장마 시작일 차이가 크면 장마 시작일 남북차이가 크다는 의미이다.
장마 시기의 변동을 파악하기 위하여 장마 시작일과 장마 시작일 남북차이, 종료일을 시계열로 나타내었다. 이때, 평균에서 표준편차의 2배 이상 차이가 있는 경우는 그 원인을 파악하고자 하였다. 또한, 변동추세를 파악하기 위하여 1973-2022년 장마 시기의 30년 기간별 표준편차를 구하였다. 30년을 평균한 값을 기후 평년값으로 사용하고 있으므로 본 연구에서도 장기간 평년값의 추세를 보기 위하여 30년 기간별 값을 구하였다. 예를 들어, 첫 번째 값은 1973-2002년 기간 표준편차, 두 번째는 1974-2003년, 세 번째는 1975-2004년이며, 같은 방식으로 마지막 표준편차는 1993-2022년 기간 값을 이용하여 총 21개 값을 구하였다.
장마 시기의 변동이 유의하면서 일정한 추세가 있는 경우 변화도 파악하였다. 이를 위하여 분석 기간을 전반기(1961-1990년)와 후반기(1991-2020년)로 구분하고 시기별 장마 시작일을 지도화하였다. 장마 시작일 분포도를 작성하기 위해서는 관측지점별 장마 시작일 산출이 필요하다. 1973-2020년 관측지점별 장마 시작일은 기상청에서 해당 지역 장마 시작일이라고 정의한 시기 이후에 연속 강수일 중 첫 강수일로 정의하였다. 1973년부터는 관측지점 수가 62개로 크게 증가하였지만, 두 시기 관측지점 수가 다르면 분석 결과가 왜곡될 수 있으므로 등치선 작성은 1961년부터 관측기록을 보유하고 있는 14개 지점을 대상으로 하였다.1)다만, 관측지점 수가 적기 때문에 보다 많은 62개 지점 자료가 있는 1973-1990년과 1991-2020년의 장마 시작일도 비교하였다. 등치선은 Arc GIS 프로그램의 topo to raster 방법을 사용하여 얻은 결과를 바탕으로 작성하였다.
장마 시기와 대기지수 간의 관계를 파악하기 위하여 장마 시작일, 장마 시작일 남북차이, 장마 종료일과 앞에 제시한 7개 대기지수를 이용하여 pearson 상관분석을 시행하였다. 이 연구에서는 장마와 대기지수의 장기적인 관계를 파악하고자 하였으므로 해에 따른 과도한 변동을 완화하기 위해서 7년 이동평균 값을 사용하였다. 이때, 오호츠크해 고기압은 3-5월, 이외의 대기지수는 전년도 9월부터 해당연도 5월까지 월별로 구성되었다. 그러므로 상관계수(r) 값은 총 171개2)가 산출되었으며, 이를 표로 정리하였다. 이때, 각 대기지수의 월별 값과 장마 시기 간에 통계적으로 유의한 상관관계가 다수 있지만, 유의수준이 낮으면서 통계값이 높은 사례를 찾기 위하여 유의수준 α=0.01에서 유의하고 상관계수(r) 값이 0.5 이상인 경우를 채택하였다. 다만, 대기지수에 따라 장마 시기와 상관계수 0.5 이상인 달이 없는 경우 그 값이 가장 높은 달을 채택하였다. 두 변수 사이에 통계적으로 유의한(유의수준 α=0.01) 상관관계를 보이는 달 중 상관계수가 가장 높은 달이나 그달과 연속적으로 상관계수(r)가 0.5 이상인 달을 평균한 대기지수 값을 독립변수로 하여 장마 시기와의 관계를 산포도로 나타내었다.
독립변수로 채택한 대기지수와 장마 시작일, 장마 시작일 남북차이, 장마 종료일을 각각 종속변수로 하여 다변량회귀분석을 시행하였다. 또한, 회귀분석을 시행하기에 앞서 등분산성과 다중공선성을 확인하였다. 등분산성은 독립변수에 표준화 예측값, 종속변수에 표준화 잔차를 넣은 잔차도와 Breusch-Pagan 검정을 통해 확인하였다. 대기지수는 연속적인 흐름이 있으므로 대기지수의 월별 값은 자기상관이 있을 수 있다. 이러한 이유로 대기지수별 여러 달 값을 각각 독립변수로 선택하여 회귀분석하면 다중공선성 문제가 발생할 수 있다. 따라서 대기지수별 하나의 값만을 사용하여 회귀분석하였으며, 분산팽창계수(VIF) 값을 통해 독립변수들의 다중공선성을 확인하였다. 회귀분석은 단계선택 방법을 이용하여 최적 관계식을 구하였다.
3. 장마 시기 변동
1) 장마 시작일 변동
습윤한 해양기단이 확장하면서 건조한 대륙기단과 만나 형성되는 장마전선의 북상으로 한반도에 장마가 시작된다. 그림 2는 1973-2022년 장마 시작일을 시계열로 나타낸 것으로 연구기간 내 장마 시작일은 통계적으로 유의한 변화가 없다. 그림에서 실선은 1973-2022년 평균 장마 시작일, 점선은 평균에서 표준편차 2배 차이를 나타내는 선이다. 연구기간의 평균 장마 시작일은 약 6월 19일이고, 표준편차는 약 4.8일이다. 50년 기간 중 48개년은 장마가 6월에 시작되었으며, 2011년과 2020년에는 6월 10일에 시작되어 연구기간 중 가장 이른 장마였다. 반면, 1982년은 7월 5일, 2021년은 7월 3일로 평년보다 장마가 늦게 시작되었을 뿐만 아니라 평균 시작일에서 표준편차 2배 차이를 벗어났다. 기상청(1982, 2021)에 따르면 1982년은 오호츠크해 고기압에 비해 북태평양 고기압이 발달하지 못하여 알류샨 열도와 오호츠크해 부근에 형성된 기압계 지체가 지속되었다. 이에 따라 장마전선이 한반도로 북상하지 못하면서 장마 시작이 늦어졌다. 2021년은 6월 중순 후반부터 동시베리아 부근에 온난한 기단이 정체하면서 동서 흐름이 원활하지 못하여 장마가 늦어졌다.
장마 시작일 변동추세를 파악하기 위하여 1973-2022년의 30년 기간별 표준편차를 구하였지만, 일정한 추세가 나타나지 않아 그림을 제시하지 않았다.
2) 장마 시작일 남북차이 변동
한반도는 남, 북으로 길지만, 장마전선은 동, 서로 발달하므로 전선 위치에 따라서 장마 영향을 받는 지역이 다를 수 있다. 장마전선이 한 지역에 정체하거나 빠르게 북상하면 지역별로 장마 영향이 다르다. 따라서 장마 특징을 이해하기 위해서 지역별 장마 영향의 차이를 유발하는 장마 시작일 남북차이를 파악하는 것도 중요하다.
이 연구에서는 중부와 제주지역의 장마 시작일 차이를 장마 시작일 남북차이로 정의하였다. 그림 3은 1973-2022년 중부와 제주지역의 시작일 차이를 시계열로 나타낸 것이다. 중부보다 제주지역에서 장마가 먼저 시작된 해는 회색 막대, 제주보다 중부지역에서 장마가 먼저 시작된 해는 빗금 막대그래프로 표시하였다. 두 지역의 시작일 차이는 유의한 변화가 없다. 연구기간인 1973-2022년 중부와 제주지역의 장마 시작일 차이는 평균 약 4.9일, 표준편차 약 4.4일이다. 즉, 연구기간 평균 장마 시작일 남북차이는 약 4.9일임을 의미한다. 이 기간 중, 1973년, 1980년, 1983년, 2007년, 2019년, 2021년은 장마전선이 빠르게 북상하여 제주와 중부지역에서 같은 날 장마가 시작되었다. 반면, 1991년과 2014년, 2020년은 제주와 중부지역 장마 시작일 차이가 커서 각각 14일, 15일, 14일로 평균과 표준편차 2배 이상 차이가 있다. 1991년은 한반도 북동쪽에 고기압이 정체하면서 장마전선 북상을 지연시켰을 것으로 판단한다. 기상청(2014, 2020)에 의하면 2020년은 북태평양고기압이 약하게 발달하여 장마전선이 북쪽으로 확장하지 못하였다. 장마 시작일 남북차이가 가장 컸던 2014년에는 6월 중순부터 바이칼호 동쪽에 저지고기압(blocking high)이 발달하여 대기가 정체하면서 장마전선이 북상하지 못하였다. 또한, 일반적으로 제주가 중부지역보다 장마가 먼저 시작되는 것과 달리 1981년과 2013년은 중부지역에서 제주보다 장마가 각각 2일, 1일 먼저 시작되었다. 그러나 평균보다 표준편차 2배 이상 작은 값은 없었다.
장마 시작일 남북차이의 변동추세를 파악하기 위하여 1973-2022년의 30년 기간별 표준편차를 구하였다. 그림 4는 30년 기간별 표준편차를 나타낸 것이다. 그림 4에서 볼 수 있듯이 장마 시작일 남북차이의 30년 기간별 표준편차는 점차 커지는 경향으로 회귀계수는 0.028이며, 유의수준 α=0.01에서 유의하다. 이 값의 수정된 결정계수(r2)는 0.71이다. 즉, 장마 시작일 남북차이의 변동이 점차 커지고 있음을 의미한다. 이러한 장마 시작일 남북차이의 변동 증가는 장마 시작일 남북차이가 평균보다 표준편차 2배 이상 큰 값이 최근에 나타나는 것과 관련이 있을 것으로 생각한다. 이에 따라 시계열 분석 결과 장마 시작일 남북차이의 증가 추세가 유의하지는 않았지만, 시기별 차이는 나타날 것으로 생각하여 장마 시작일 남북차이의 시기별 변화를 확인하였다.
장마 시작일 남북차이 변화를 가시적으로 보여주기 위하여 연구기간을 전반기(1961-1990년)와 후반기(1991-2020년)로 구분하고, 각 시기별 평균 장마 시작일을 지도화하여 한국의 장마 시작일 경향을 파악하였다. 그림 5에서 볼 수 있듯이 장마가 전반기에는 6월 19일과 24일 사이에 시작되었고, 후반기에는 6월 19일과 27일 사이에 시작되어 장마 시작일 남북차이가 더 커졌다. 특히, 제주와 남부지역의 장마 시작일 차이는 후반기에 더 커졌다. 그림 5에서와 같이 제주지역 장마 시작일은 일부 지역이 6월 20일에서 19일로 전반기보다 후반기에 약 하루 일러지거나 똑같았지만, 남부지역에서는 6월 21일에서 23일로 후반기에 약 2일 늦어졌다. 이에 따라 제주와 남부지역의 장마 시작일 차이가 전반기 1 또는 2일에서 후반기 4일로 커졌다. 즉, 제주도와 한반도 사이에서 장마전선이 느리게 북상하여 제주와 남부지역의 장마 시작일 차이가 커졌다. 한반도 내에서도 전반기보다 후반기에 더 느리게 북상하였다. 장마가 남해안에 시작되고 경기와 강원 북부까지 이르는 기간이 전반기에는 약 3일(6월 21-24일) 소요되었지만, 후반기에는 약 4일(6월 23-27일) 소요되어 1일 정도 늘었다.
제주와 남부지역의 장마 시작일 차이가 커졌다는 결과는 62개 지점 모두 자료가 있는 1973년부터 분석하여 1973-1990년, 1991-2020년 두 기간을 비교하였을 때도 같았다. 1973-1990년에는 장마가 6월 20일과 26일 사이에 시작되어 1961-1990년보다는 장마 시작일 남북차이가 크지만, 여전히 후반기보다는 작다. 또한, 제주 지역은 1973-1990년 장마 시작일이 약 6월 20일로 1961-1990년보다 같거나 하루 느렸지만, 남부지역은 약 6월 21일로 동일하여 여전히 후반기보다 제주에서 남부지역으로 장마전선이 북상하는 속도가 빨랐다. 즉, 과거보다 장마 시작일 남북차이가 커졌다는 것을 알 수 있었다.
3) 장마 종료일 변동
장마전선이 한반도에 상륙하고 더욱 북상하여 장마가 끝나면 북태평양고기압이 한반도 전역을 덮으면서 여름이 시작된다. 그림 6은 연구기간의 장마 종료일을 시계열로 나타낸 것으로 장마 종료일은 유의한 변화가 없다. 연구기간 평균 장마 종료일은 7월 24일이다. 이 기간 장마 종료일의 표준편차는 약 8.0일로 장마 시작일보다 두 배 가까이 더 크다. 즉, 장마 종료 시기가 불안정하다는 것을 의미한다. 분석 기간 50년 중 44번의 장마가 7월에 종료되었지만, 1973년은 6월에 종료되었고, 1987년, 1991년, 2001년, 2013년, 2020년에는 각각 8월에 종료되었다. 특히, 1973년과 1987년, 2020년의 장마 종료일은 평균 장마 종료일보다 표준편차 2배 이상 빠르거나 늦어졌다. 기상청(1973, 1987, 2020)에 따르면 1973년에는 북태평양 고기압이 강하게 발달하면서 장마전선이 빠르게 소멸하였다. 반면, 1987년에는 장마전선을 형성하는 북태평양고기압과 오호츠크해고기압 강도가 예년에 비해 약하여 장마전선이 남하와 북상을 반복하면서 장마가 늦게 이어졌다. 2020년은 연구기간 중 장마가 가장 늦게 끝난 해이다. 이해에도 1987년과 같이 북태평양고기압 강도가 약하여 장마전선이 북상하지 못하면서 8월 16일까지 장마가 이어졌다.
장마 종료일 변동추세를 파악하기 위하여 1973-2022년의 30년 기간별 표준편차를 구하였으나 추세가 통계적으로 유의하지 않아 그림을 제시하지 않았다.
4. 장마 시기와 대기지수의 관계
1) 장마 시작일과 대기지수
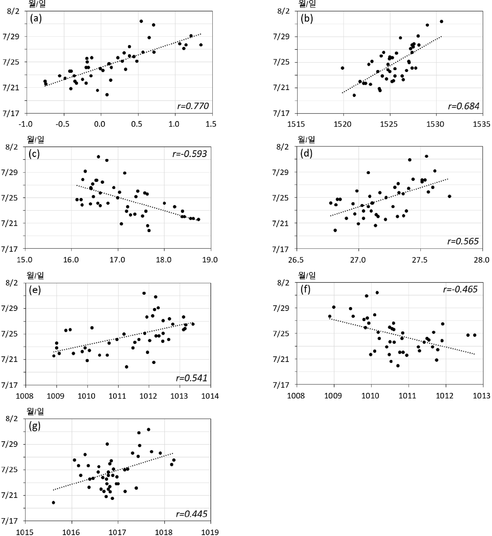
장마 시작일에 영향을 미치는 요인을 파악하기 위하여 유라시아대륙과 태평양 기압 분포와 관련된 7개의 대기지수와 장마 시작일 간의 상관관계를 분석하였다. 표 1에서 볼 수 있듯이 장마 시작일과 오호츠크해고기압지수는 5월 평균값, 북태평양고기압지수는 전년도 9월 평균값, 북극진동지수와 북서태평양아열대고기압지수는 각 전년도 11월 평균값과 상관계수(r) 값이 가장 컸다. 또한, 시베리아고기압지수는 전년도 9-10월, Niño3.4지수는 상관계수가 가장 큰 전년도 9월부터 해당연도 3월까지 각 달 평균값이 연속적으로 장마 시작일과 통계적으로 유의한 관계이다. 그러나 전년도 10월 시베리아고기압지수와 전년도 11월 Niño3.4지수는 장마 시작일과의 상관계수(r)가 0.5 이하이므로 시베리아고기압지수의 전년도 9월, Niño3.4지수의 전년도 9-10월 평균값과 장마 시작일의 상관관계를 그림 7에 나타내었다. 유라시아대륙 적설면적은 장마 시작일과의 상관관계가 통계적으로 유의하지 않다.
표 1.
장마 시작일과 월별 대기지수의 상관계수
|
전년도 9월 |
전년도 10월 |
전년도 11월 |
전년도 12월 |
해당연도 1월 |
해당연도 2월 |
해당연도 3월 |
해당연도 4월 |
해당연도 5월 | |
| 북태평양 고기압지수 | .626** | .100 | -.259 | -.420** | -.128 | .056 | -.103 | .010 | -.012 |
| Niño3.4 지수 | .704** | .607** | .470** | .488** | .464** | .510** | .524** | .361* | .272 |
| 북극진동 지수 | .235 | .219 | -.410** | -.272 | .310* | .053 | .185 | -.040 | .276 |
| 북서태평양 아열대고기압 지수 | .488** | -.035 | .544** | .329* | .402** | .401** | .172 | -.175 | .534** |
| 오호츠크해 고기압지수 | - | - | - | - | - | - | .191 | .030 | -.461** |
| 시베리아 고기압지수 | .577** | .394** | .104 | .104 | .399** | -.218 | .157 | .119 | .399** |
| 유라시아대륙 적설면적 | -.260 | -.084 | .088 | -.038 | -.099 | -.237 | -.096 | .012 | .020 |
그림 7은 장마 시작일과 대기지수 간에 유의수준 α=0.01에서 유의한 상관관계가 있으면서, 각 대기지수별로 상관관계가 가장 높은 달 또는 상관관계가 가장 높은 달과 연속적으로 상관계수가 0.5 이상인 달들의 대기지수를 평균한 값과 장마 시작일 간 관계를 나타낸 것이다. 그림 7에서 Niño3.4지수는 전년도 9-10월 평균값과 장마 시작일 간의 관계를 제시하였고, 그 외는 각 지수별로 장마 시작일과 상관관계가 가장 높은 달의 관계를 제시하였다.
장마 시작일은 그림 7에서 볼 수 있듯이 7개 대기지수 중 Niño3.4지수의 전년도 9-10월 평균값과 상관계수(r)가 가장 크다. 장마 시작일은 전년도 9-10월 평균 Niño3.4지수와 전년도 9월 평균 북태평양고기압지수, 전년도 9월 평균 시베리아 고기압지수, 전년도 11월 평균 북서태평양아열대고기압지수와 양(+)의 관계이며, 5월 평균 오호츠크해고기압지수, 전년도 11월 평균 북극진동지수와는 음(-)의 관계이다. 즉, 9-10월 평균 Niño3.4지수와 9월 북태평양고기압지수, 9월 시베리아고기압지수, 11월 북서태평양아열대고기압지수가 양의 값으로 클 때 각각 다음 해 장마 시작이 늦고, 해당연도 5월 평균 오호츠크해고기압지수와 전년도 11월 평균 북극진동지수가 양의 값으로 클 때 각각 장마가 일찍 시작된다고 할 수 있다.
장마 시작일과 상관관계가 높은 대기지수 중 통계적으로 유의하게 영향을 미치는 대기지수를 파악하고자 하였다. 그림 7에 제시한 대기지수와 장마 시작일을 각각 독립변수와 종속변수로 하여 다변량 회귀분석을 시행하였고, 최적 관계식 (1)을 구하였다.
여기에서 yo은 장마 시작일, xniño는 전년도 9-10월 평균 Niño3.4지수, xnp는 전년도 9월 북태평양고기압지수, xsh는 전년도 9월 시베리아고기압지수를 의미한다. 표준편회귀계수는 식 (1) 아래 괄호[ ]로 나타내었으며, 앞서 언급한 지수 순으로 0.40, 0.47 0.31이다. 식 (1)의 F 통계량은 37.35로 유의수준 α=0.001에서 유의하다. xniño와 xnp의 회귀계수값은 유의수준 α=0.001에서 유의하며, xsh의 회귀계수값은 유의수준 α=0.01에서 유의하다. Breusch-Pagan 검정 결과 p 값은 0.788으로 등분산이며, VIF 값은 xniño 1.30, xnp 1.08, xsh 1.24로 다중공선성은 없다. 수정된 결정계수(r2)가 0.717로 식 (1)은 장마 시작일 변동의 71.7%를 설명한다고 할 수 있다.
식 (1)에 따르면 9-10월 평균 Niño3.4지수와 9월 북태평양고기압지수, 9월 시베리아고기압지수 모두 다음 해 장마 시작일과 양(+)의 관계이다. 즉, 9-10월 평균 Niño3.4지수와 9월 북태평양고기압지수, 9월 시베리아고기압지수가 클수록 다음 해 장마 시작일이 늦어진다는 것을 의미한다. 표준편회귀계수에 따르면 9월 북태평양고기압지수, 9-10월 평균 Niño3.4지수와 9월 시베리아고기압지수 순으로 다음 해 장마 시작일과 관계가 높다. 이는 장마 시작일이 대륙과 관련된 시베리아고기압지수보다 해양과 관련된 북태평양 고기압지수와 Niño3.4지수와의 관계가 더 높다는 것을 의미한다. 두 지수는 태평양과 관련된 대기지수이므로 특히 태평양 기압 분포가 장마 시작일에 큰 영향을 미친다고 할 수 있다. 시기적으로는 9-10월 대기지수가 다음 해 장마 시작일에 미치는 영향이 크다고 할 수 있다.
2) 장마 시작일 남북차이와 대기지수
장마 시작일 남북차이에 영향을 미치는 요인을 파악하기 위하여 장마 시작일과 같이 앞에 제시한 7개 대기지수와 장마 시작일 남북차이 간에 상관관계를 분석하였다. 표 2에서 볼 수 있듯이 오호츠크해고기압지수는 4월 평균값, 북서태평양아열대고기압지수는 전년도 9월 평균값이 장마 시작일 남북차이와 상관관계가 가장 높았다. 또한, 북극진동지수는 2월 평균값이 장마 시작일 남북차이와 상관관계가 가장 높았으며, 3월 평균 북극진동지수도 연속적으로 상관계수(r) 0.5 이상의 관계이다. 북태평양고기압지수는 상관계수가 가장 큰 전년도 11월부터 해당연도 1월까지, 유라시아대륙의 적설면적은 2-5월, Niño3.4지수는 4-5월 각 달 평균값이 연속적으로 장마 시작일 남북차이와 통계적으로 유의한 관계이다. 하지만 장마 시작일 남북차이와 전년도 12월 평균 북태평양고기압지수, 2월 평균 유라시아대륙 적설면적, 4월 Niño3.4지수 간의 상관계수(r)는 0.5 이하이므로 그림 8에는 장마 시작일 남북차이와 전년도 11월 북태평양 고기압지수, 3-5월 평균 유라시아대륙 적설면적, 5월 Niño3.4지수 간 관계를 제시하였다. 시베리아고기압지수는 장마 시작일 남북차이와 유의수준 α=0.01에서 상관관계가 유의하지 않다.
표 2.
장마 시작일 남북차이와 월별 대기지수의 상관계수
|
전년도 9월 |
전년도 10월 |
전년도 11월 |
전년도 12월 |
해당연도 1월 |
해당연도 2월 |
해당연도 3월 |
해당연도 4월 |
해당연도 5월 | |
| 북태평양 고기압지수 | -.667** | .097 | .742** | .470** | .428** | .271 | .417** | -.641** | .033 |
| Niño3.4 지수 | -.078 | -.083 | .076 | -.002 | -.021 | .110 | .240 | .478** | .504** |
| 북극진동 지수 | -.327* | -.020 | .401** | .196 | .263 | .614** | .542** | .144 | .127 |
| 북서태평양 아열대고기압 지수 | -.642** | -.142 | .228 | .093 | .283 | .131 | .019 | .035 | .255 |
| 오호츠크해 고기압지수 | - | - | - | - | - | - | -.294 | -.501** | .033 |
| 시베리아 고기압지수 | -.119 | -.018 | -.122 | -.234 | .057 | -.113 | -.032 | .321* | .215 |
| 유라시아대륙 적설면적 | .182 | .080 | .579** | .611** | .093 | -.391** | -.606** | -.622** | -.640** |
그림 8은 장마 시작일 남북차이와 대기지수의 관계를 나타낸 것으로, 통계적으로 유의하면서(유의수준 α=0.01) 대기지수별로 장마 시작일 남북차이와 상관관계가 가장 높은 달의 대기지수와 장마 시작일 남북차이 간 관계를 제시하였다. 다만, 각 지수별로 장마 시작일 남북차이와 상관관계가 가장 높은 달과 연속적으로 상관계수(r)가 0.5 이상인 달은 대기지수 값을 평균하여 두 변수 간 관계를 나타내었다. 그림 8에서 유라시아대륙 적설면적은 3-5월, 북극진동지수는 2-3월 평균값과 장마 시작일 남북차이 간의 관계를 제시하였고, 그 외는 각 지수별로 장마 시작일 남북차이와 상관관계가 가장 높은 달의 관계를 제시하였다.
그림 8에서 볼 수 있듯이 장마 시작일 남북차이는 분석한 7개 대기지수 중 전년도 11월 평균 북태평양고기압 지수와 상관계수(r) 값이 가장 컸으며, 전년도 11월 북태평양고기압지수, 2-3월 평균 북극진동지수, 5월 Niño3.4지수와는 양(+)의 관계이고, 3-5월 평균 유라시아대륙 적설면적, 전년도 9월 북서태평양아열대고기압지수, 4월 오호츠크해고기압지수와는 음(-)의 관계이다. 즉, 전년도 11월 북태평양고기압, 2-3월 평균 북극진동지수, 5월 Niño3.4지수가 양의 값으로 클 때 각각 제주와 중부지역 간에 장마 시작일 차이가 커서 장마 시작일 남북차이가 크다. 또한, 3-5월 평균 유라시아대륙의 적설면적과 전년도 9월 북서태평양아열대고기압지수, 4월 오호츠크해고기압지수가 양의 값으로 클 때 각각 장마 시작일 남북차이가 작다.
장마 시작일 남북차이와 상관관계가 높은 대기지수 중 통계적으로 유의하게 영향을 미치는 대기지수를 파악하고자 하였다. 그림 8에 제시한 대기지수와 장마 시작일 남북차이를 각각 독립변수와 종속변수로 다변량회귀분석을 시행하여 최적 관계식 (2)를 구하였다.
여기에서 yd는 장마 시작일 남북차이, xao는 2-3월 평균 북극진동지수, xnp은 전년도 11월 북태평양고기압지수, xps는 전년도 9월 북서태평양아열대고기압지수이다. 표준편회귀계수는 식 (2) 아래 괄호[ ]로 나타내었으며, 각각 0.27, 0.41, -0.31이다. 식 (2)의 F 통계량은 28.26로 유의수준 α= 0.001에서 유의하다. xnp와 xps의 회귀계수값은 유의수준 α=0.01에서 유의하며, xao의 회귀계수값은 유의수준 α=0.05에서 유의하다. Breusch-Pagan 검정 결과 p 값은 0.209로 등분산이며, VIF 값은 xao 1.59, xnp 1.88, xps 1.43으로 다중공선성은 없었다. 수정된 결정계수(r2) 값이 0.655로 식 (2)에 의하여 장마 시작일 남북차이 변동의 65.5%를 설명한다.
식 (2)에서 볼 수 있듯이, 장마 시작일 남북차이는 2-3월 평균 북극진동지수, 전년도 11월 북태평양고기압지수와 양(+)의 관계이고, 전년도 9월 북서태평양아열대고기압지수와 음(-)의 관계이다. 즉, 2-3월 평균 북극진동지수와 전년도 11월 북태평양고기압지수가 양의 값으로 클수록 장마 시작일 남북차이가 커지며, 전년도 9월 북서태평양아열대고기압지수가 양의 값으로 클수록 장마 시작일 남북차이가 작아진다. 표준편회귀계수에 따르면 전년도 11월 북태평양고기압지수, 전년도 9월 북서태평양아열대고기압지수, 2-3월 북극진동지수 순으로 장마 시작일 남북차이와 관계가 높다. 또한, 식 (2)에서 태평양 기압 분포와 관련된 북태평양고기압지수와 북서태평양아열대고기압의 표준편회귀계수 값이 커서, 태평양 기압 분포가 장마 시작일 남북차이에 큰 영향을 미친다고 할 수 있다. 반면, 유라시아대륙과 관련된 대기지수는 식 (2)에서 독립변수로 채택되지 않았다. 시기적으로는 전년도 9월부터 해당연도 3월 대기지수가 장마 시작일 남북차이에 영향을 미친다고 할 수 있다.
3) 장마 종료일과 대기지수
장마 종료일 변동과 대기지수 간의 관계를 파악하기 위하여 두 변수 간에 상관관계를 분석하였다. 표 3에서 볼 수 있듯이 북태평양고기압지수, 시베리아고기압지수, 오호츠크해고기압지수는 각각 전년도 11월, 4월, 5월 평균값과 장마 종료일 간 상관계수(r)가 가장 컸다. 북서태평양아열대고기압지수는 1월 평균값과 장마 종료일 간에 상관관계가 가장 높았으며, 2월 값까지 연속적으로 r=0.5 이상의 관계이다. 북극진동지수는 전년도 12월부터 상관관계가 가장 높은 해당연도 3월까지의 각 달 평균값과, Niño3.4지수는 상관계수가 가장 컸던 4월을 포함한 전년도 12월부터 해당연도 5월 각 달 평균값과, 유라시아대륙의 적설면적은 3-5월 각 달 평균값과 장마 종료일 간에 유의수준 α=0.01에서 유의한 관계이다. 하지만 2월 북극진동지수와 1월, 5월 Niño3.4지수, 3월, 5월 유라시아대륙 적설면적과 장마 종료일 간 상관계수(r)가 0.5 보다 작으므로 장마 종료일과 3월 북극진동지수, 2-4월 평균 Niño3.4지수, 4월 유라시아대륙의 적설면적 값과 장마 종료일 간의 관계를 그림 9에 제시하였다.
표 3.
장마 종료일과 월별 대기지수의 상관계수
|
전년도 9월 |
전년도 10월 |
전년도 11월 |
전년도 12월 |
해당연도 1월 |
해당연도 2월 |
해당연도 3월 |
해당연도 4월 |
해당연도 5월 | |
| 북태평양 고기압지수 | .188 | -.070 | .514** | .132 | .279 | .512** | .304* | -.436** | .104 |
| Niño3.4 지수 | .469** | .323* | .367* | .421** | .404** | .517** | .547** | .579** | .478** |
| 북극진동 지수 | .349* | .300* | .204 | .598** | .608** | .422** | .770** | .288 | .377* |
| 북서태평양 아열대고기압 지수 | -.132 | -.472** | .438** | .191 | .662** | .529** | .282 | -.104 | .615** |
| 오호츠크해 고기압지수 | - | - | - | - | - | - | .193 | -.136 | -.465** |
| 시베리아 고기압지수 | .280 | .265 | .232 | -.323* | -.212 | .372* | -.056 | .445** | .200 |
| 유라시아대륙 적설면적 | -.396** | -.164 | .193 | .263 | .109 | -.335* | -.460** | -.593** | -.482** |
그림 9는 장마 종료일과 대기지수 간의 관계를 나타낸 것으로, 통계적으로 유의하면서(유의수준 α=0.01) 대기지수별로 장마 종료일과 상관관계가 가장 높은 달의 대기지수와 장마 종료일의 관계를 제시하였다. 다만, 각 지수별로 장마 종료일과 상관관계가 가장 높은 달과 연속적으로 상관계수(r)가 0.5 이상인 달은 대기지수 값을 평균하여 두 변수 간의 관계를 나타내었다. 그림 9에서 북서태평양아열대고기압지수와 Niño3.4지수는 각각 1-2월, 2-4월 평균값과 장마 종료일 간의 관계를 제시하였고, 그 외는 각 지수별로 장마 종료일과 상관관계가 가장 높은 달의 관계를 제시하였다.
장마 종료일은 그림 9에 제시한 대기지수 중 3월 북극진동지수와 상관관계가 가장 높다. 장마 종료일은 3월 북극진동지수, 1-2월 평균 북서태평양아열대고기압지수, 2-4월 평균 Niño3.4지수, 전년도 11월 북태평양고기압지수, 4월 시베리아고기압지수와 양(+)의 관계인 반면, 4월 유라시아대륙 적설면적과 5월 오호츠크해고기압과는 음(-)의 관계이다. 즉, 3월 북극진동지수, 1-2월 평균 북서태평양아열대고기압지수, 2-4월 평균 Niño3.4지수, 전년도 11월 북태평양고기압지수, 4월 시베리아고기압지수가 양의 값으로 클 때 각각 장마 종료일이 늦고, 4월 유라시아대륙 적설면적, 5월 오호츠크해고기압이 양의 값으로 클 때 각각 장마가 일찍 끝난다고 할 수 있다.
장마 종료일과 상관관계가 높은 대기지수 중 통계적으로 유의하게 영향을 미치는 대기지수를 파악하고자 하였다. 그림 9에 제시한 대기지수와 장마 종료일을 각각 독립변수와 종속변수로 다변량회귀분석을 시행하여 최적 관계식 (3)을 구하였다.
여기서 yr은 장마 종료일, xao은 3월 북극진동지수, xps는 1-2월 평균 북서태평양아열대고기압지수이다. 표준편회귀계수는 식 (3) 아래 괄호[ ]로 나타내었으며, 각각 0.56, 0.37이다. 식 (3)의 F 통계량은 45.23로 유의수준 α=0.001에서 유의하며, 두 독립변수의 회귀계수값은 모두 유의수준 α= 0.001에서 유의하다. Breusch-Pagan 검정 결과 p 값은 0.744로 등분산이며, VIF 값은 두 변수 모두 1.44로 다중공선성은 없었다. 수정된 결정계수(r2)는 0.673으로 식 (3)에 의하여 장마 종료일 변동의 67.3% 정도를 설명한다.
식 (3)에서 볼 수 있듯이 3월 북극진동지수와 1-2월 평균 북서태평양아열대고기압지수는 장마 종료일과 양(+)의 관계이다. 즉, 3월 북극진동지수와 1-2월 평균 북서태평양아열대고기압지수가 클수록 장마 종료일이 늦어진다고 할 수 있다. 또한 표준편회귀계수 값에서 볼 수 있듯이 장마 종료일은 식 (3)에 제시한 북극진동지수와 북서태평양아열대고기압지수 순으로 관계가 높다고 할 수 있다. 시기적으로는 1-3월 대기지수가 장마 종료일에 영향을 미친다고 할 수 있다.
5. 토의
장마 시기와 대기지수 간의 회귀분석 결과, 장마 시작일, 장마 시작일 남북차이, 장마 종료일은 공통적으로 태평양 기압 분포와 관련된 지수와 관계가 뚜렷하다. 다만, 태평양 기압 분포와 관련된 지수를 산출하는 구역에 따라 장마 시기와의 관계가 다르다. 장마 시작일은 전년도 9월 북태평양고기압지수, 적도 태평양 해수면온도를 의미하는 Niño3.4지수의 전년도 9-10월 평균값과 관계가 높고, 장마 시작일 남북차이는 전년도 11월 북태평양고기압지수 및 전년도 9월 북서태평양아열대고기압지수와, 장마 종료일은 1-2월 평균 북서태평양아열대고기압지수와 관계가 뚜렷하다. 즉, 장마 기간 동안 한반도에 점차 가까운 거리에 있는 태평양 상황에 따라서 장마 시기가 달라진다고 할 수 있다.
이는 장마가 일찍 시작된 해에 라니냐, 장마가 늦게 시작된 해에 엘니뇨가 발생하였다는 이현영・이승호(1993), ENSO가 장마 시작일과는 유의한 상관관계가 있지만 종료일과는 유의한 상관관계가 없다는 Lu et al.(2001)의 연구 결과와 일치한다. 또한, Lee et al.(2013)에 따르면 여름철 북서태평양아열대고기압과 동아시아몬순이 강할 때에 전년도 12월부터 8월까지 북서태평양 15-30°N에 고기압 순환 아노말리가 지속된다. 또한, 이른 봄철 북서태평양아열대고기압 동쪽에 북풍, 서쪽에는 남풍이 강하게 불면서 고기압 순환 아노말리가 나타나는데, 이것이 여름철에 중위도로 북상한다. 즉, 겨울철 강한 북서태평양아열대고기압이 여름철 동아시아몬순에 영향을 미쳐 몬순을 강화시킬 수 있으며, 이에 따라 장마 종료일도 늦어질 수 있다.
장마 시작일과 대기지수 간 관계식에는 전년도 9월 시베리아고기압지수가 독립변수에 포함되었지만, 장마 시작일 남북차이 및 종료일과 대기지수 간 관계식에는 시베리아고기압지수가 독립변수에 포함되지 않았다. 특히, 장마 시작일 남북차이는 시베리아고기압지수와 유의수준 α= 0.01에서 유의한 상관관계가 없다. 즉, 장마 시작 시기에는 해양과 대륙이 모두 영향을 미치지만, 장마가 시작된 이후에는 대륙보다 해양, 특히 태평양 상황이 더 크게 영향을 미친다고 할 수 있다.
다만, 가을철 태평양 기압 분포가 장마에 영향을 미치는 매커니즘과 장마가 겨울철 ENSO와 시베리아고기압의 영향을 받는다는 여러 선행연구(예. Lee et al., 2011)와 달리 장마 시작일이 가을철 Niño3.4지수, 시베리아고기압지수와 관계가 높다는 본 연구 결과에 대해서는 추가적인 분석이 필요하다. 이는 최근 장마 패턴이 변화하면서(우성호 등, 2017; 국립기상과학원, 2018; 문자연 등, 2020; Lee et al., 2017) 대기지수와의 관계도 달라진 것으로 추정된다.
장마 시작일과 달리 장마 시작일 남북차이와 장마 종료일은 북극진동지수와 관계가 있다. 북극진동지수는 장마 종료일과의 관계식에서 가장 큰 영향을 미치는 변수이지만, 장마 시작일 남북차이와의 관계식에서는 독립변수에 포함되었으나 다른 변수에 비하여 미치는 영향 정도가 약하다. 2-3월 평균과 3월 북극진동지수는 각각 장마 시작일 남북차이, 장마 종료일과 양(+)의 관계가 있다. 특히, 3월 북극진동지수는 장마 시작일 남북차이와 장마 종료일 간의 관계식에서 모두 독립변수에 포함되어, 북극진동은 장마가 종료될 때까지 지속적으로 영향을 미친다는 것을 알 수 있다. Gong et al.(2011)에 따르면 3-5월 평균 북극진동지수가 양(+)의 값일 때 북태평양에 삼극 기압 패턴이 형성되면서 동남아시아와 북서태평양에 저기압성 순환 편차가 나타난다. 해양과 대기의 상호작용, 대기의 Gill-type 양의 피드백으로 인해 저기압성 순환은 더욱 강화되어 여름까지 이러한 기압 패턴이 지속된다. 이에 따라, 여름철 북서태평양아열대고기압이 약화되고 동아시아 몬순 지역 강수대가 약하게 발달하여 30-35°N 지역 강수량은 음의 편차가 나타난다. 이러한 과정을 통해 늦겨울 북극진동이 양(+)의 값일 때 여름철 장마전선 남쪽에 위치한 기압계가 약하게 발달하면, 장마전선이 북쪽으로 확장하지 못하여 장마 시작일 남북차이가 커지고 장마 종료일은 늦어질 수 있다.
앞서 언급하였듯이 장마 시작일보다 장마 종료일의 변동이 더 크다. 이는 선행연구 Lu et al.(2001)와 일치하는 결과이며, 장마 시작일에 가장 큰 영향을 미치는 태평양 기압 분포와 관련된 대기지수보다 장마 종료일에 미치는 영향이 가장 큰 북극진동지수의 변동이 더 크기 때문이라 할 수 있다. 그림 10은 회귀분석 결과 장마 시작일 및 종료일과 각각 관계가 가장 뚜렷한 9월 북태평양고기압지수와 3월 북극진동지수의 7년 이동평균한 값을 시계열로 나타낸 것이다. 그림에서 볼 수 있듯이 9월 북태평양고기압지수와 3월 북극진동지수는 증가와 감소 추세가 반복되지만, 3월 북극진동지수의 변동 폭이 더 크다. 9월 북태평양고기압지수의 평균은 1,014.22이고, 표준편차는 0.50이며, 3월 북극진동지수의 평균은 약 0.14이고, 표준편차는 0.52이다. 이와 같이 두 변수의 표준편차 차이는 크지 않지만, 3월 북극진동지수가 조금 더 크다. 또한, 9월 북태평양고기압지수는 평균에서 표준편차 2배 이상 벗어나는 경우가 없었으나 3월 북극진동지수는 2회 있었다.
오호츠크해고기압지수는 장마 시기와 상관관계는 높으나 회귀분석에서 장마 시기를 설명하는 독립변수로는 선택되지 않았다. 이는 오호츠크해고기압지수가 장마 시기와 관련 있지만, 다른 대기지수에 비해 영향이 크지 않다는 것을 의미한다. 기상청(2011)에 따르면 장마 시작일은 북태평양고기압이 북쪽으로 확장하는 것이 중요하고, 오호츠크해고기압은 늦장마 시작일에 큰 영향을 미친다. 이는 장마 시작일, 장마 시작일 남북차이에 북태평양고기압지수의 영향은 크고 오호츠크해고기압의 영향은 미미하다는 이 연구 결과와 일치한다. 기후변화의 영향으로 오호츠크해고기압의 빈도와 강도가 1980년대 이후로 감소하였다는 조리나・이승호(2011)의 연구 결과와도 관련이 있다. 오호츠크해고기압의 특성이 변화하면서 장마와의 상관관계가 달라진 것으로 추정된다.
6. 요약 및 결론
이 연구는 1961-2022년 장마 시작일, 장마 종료일, 장마 시작일 남북차이의 변동을 파악하기 위하여 장마 자료와 6월, 7월 일강수량 등을 분석하였다. 상관분석과 회귀분석을 통해 장마 시기와 대기지수 간 관계를 파악하여 장마 시기의 변동 원인을 추정하고자 하였다.
분석 결과, 장마 시작일 변동은 유의한 추세가 없으며, 장마 시작일 남북차이의 변동은 커지는 추세이다. 또한, 제주와 중부지역의 장마 시작일 차이가 점차 커져 장마 시작일 남북차이가 커졌다. 특히, 장마가 제주와 한반도 사이 해상에서 머무는 시간이 길어지면서 남부와 제주지역의 장마 시작일 차이가 커졌다. 연구기간 중 장마 종료일 변동은 장마 시작일보다 크며, 일정한 추세가 없다. 장마 시작일은 전년도 가을철, 장마 시작일 남북차이는 전년도 가을과 겨울철, 장마 종료일은 겨울철 태평양 관련 지수와의 관계가 뚜렷하다. 태평양 기압 분포 관련 지수 외에 장마 시작일은 시베리아고기압지수, 장마 시작일 남북차이와 장마 종료일은 북극진동지수와 관계가 있다. 장마 시작일, 장마 시작일 남북차이는 태평양 기압 분포와 관련된 지수, 장마 종료일은 북극진동지수와 관계가 가장 뚜렷하다. 즉, 장마 시작 시기는 태평양 상황, 종료 시기는 북극진동의 영향을 받지만, 둘 다 일정한 변동추세가 없다. 장마 시작일 남북차이도 태평양의 영향을 받으며, 변동이 커지는 추세이다.
이 연구는 기존 연구들이 대부분 장마 기간 강수량에 초점을 맞춘 것과 달리 장마 시기의 변동을 설명하고자 하였으며, 그것을 대기지수와 연결 지었다는 데 의의가 있다. 그러나 이 연구의 결과는 장마 시기와 7개의 대기지수를 7년 이동평균하여 구한 관계식으로, 장마 시기와 대기지수와의 관계식은 장기적인 경향을 보여주는 것이다. 그러므로 이 식을 미래를 예측하는 것에는 적용할 수 없는 한계가 있다. 미래 장마 시기 변동을 예측하기 위해서는 매년 자료를 이용한 심도 있는 분석이 필요하며, 어떤 과정을 통하여 장마 시기와 대기지수의 관계가 형성되는지 추가 분석을 통해 규명할 필요가 있다. 또한, 다양한 기단의 영향으로 발생하는 장마는 정의에 따라 장마 시작일과 종료일에 차이가 있을 수 있어서 분석에 사용된 자료에 따라 결과의 차이가 있을 수 있다. 그러므로 일관되게 장마를 정의하는 과정이 필요하다. 장마 시기가 같아도 장마기 강수량에는 차이가 있을 수 있으므로 장마 시기뿐만 아니라 장마기 강수량의 변동과 그 원인을 파악하는 후속 연구가 이어져야 할 것이다.












