1. 서론
2. 연구 지역과 연구 방법
1) 연구 지역
2) 연구 방법
3. 결과 및 토의
1) 측선별 단면적 및 상관관계 분석을 통한 해빈 변화 해석
2) 항공사진 분석을 통한 사취 변화 해석
3) 경험고유함수 분석을 통한 퇴적물 이동 패턴 해석
4) 종합 해석 및 후속 연구를 위한 제언
4. 결론
1. 서론
기후변화에 따른 해수면 상승으로 해안지형의 역동성이 증가하며, 해안침식이 가속화되고 있다. 퇴적물 수용 공간(accommodation space)의 창출, 브룬의 법칙 등 다양한 연구들이 해수면 상승에 따른 해안 침식 가속화를 예측하고 있다(Passeri et al., 2015). 특히 세립질의 모래해안(이하 해빈)은 암석해안이나 자갈해안에 비해 회복력이 낮고 취약성이 높다(Devoy, 2008). 심지어, 기후변화, 지질, 인간의 영향으로 인해 21세기 말이 되면 전 세계 해빈의 절반정도가 사라질 것이라 예측한 연구도 존재한다(Vousdoukas et al., 2020).
과거 브룬의 법칙은 해수면 상승으로 인해 발생하는 해침(transgression) 현상이 전 세계 해안에서 동일하게 발생할 것으로 예측하였다. 그러나 해수면 상승에 대한 해빈의 반응은 국지적인 공간에서 시간에 따라 상이하게 나타난다(Cooper et al., 2018). 외력, 해안 프로세스, 퇴적물 수지, 경계 조건, 지질 조건 등의 다양성으로 인해 해빈 지형 변화는 쉽게 예측하기 어려우며, 해침 또한 해빈의 개별 특성에 따라 상이하게 나타난다(Cattaneo and Steel, 2003). 따라서 개별 해빈을 대상으로 다양한 연구가 진행되어야 한다.
우리나라 서해안의 경우 1990년대 이후 해빈 지형에 대한 연구들이 다수 진행되었다. 시간적 스케일로 구분하면 태풍과 같은 단기적 변화, 계절적 변화, 수십 년 변화, 장기적 해수면 변동까지 다양한 연구들이 수행되었으며, 공간적 스케일로 구분하면 단일 해빈, 해빈과 간석지, 해빈과 사구 등이 주로 다루어졌다. 해빈, 간석지, 사구는 해안선에 수직인 방향으로 연결된 지형으로, 퇴적물을 공유하는 특징을 지닌다. 그러나 사취와 해빈을 함께 다룬 연구는 많지 않으며, 연구가 하나의 해빈에만 집중되어 있다. 주로 연구된 해빈은 안면도 남단의 바람아래 해빈으로, 해빈과 사취의 지형(김장수・장동호, 2011; Sara khodadad・장동호, 2014; 유재진 등, 2016b), 퇴적물 혹은 퇴적환경(장동호 등, 2003; 장동호 등, 2010; 김장수・장동호, 2012; 유재진 등, 2016a) 등에 대한 연구가 진행되었다. 사취만을 따로 연구한 박정원 등(2013)의 연구도 존재한다. 여러 선행연구 중 항공사진을 활용하여 1967-2009년의 기간 동안의 해빈과 사취의 변화에 대해 살펴본 연구는, 해빈과 사취의 긴밀한 관계를 보여준다(김장수・장동호, 2011).
사취는 하구, 만, 조수통로 등에 주로 형성되는 연안 퇴적지형이다. 해빈 등의 육지부에서 파랑, 연안류 등에 의해 퇴적물이 이동되어, 유속이 약해짐에 따라 사취에 퇴적되면서 사취가 성장한다(Kakroodi et al., 2014). 사취는 해빈과 수평 방향으로 연결되어 있어 퇴적물을 공유하며, 따라서 해빈에서 발생하는 지형 변화와 퇴적물 이동은 사취에도 영향을 미친다. 우리나라의 경우 규모가 크고 복잡한 사취는 거의 존재하지 않으며 대부분 단순한 형태를 보이는데, 이러한 사취는 휘어진 해빈 등의 말단부에서 주로 관찰된다(Hequette and Ruz, 1991). 퇴적물의 공유라는 측면에서 사취가 존재하는 해빈은 여타 해빈과 다른 특징을 지니기 때문에, 다양한 연구가 진행되어야 한다. 그러나 아직까지 바람아래 해빈을 제외하고는 해빈과 사취를 연계하여 살펴보는 연구는 미흡한 실정이다.
이 연구는 사취가 존재하는 해빈에 대한 이해 증진의 차원에서, 백사장 해빈의 지형변화와 해빈 북측 사취의 변화를 동시에 살펴보았다. 총 12회의 단면 측량결과를 바탕으로 측량 자료 분석, 상관관계 분석, 항공사진 분석, 경험고유함수 분석을 실시하여 백사장 해빈과 사취의 지형 변화를 종합적으로 살펴보았다. 특히, 해빈 전체를 살펴보기 위해 자료의 편차를 활용한 경험고유함수 분석을 실시하였다.
2. 연구 지역과 연구 방법
1) 연구 지역
연구 지역은 충청남도 안면도 북단에 위치한 백사장 해빈으로, ‘안면도 백사장 대하축제’가 열리는 백사장 항과 연결되어 있으며 해빈과 항 가운데 사취가 존재한다(그림 1). 해빈 길이는 총 1,576m로 주로 모래로 구성되어 있다. 해빈 북측으로는 천수만과 연결된 수로가 존재하며, 해빈 남측으로는 헤드랜드가 삼봉 해빈과 백사장 해빈을 분리한다. 밀물시에는 수로를 통해 천수만이 위치한 동쪽 방향으로, 썰물시에는 서쪽 방향으로 조류가 발생한다. 해빈의 평면 형태는 북북서-남남동 방향으로, 해빈의 북서방향에 육지가 존재한다. 특기할만한 점은 해빈 북단이 사취와 연결되어 있으며 사취의 말단부는 조수통로와 평행한 방향으로 휘어져 있다는 점이다. 김찬웅 등(2015)의 연구는 해빈의 북쪽에 위치하는 사취로 인해 백사장 해빈이 여타 해빈과 다른 특수성을 보임을 기술한 바 있다. 백사장 해빈은 현재 침식이 심각하게 발생하여 해수욕장으로서의 기능을 거의 상실한 상태이다. 백사장 해빈의 침식은 인공호안 설치 이후 본격화된 것으로 추정하고 있으며(남혜정, 2005; 최정훈 등, 2012), 해빈의 침식과 해빈 북쪽 사취의 퇴적이 동시에 발생하였다.
기상청 안면도 파고부이1)에 의하면, 월별 평균(2011-2018년) 유의파고는 최대 1.39m, 최소 0.49m이며, 월별 평균 파주기는 최대 5.65sec, 최소 4.52sec로 겨울철 파고가 높고 여름철 파주기가 긴 특징을 보인다(그림 2). 연도별 평균 유의파고는 0.89m, 평균 파주기는 4.99sec로 2012-2013년 파고가 높고, 2011년 파주기가 짧은 특징을 보인다(그림 3). 2011년 관찰된 매우 짧은 파주기는 파고부이 자료의 결측치가 많았던 점이 영향을 미친 것으로 판단된다. 파고는 남남서, 남서, 서북서 방향에서 높게 나타나며, 평균조차는 4.3m, 대조시 5.9m, 소조시 2.6m의 조차가 발생한다(해양수산부, 2019).
백사장 해빈에서 진행된 선행연구로 김찬웅 등(2015)은 백사장 해빈 북측의 사취가 해빈의 겨울철 지형변화와 밀접한 관련이 있음을 제시하였다. 백사장 해빈의 런넬을 통해 겨울철 퇴적물이 바다 방향으로 이동한 뒤 사취로 퇴적되며, 이것이 여타 해빈과 다른 백사장 해빈의 특수성일 수 있다고 판단하였다. 그러나 사취의 변화에 대해서는 제시하지 않았다는 한계점이 존재한다. 다른 선행연구(김찬웅 등, 2019)는 백사장 해빈의 단면변화를 살펴보고 경험고유함수 분석을 실시하여, 릿지와 런넬의 변화를 계절과 연계하여 해석하였다. 그 결과 이차 지형인 릿지와 런넬의 생성, 이동, 소멸이 백사장 해빈 변화와 밀접한 관련 있음을 제시하였다. 해당 연구에서 활용한 경험고유함수 분석은 고도값을 활용한 것으로, 제1주성분이 평균 지형단면 혹은 해안선 위치를 의미하였다(e.g. Dick and Dalrymple, 1984; 천세현 등, 2014). 그러나 편차가 아닌 원자료 값을 그대로 활용하여(고도값), 주요 퇴적물 이동 패턴인 해빈 순환(beach rotation)과 해빈 진동(beach oscillation)이 하나의 방향으로만 발생한 것으로 해석하였다는 한계점이 있다. 또한 측선 위주의 분석을 진행하여 해빈 전체의 공간에 대해 다루지는 못하였다. 이 연구는 해빈과 사취를 함께 다루고자 하였으며, 경험고유함수 분석시 자료의 편차를 이용하여 해빈 전체를 대상으로 연구를 진행하였다.
2) 연구 방법
이 연구는 현장 기반의 해빈 단면 측량, 항공사진을 이용한 원격탐사, 측량 자료를 바탕으로 한 통계분석을 통해 백사장 해빈과 북측 사취의 시계열 변화를 연구하였다. 먼저 해빈 단면 측량은 2011-12년, 2015년, 2017년에 실시하였으며, 시기별로 각각 4회, 5회, 5회 실시하였다. 이 연구에서는 계절과 횟수를 고려하여 시기별로 4회의 결과만을 활용하였다(표 1). 측량은 대조기에 맞추어 실시하였으며, 총 3개의 측선을 설정하였다(그림 1). 북쪽에 위치한 1번 측선의 경우 백사장 해빈 북측에 존재하는 사취가 분기하는 지점(36°34'42.2"N 126°18'51.5"E)으로 (구)해병대 캠프와 인접하여 있다. 2번 측선은 중앙에 위치(36°34'46.6"N 126°18' 49.0"E)하며 2013년 까지 T자형 돌망태 돌제가 존재했던 곳의 북측이며, 3번 측선은 과거 지오튜브가 있었던 곳으로 현재는 웨스턴백사장 오토캠핑장과 인접한 지점(36°34'53.4"N 126°18'46.1"E)이다. 측량 결과물을 백사장 해빈의 국지적 평균 해수면(Local Mean Sea Level, L.M.S.L.)으로 변환시킨 후 단면적을 구하였다. 다만, 표에 기술된 것처럼 5차시기(2015.06.05.)에 3번 측선의 결과가 누락되었기 때문에 해당 일시에 대한 자료는 전, 후 시기의 평균값을 활용하였다.
표 1.
해빈 측량 시기와 방법
*** 김찬웅 등(2019)의 표 1을 수정
원격탐사를 통해 2012년부터 2018년까지 2년 간격으로 사취의 공간적 범위를 조사하였다. 분석에 사용한 자료는 국토지리정보원의 국토정보플랫폼에서 제공받았다. 국토정보플랫폼은 항공사진 원본을 0.5m 해상도로 정사보정하여 제공하고 있으며, 이 연구에서 활용한 개별 영상의 촬영일시는 표 2와 같다. 현재 국토지리정보원은 정사영상의 공간정보를 삭제한 뒤 제공하기 때문에 수치지형도에서 50개 내외의 참조점을 설정하여 추가적인 지리보정을 수행하였다. 국토지리정보원의 항공사진은 촬영시각을 공개하지 않아 해당 시점의 조위를 파악하기 힘들고, 이 때문에 사취의 면적이나 길이 등 정량적인 규모를 정확하게 추정하기 어렵다. 다만, 함수율에 따라 퇴적물의 반사도가 달라지는 연구지역의 특성상 조상대 또는 조간대 최상부에 위치한 해빈과 사취는 간석지와 상이한 분광특성을 보이며, 이는 가시적으로도 확인할 수 있다(그림 1). 시각적인 영상 판독에서 주관성을 배제하고 시각화를 통한 전달력을 높이기 위해서, 분광특성의 비교 및 대조를 통해 군집분석을 수행하는 통계적(unsupervised) 지표피복 분류기법을 활용하여 사취의 공간적 범위와 분포 변화를 파악하였다. 구체적으로 PCI Geomatica의 Fuzzy K-means 기법2)을 활용하여 시점별로 사취의 공간적 범위를 조사하였으며, 공간분석 범위를 해안도로와 주차장 등 인위적인 지표피복이 발생하는 지역의 전면부로 한정하고 유형수는 15개, 반복 횟수는 30번으로 설정하여 분류를 수행하였다. 분류기법을 통해 추출한 15개 유형 중 식생피복 전면에 위치한 유형들을 사취 또는 해빈 최상부에 해당하는 지표피복 유형으로 분류하였다. 마지막으로 분류 결과에서 인접한 사취와 20m 이상 떨어져 있고 100m2 이하인 연속성과 규모가 작은 화소들을 제거하여 시인성을 높였다.
표 2.
항공사진 속성
| 연월일 | 사업코드 | 해상도 | 도엽명 |
| '12.10.01 | 201204A405C | 0.5m | 신온 |
| '14.08.11 | 201408A311C | ||
| '16.05.07 | 201605A302C | ||
| '18.06.03 | 201804A301C |
마지막으로 통계분석인 경험고유함수(Empirical orthogonal function, EOF) 분석과 상관관계 분석을 실시하였다. 경험고유함수 분석은 주성분분석이라고도 알려져 있으며, 시계열 자료의 분산을 바탕으로 독립인 성분을 추출하는 방법이다.3) 효율적인 지형변화 분석 방법으로 초기에는 주로 해빈 단면변화 분석에 적용되다가, 이후 해안선 변화 분석에 적용되고 있다(e.g. Winant et al., 1975; Dick and Dalrymple, 1984; Larson et al., 1999; Harley et al., 2011). 경험고유함수 분석을 실시하면 공간적 분석 결과와 시간적 분석 결과가 도출된다. 시간적 분석 결과가 양의 수치를 보이는 시기에 공간적 분석 결과가 양의 수치를 띄면 해당 공간에서 퇴적이 발생한 것으로 해석하며, 음의 수치를 띄면 침식이 발생한 것으로 해석할 수 있다. 반대로, 시간적 분석 결과가 음의 수치를 보이는 시기에는 공간적 분석 결과의 수치를 반대로 해석해야 한다. 공간적 분석 결과에 음과 양의 수치가 함께 존재하는 경우, 즉 교점(x절편, y=0)이 존재하는 경우 해빈 내에서의 퇴적물 순환이 발생한 것으로 해석한다. 만약, 교점이 존재하지 않는다면 해빈 전체에 걸쳐 침식 혹은 퇴적이 발생한 것으로 해석한다. 본 연구에서는 단면적의 편차에 대해 경험고유함수 분석을 실시하였으며, 측선별 단면적 간의 상관관계 분석을 실시하였다. 경험고유함수 분석에 편차를 활용하는 경우 제1주성분이 보다 직접적인 퇴적물 이동에 의한 해빈 변화를 의미하는 것으로 알려져 있다(e.g. Short et al., 2014). 또한, 해안선에 사선으로 발생하는 퇴적물 이동, 해안선과 수직 방향의 프로세스로 인해 해안과 평행한 방향으로 나타나는 퇴적물 이동과 같은 복잡한 현상을 적절하게 반영할 수 있다는 장점을 지닌다(Harley et al., 2011). 백사장 해빈의 릿지와 런넬은 해안선에 사선의 방향으로 형성되기 때문에 자료의 편차를 활용함으로써 백사장 해빈의 특수성에 주목하고자 하였다. 한편, 상관관계분석을 실시하여 개별 측선들 간의 관계를 살펴보았다.
3. 결과 및 토의
1) 측선별 단면적 및 상관관계 분석을 통한 해빈 변화 해석
1번 측선은 첫 측량 이후 단면적이 증가하였으며, 3차시기('12.01.11) 이후 변동성이 크지 않다(표 3, 그림 4). 1기('11년-'12년) 내에서는 첫 측량 이후 2차시기('11.10.18.)와 3차시기('12.01.11.)에 단면적이 증가하였으며, 4차시기('12.04.06.)에 다소 감소하였다. 반면 2기에서는 지속적으로 감소하였으며, 3기에서는 변화량이 매우 작았다. 1번 측선과 달리, 2번과 3번 측선은 전반적으로 감소하는 경향이 존재한다. 2번 측선 1기의 경우 2차시기('11.10.18.)에 단면적이 증가한 이후 지속적으로 감소하였으며, 2기는 변동량이 미미하였다. 3기의 첫 시기('17.02.05)는 2기의 마지막 시기('15.12.15)에 비해 84.8㎡가 감소하였으며, 이후 다소의 변동 이후 마지막 시기('17.11.05)에는 더욱 감소하였다. 3번 측선의 1기는 3차시기('12.01.11.)를 제외하고는 유사한 단면적을 보이며, 2기의 첫 시기('15.03.09.)에 가장 큰 단면적이 관찰되었다. 이후 7차('15.09.14.) 시기에 급격히 감소하였으며, 3기에 들어서면서 65.5㎡가 줄어드는 등 지속적으로 감소하는 형태를 보인다. 측선별 단면적 선형 추세선의 기울기는 각각 2.90, -13.09, -17.71로, 1번 측선에서 다소 증가하였음과 2번과 3번 측선에서 감소하였음을 보여준다. 실제로, 첫 시기와 마지막 시기의 차이를 살펴보면, 1번 측선의 경우 64.2㎡ 증가, 2번과 3번 측선은 각각 123.1㎡, 164.8㎡가 감소하였다.
표 3.
백사장 해빈 측선별 단면적(m2) 및 변이계수(CV)
단면적의 평균은 1번 측선 854.0㎡, 2번 측선 668.8㎡, 3번 측선 701.1㎡로, 2번 측선의 단면적이 가장 적다. 시기별로 살펴보면, 1기와 2기는 2번 측선의 단면적이 가장 적지만, 3기는 2번 측선보다 3번 측선의 단면적이 더 적다. 따라서 백사장 해빈은 2기까지 중앙이 오목한 형태였지만, 2017년에는 북쪽이 가장 높고 남쪽이 가장 낮은 형태였음을 알 수 있다. 전체 측선의 단면적을 합산한 결과는 백사장 해빈의 단면적이 지속적으로 감소하고 있음을 보여준다. 총합의 평균을 보면 1기에서 3기로 가면서 233.5㎡가 감소하였으며, 첫 시기와 마지막 시기를 비교하면 223.7㎡가 감소하였다. 1번 측선의 단면적 증가량이 2번과 3번 측선의 단면적 감소량을 상쇄하지 못한 결과로, 백사장 해빈 외부(정확하게는 측선 외부)로 퇴적물이 유출된 것으로 해석할 수 있다.
개별 기(1기, 2기, 3기)는 4계절로 구성되기 때문에 시기별 변이계수를 살펴보면 해당 시기의 계절적 편차 규모를 확인할 수 있다. 1번 측선의 경우 1기에서 3기로 갈수록 변이계수가 작아져 계절적 편차가 줄어들었음을 알 수 있다. 2번 측선은 2기 때 변이계수가 가장 작으나, 3번 측선은 2기 때 변이계수가 가장 크다. 해빈 전체적으로는 2기 시기에 계절적 편차가 가장 크게 나타났지만, 개별 측선은 각기 다른 계절적 변화를 보였음을 알 수 있다. 특기할만한 점은 1번 측선을 제외하면 개별 시기의 변이계수보다 전체 시기의 변이계수가 크다는 점이다. 2번 측선의 경우 시기별 변이계수가 각각 1.6, 0.8, 1.7이었으나 전체 시기의 변이계수는 7.2로 높게 나타나며, 3번 측선도 유사하다. 이는 2번과 3번 측선의 경우 계절적 지형 변화보다 경년 지형 변화가 더욱 크게 발생하였음을 의미한다.
측선 단면적 간의 상관관계를 분석한 결과 2번과 3번 측선 간에 강한 양의 상관관계가 발견되었다(표 4). 이는 2번과 3번 측선 모두 지속적으로 단면적이 감소하고 있음이 반영된 결과이다. 그러나 1번 측선의 경우 2번 및 3번 측선과 음의 상관관계를 보였으나 통계적으로 유의하지 않았다. 따라서 상관관계 분석 결과는 1번 측선과 2번 및 3번 측선의 직접적인 관계에 대해 보여주고 있지는 않다. 다만, 측선별 단면적 변화와 연계하여 추론하자면 2번 및 3번 측선의 퇴적물이 외부로 유출되었을 가능성이 있음을 의미한다.
표 4.
상관관계 분석 결과
| 1번(북) | 2번(중) | 3번(남) | |
| 1번(북) | - | -0.393 | -0.197 |
| 유의수준 | 0.206 | 0.540 | |
| 2번(중) | -0.393 | - | 0.890** |
| 유의수준 | 0.206 | 0.000 | |
| 3번(남) | -0.197 | 0.890** | - |
| 유의수준 | 0.540 | 0.000 |
2) 항공사진 분석을 통한 사취 변화 해석
2012년부터 2018년까지의 항공사진을 대상으로 백사장 해빈 북측에 위치한 사취의 변화를 파악하였다. 그 결과 연구 시기 전반에 걸쳐 사취가 지속적으로 동쪽 방향으로 이동하면서 말단부가 조수통로와 평행한 방향(동쪽)으로 휘어지는 것을 발견하였다. 또한 사취가 지속적으로 성장하는 모습을 확인하였다(그림 5).
판독된 사취는 총 3개로, 2014년까지는 2개, 2016년 3개, 2018년 2개의 사취가 추출되었다. 2012년 기준 1번 사취의 경우 사취 말단부와 유사하게 동쪽 방향으로 휘어지는 형태가 사취의 중간 부분에 존재하며, 이는 형태상 두 개의 사취가 결합한 것으로 추측된다.2번 사취는 바닷쪽 방향(서쪽)에 위치한다. 2012년과 2014년을 비교하면, 1번과 2번 사취 모두 동쪽으로 이동하였다. 1번 사취의 경우 사취 말단부가 동쪽 방향으로 길어졌으며, 사취 중앙부의 돌출된 지형은 다소 불분명하다. 2번 사취의 경우 북쪽 방향으로 성장하였다. 2016년에는 1번 사취의 형태가 불분명해졌으며, 2번 사취의 말단부가 동쪽으로 매우 길게 존재한다. 사취 남쪽에서 3번 사취가 새롭게 형성되고 있으며, 백사장항으로의 퇴적물 유입을 막기 위한 나무 펜스가 사취를 관통하고 있다. 2018년의 경우 1번과 2번 사취가 분명하게 구분되지 않으며, 3번 사취가 북쪽으로 크게 성장하였다. 이전 시기에 비해 전반적으로 사취가 두터운 형태를 보이지만, 인간의 영향과 자연적 현상이 얼마나 영향을 미친 것인지는 본 연구만으로 판단하기 어렵다.
요약하면 백사장 해빈 북쪽의 사취는 동쪽 방향으로 이동하면서 말단부가 동쪽으로 길게 배열되는 특징을 보이며, 시간이 지속되면서 사취가 성장하고 있는 모습이 관찰된다. 앞서 측선별 단면적 분석과 상관관계 분석을 통해 퇴적물 수지의 불일치를 확인하였으며, 이것이 외부 유출일 가능성이 있음을 제시하였다. 또한, 항공사진 분석 결과를 통해 백사장 해빈 북측에 위치한 사취가 성장하고 있음을 확인할 수 있었다. 따라서 백사장 해빈에서(측선 외부) 외부로 유출되는 퇴적물이 사취로 이동하였을 가능성에 대해 고려해 볼 필요가 있다.
3) 경험고유함수 분석을 통한 퇴적물 이동 패턴 해석
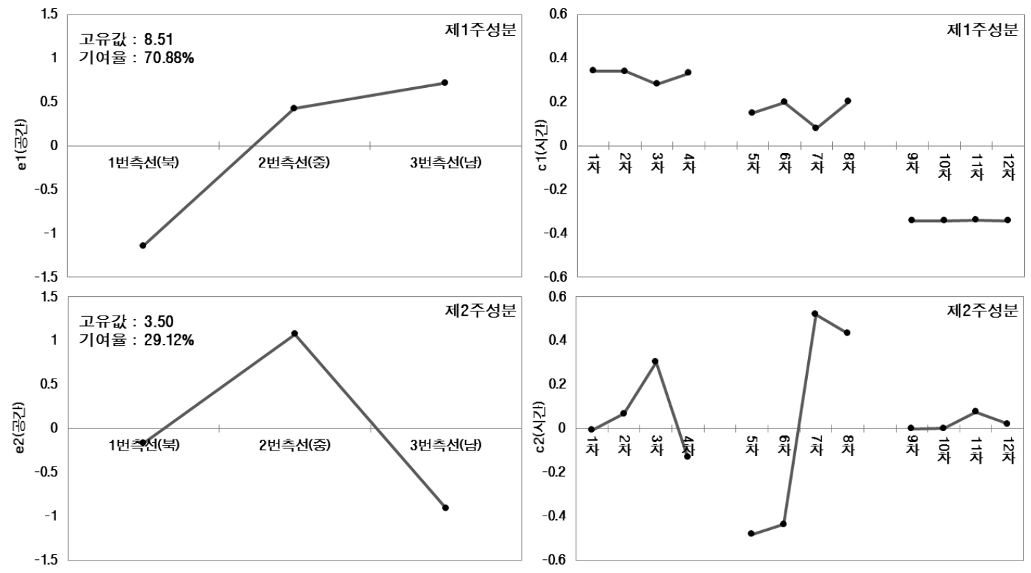
경험고유함수 분석결과 주성분의 기여율은 제1주성분이 70.88%, 제2주성분이 29.12%를 차지하였다(그림 6). 제1주성분과 제2주성분 모두 공간적 분석결과에서 교점(x절편, y=0)이 존재하는데, 해당 패턴은 해빈 내부의 퇴적물 순환이 있음을 의미한다. 시간적 분석결과에서 제1주성분은 지속적으로 감소하는 형태를 보이나, 제2주성분은 변동이 큰 특징을 보인다.
제1주성분은 1번 측선에서 음의 수치(-1.14)를, 2번과 3번 측선에서 양의 수치(0.43, 0.72)를 보였다. 일반적으로 양과 음의 수치가 함께 존재하는 경우, 측선들 사이의 퇴적물 이동인 해빈순환이 발생한 것으로 해석할 수 있다(Harley et al., 2011; Short et al., 2014). 시간적 추이를 보면 8차시기(2015.12.15.)까지는 양의 수치를 보이기 때문에, 북쪽에서 중앙과 남쪽으로 퇴적물 이동이 발생한 것으로 해석할 수 있다. 반면, 9차시기(2017.02.05.)부터는 음의 수치를 보이기 때문에, 중앙과 남쪽에서 북쪽으로 퇴적물 이동이 발생한 것을 의미한다. 이는 상관관계 분석에서 확인한 것처럼 2번 측선과 3번 측선이 긴밀한 관계에 있음을 의미한다. 즉, 제1주성분은 백사장 해빈의 북쪽과 다른 공간과의 퇴적물 이동이 발생하고 있으며, 그것이 특정 시점을 기준으로 방향의 변화가 발생(남향→북향)하는 해빈 순환의 패턴을 보인다고 해석할 수 있다. 시간적 추이를 확인하면 제1주성분은 계절적 지형 변화 패턴보다는 경년 지형 변화 패턴을 주요하게 식별하였다. 계절적 지형 변화 패턴의 특징은 시간적 추이에서 한 기 동안 큰 변화가 발생하는 것으로, 제1주성분의 시간적 추이는 개별 기에 따라 유사한 모습을 보인다. 따라서 측선별 단면적 분석 결과처럼 경년 지형 변화가 주로 식별되었다.
제2주성분은 2번 측선에서 양의 수치(1.07), 3번 측선에서 음의 수치(-0.91)를 보이며, 1번 측선의 경우 -0.17로 0에 가까운 수치를 보인다. 시간적 추이를 보면 4차(2012.04.06), 5차(2015.03.09), 6차(2015.06.05)시기에 음의 수치를 보인다. 양과 음의 수치가 함께 존재하기 때문에 제2주성분도 측선들 사이의 퇴적물 이동이 발생한 것으로 해석할 수 있다. 다만, 제1주성분에서는 북쪽과 다른 공간과의 퇴적물 이동 패턴이 관찰되었다면, 제2주성분에서는 중앙부와 다른 공간과의 퇴적물 이동 패턴이 관찰되었다. 4차시기부터 6차시기까지는 중앙에서 남쪽과 북쪽으로의 퇴적물 이동 패턴이, 그 외의 시기에는 남쪽과 북쪽에서 중앙으로의 퇴적물 이동 패턴이 식별되었다. 이때, 퇴적물 이동은 주로 남쪽과 중앙부 간에 발생하며, 북쪽과 중앙부 간에는 그리 활발하지 않은 것으로 해석할 수 있다. 즉, 제2주성분은 해빈의 중앙부를 기준으로 해빈 순환의 패턴을 보여준다. 시간적 추이를 확인하면 제3기(9, 10, 11, 12차시기)의 경우 거의 0에 가까운 수치를 보이는데, 이는 퇴적물 이동이 거의 발생하지 않았음을 의미한다. 실제로 제3기 동안 3번 측선은 퇴적물이 부족하여 지형 변화의 역동성이 매우 감소하였으며, 해빈 단면 변화가 거의 관찰되지 않았다(김찬웅 등, 2019).
제1주성분과 제2주성분의 시간적 분석 결과는 동일한 지역에서 진행된 선행연구와 매우 유사한 결과이다(김찬웅 등, 2019). 이 연구와 선행연구는 동일한 자료를 공간적으로 다르게 분석하여 해석한 것이기 때문에 시간적 분석결과는 큰 차이가 없다. 이 연구의 제1주성분의 시간적 분석 결과는 선행연구의 제2주성분 분석 결과와 유사하며, 제2주성분 분석 결과는 선행연구의 제3주성분 분석 결과와 유사하다. 다만, 공간적 분석결과와 해석은 큰 차이가 있다. 선행연구에서는 개별 측선별로 분석을 실시하였으며, 따라서 해안선에 수직인 방향으로의 결과가 도출되었다. 그 결과 3가지 주성분이 각 측선별로 도출되었으며, 주성분이 각각 평균 지형 단면, 릿지와 런넬의 위치변화와 관련된 해빈 단면 형태의 이질성, 해빈의 기복감소를 의미하였다. 본 연구에서는 모든 측선을 통합하여 분석하였기 때문에, 백사장 해빈에서 발생하는 지형변화 패턴을 보다 공간적으로 파악할 수 있었다.
4) 종합 해석 및 후속 연구를 위한 제언
단면적 변화 추이와 상관관계 분석결과는 해빈 중앙부와 남쪽의 퇴적물이 북쪽으로 이동하기도 하였지만, 상당수가 백사장 해빈 외부(측선 외부)로 유출되었음을 보여준다. 항공사진 분석 결과는 해빈에서 유출된 퇴적물이 백사장 해빈 북측에 위치한 사취로 이동했을 가능성을 제시한다. 그런데, 경험고유함수 분석에서 식별된 퇴적물 이동 패턴은 백사장 해빈 내부에서 퇴적물이 수렴 및 발산하는 등 해빈 순환이 발생한 것으로 해석할 수 있다. 경험고유함수 분석에서 식별된 패턴을 실제 단면적 변화에서 찾아볼 수 있는 경우를 살펴보았다(표 5). 그 결과 제1주성분의 퇴적물 이동 패턴은 총 4회 식별되었으며, 제2주성분은 총 2회 식별되었다. 해빈 내부에서만 퇴적물 교환이 이루어졌다고 가정할 경우 모든 측선의 변화를 합산한 총 변화량의 수치가 0㎡에 가까워야 하지만, 실제로는 총 변화량의 수치가 높게 나타났다. 따라서 경험고유함수 분석 결과만을 토대로 단순하게 백사장 해빈 내부(측선 내부)에서 퇴적물 순환만이 발생하였다고 하기에는 다소 무리가 있다. 오히려, 모든 결과를 종합하여 해빈 내부에서 일부 퇴적물이 순환하며, 해빈 외부(사취)로 상당수 퇴적물이 유출된 것으로 해석하는 것이 타당할 것이다. 단면적 변화와 경험고유함수 분석은 해빈 내부의 퇴적물 순환을, 단면적 변화와 상관관계 분석 및 항공사진 분석은 해빈 외부로의 퇴적물 유출을 보여주고 있다.
표 5.
측선별 단면적 변화량(m2)
경험고유함수 분석 결과만을 토대로 백사장 해빈과 사취의 지형변화를 판단할 수 없는 이유는 백사장 해빈이 반폐쇄형 해빈이기 때문이다. 먼저, 경험고유함수 분석에서 교점이 존재한다는 이유만으로, 반폐쇄형 해빈에서 해빈 순환이 발생한 것으로 해석하는 것이 적절한지에 대해서 고민해 볼 필요가 있다. 경험고유함수에 대한 선행연구(Harley et al., 2011; Short et al., 2014)에서 해빈순환이라는 용어를 활용하는 이유는 특정 시간 주기의 해빈 폭 변화가 발생하고 있으며, 그것에 대한 패턴이 일정 수준 식별되었기 때문이다. 예를 들면 호주 Narrabeen 해빈을 대상으로 진행된 다수의 연구들은 해빈의 변화를 남방진동(Southern Oscillation Index, SOI)과 관련짓고, 파고와 남방진동이 양의 관계를 보임을 제시하였다(e.g. Short eet al., 2001; Ranasinghe et al., 2004; Short and Trembanis, 2004). 연구 결과에 따르면 폐쇄형인 Narrabeen 해빈은 전반적으로 남방진동의 패턴을 따라 침식되고 퇴적되며, 해빈 내부의 퇴적물 순환이 발생한다.4) 즉, Narrabeen 해빈을 대상으로 경험고유함수 분석을 실시한 선행연구(Harley et al., 2011; Short et al., 2014)에서 활용한 해빈 순환이라는 용어는, 폐쇄형 해빈에서 침식과 퇴적이 주기적으로 발생한다는 의미를 내포한다. 따라서, 폐쇄형 해빈에서 주기적으로 발생하는 침식과 퇴적의 패턴을 지칭하는 용어인 해빈 순환을, 반 폐쇄형인 백사장 해빈을 대상으로 하는 이 연구에 그대로 적용하기에는 다소 무리가 있을 수 있다. 백사장 해빈은 남쪽에 헤드랜드가 존재하지만 북쪽에는 안면도와 육지를 가르는 조수통로가 존재하는 반 폐쇄형으로, 개방된 방향으로 퇴적물의 유출이 발생 할 수 있기 때문이다. 만약, 이 연구에서 경험고유함수 분석 시 사취까지 포함하여 진행할 수 있었다면, 다른 결과가 도출 되었을 수도 있다. 또 다른 측면으로는 시간 스케일을 고려할 필요가 있다. Short et al.(2014)은 Narrabeen 해빈을 대상으로 7년간(2007년-2013년)의 자료를 분석한 결과, 7년간의 분석 결과는 남방진동을 포함하는 38년간(1976년-2013년)의 주기적 해빈 변화를 충분히 설명할 수 없음을 지적하였다. 이 연구는 7년간(2011-2018년)의 자료를 활용하였기 때문에, 해빈 변화의 주기성을 고려하지 못하였다. 즉, 반 폐쇄형 해빈인 백사장 해빈에서 7년의 자료를 바탕으로 진행된 이 연구의 경험고유함수 분석 결과를 일반적인 해빈 순환으로 지칭하기에는 다소 무리가 있을 수 있다.
이 연구는 해빈과 사취를 함께 다룸으로써, 두 지형의 연계성에 주목하였다. 물론, 북측 사취의 실제 측량자료가 존재하지 않는다는 한계점이 존재지만, 단면적 변화 추이와 상관관계 분석을 통해 퇴적물 외부 유출 가능성과 항공사진 분석에서 제시하고 있는 북측 사취의 성장을 연결시키고 있다. 김찬웅 등(2015)은 백사장 해빈의 사취가 해빈의 겨울철 지형변화와 밀접한 관련이 있음을 제시하였다. 백사장 해빈의 런넬을 통해 겨울철 퇴적물이 바다 방향으로 이동한 뒤 사취로 퇴적되며, 이것이 여타 해빈과 다른 백사장 해빈의 특수성일 수 있다고 판단하였다. 이 연구에서도 해빈 내부에서 일부 퇴적물의 순환이 발생하였으며, 해빈 외부인 사취로 상당수 퇴적물의 유출이 발생한 것으로 판단하고 있다. 향후, 퇴적물 순환 공간에 대한 식별을 위해 해빈과 사취를 대상으로 관측 및 실험이 진행될 필요가 있다.5)
한편, 제2주성분의 분석 결과는 일정 수준 검증되었다고 볼 수 있다. 경험고유함수 분석에 의하면, 제2주성분은 해빈 중앙부와 남쪽과의 퇴적물 이동 패턴을 식별하고 있다. 그런데 백사장 해빈의 지형 특징을 고려하면 해빈 남측에서 중앙부로의 전반적인 퇴적물 이동이 발생하는 것으로 해석하는 것은 적절하지 않은 것으로 판단된다. 김찬웅 등(2019)에 따르면, 파랑이 강한 시기에 해빈 상부의 릿지에서 침식된 퇴적물이 하부로 이동하여 퇴적되어 새로운 릿지를 형성한다. 이때 퇴적물의 이동이 해안선에 사선 방향인 런넬을 따라 발생하기 때문에(김찬웅 등, 2015), 해빈의 지형변화가 해안선에 사선의 방향으로 발생하게 된다. 즉, 해빈의 중앙부와 남쪽에서는 계절적 지형변화에 따른 국지적 침식과 퇴적이 발생하였으며, 제2주성분은 이러한 계절적 지형변화 패턴을 식별하고 있는 것으로 판단된다. 이러한 지형 변화는 계절적 스케일에 따른 변화이기 때문에 7년의 자료를 통해 일정 수준 검증되었다고 볼 수 있으며, 따라서 퇴적물 순환이 발생하고 있다고 해석할 수 있다.
4. 결론
이 연구는 백사장 해빈의 지형변화와 해빈 북측 사취의 변화를 동시에 살펴보았다. 3개의 측선을 설치하여 총 12회의 단면 측량을 실시하였으며, 측량 자료 분석, 상관관계 분석, 항공사진 분석, 경험고유함수 분석을 실시하였다. 북측 사취가 측량에 포함되지 않은 한계점은 항공사진 분석을 통해 극복하고자 노력하였다.
단면적 분석 결과 해빈 북쪽은 단면적이 증가한 이후 변동성이 크지 않았으며, 중앙 및 남쪽은 지속적으로 단면적이 감소하였음을 확인하였다. 전체 측선의 단면적을 합산한 결과는 백사장 해빈의 단면적이 지속적으로 감소하고 있음을 보여주는데, 이는 백사장 해빈 외부(측선 외부)로 퇴적물이 유출되었기 때문이다. 변이계수를 살펴보면, 중앙과 남쪽의 경우 계절적 지형 변화보다 경년 지형 변화가 더욱 크게 발생하였다. 상관관계 분석 결과 중앙과 남쪽 간에 강한 양의 상관관계를 발견하였으며, 북쪽과 다른 곳들 간의 유의미한 관계를 발견하지 못하였다. 항공사진 분석 결과 백사장 해빈 북측에 위치한 사취가 지속적으로 동쪽 방향으로 이동하면서, 말단부가 조수통로와 평행한 방향으로 휘어지고 있음을 확인하였다. 특히, 사취가 지속적으로 성장하고 있음을 고려하면, 백사장 해빈 외부(측선 외부)로 유출된 퇴적물이 사취로 이동되었음을 추측할 수 있다. 경험고유함수 분석 결과는 앞선 결과들과는 다르게 제1주성분과 제2주성분 모두 백사장 해빈 내부(측선 내부)에서 해빈 순환이 발생하고 있음을 의미하였다. 제1주성분은 북쪽과 다른 공간과의 퇴적물 이동 패턴이, 제2주성분에서는 중앙부와 다른 공간과의 퇴적물 이동 패턴이 식별되었다.
실제 단면적 변화 추이를 고려하면 경험고유함수 분석만을 가지고 단순하게 백사장 해빈 내부(측선 내부)에서 퇴적물 순환만이 발생하였다고 하기에는 다소 무리가 있다. 오히려, 모든 결과를 종합하여 해빈 내부에서 일부 퇴적물이 순환하며, 해빈 외부(사취)로 상당수 퇴적물이 유출된 것으로 해석하는 것이 타당할 것이다. 단면적 변화와 경험고유함수 분석은 해빈 내부의 퇴적물 순환을, 단면적 변화와 상관관계 분석 및 항공사진 분석은 해빈 외부로의 퇴적물 유출을 보여주고 있다. 경험고유함수 분석만을 가지고 지형변화를 판단할 수 없는 이유는 백사장 해빈이 반폐쇄형 해빈이기 때문이다. 해빈 순환을 지칭하는 교점의 존재를 다룬 선행연구들이 폐쇄형 해빈에서 장기간의 자료를 바탕으로 진행된 연구임을 고려하면, 반 폐쇄형 해빈인 백사장 해빈에서 7년의 통해 식별된 제1주성분의 퇴적물 이동 패턴을 해빈순환으로 단언하기에는 다소 무리가 있을 수 있다. 엄밀한 의미에서 해빈 순환을 확인하기 위해서는 해빈 퇴적물이 순환하는 공간에 대한 식별이 필요하다. 이 연구는 해빈과 사취를 함께 다룸으로써, 두 지형의 연계성에 주목하였다. 한편, 제2주성분 분석 결과는 해빈의 중앙부와 남쪽에서 발생하는 계절적 지형변화에 따른 국지적 침식 및 퇴적과 계절적 지형변화 패턴을 식별하고 있는 것으로 판단된다. 해당 지형 변화는 계절적 스케일에서 발생하기 때문에, 일정 수준 검증되었다고 볼 수 있다.
이 연구는 백사장 해빈 단면적 감소, 퇴적물 외부 유출(측선 외부), 북측 사취의 성장, 퇴적물 이동 패턴의 식별 등을 종합적으로 확인하여 해빈과 사취를 연계하여 해석하였다. 지형의 기복과 퇴적물 이동이 복잡한 백사장 해빈과 사취의 지형변화 해석에 단면적의 편차를 이용한 경험고유함수 분석을 적용해 보았다. 다만, 일부 풀리지 않은 문제들을 해결하기 위해 향후 보다 긴 시간규모에서의 연구가 진행될 필요가 있다.
주
1) 위도 : 36.5369 경도 : 126.2981
2) Fuzzy K-means는 화소 기반의 무감독 지표피복 분류 기법 중 하나로, 연구자가 유형(class) 수와 분류 수행 횟수를 지정하면 각 화소가 어떤 유형으로 분류되는지에 대한 확률 분포를 도출할 수 있다. 따라서 조차가 큰 황해에서 간석지와 해빈 또는 사취처럼 유형 분류가 다소 모호한 지역에서 일반적으로 활용하는 K-means 지표피복 분류 기법보다 높은 정확도를 기대할 수 있다(Burrough et al., 2000; Yim et al., 2018).
3) 보다 자세한 분석 방법은 Winant et al.(1975), Larson et al.(1999), Harley et al.(2011)의 문헌을 추천한다. Winant et al.(1975)은 선구자적 의미가 있으며, Larson et al.(1999)은 2차원 분석을 실시하였으며, Harley et al.(2011)은 편차를 활용하였다.
4) 타 지역에서 진행된 해빈 변화에 특정 시간 주기가 있음을 언급하는 연구들도 존재한다. 예를 들어 미국 서부 캘리포니아에서 태평양 진동(Pacific Decadal Oscillation, PDO)과 해빈 지형의 관계를 밝힌 Zoulas and Orme(2007)의 연구가 대표적이다. 우리나라와 근접한 국가로는, 일본에서 진행된 Kuriyama et al.(2012)의 연구가 존재한다.
5) ‘해빈 순환’을 확인하기 위한 또 다른 측면으로는, 서해안의 파고에 영향을 미치는 기후 진동이 무엇인지를 적절한 시간 규모에서 파악할 필요가 있다. 호주 남서부의 남방진동, 미국 서부의 태평양진동처럼, 서해안의 파랑에 유효한 영향을 미치는 기후 진동 혹은 기후 패턴을 식별하고, 해빈과의 관계를 파악할 필요가 있다. 또한, 보다 긴 시간규모의 해빈 자료도 수집할 필요가 있다. 현재 국가 차원에서 연안침식 모니터링, 해양 생태계 종합 조사 등을 통해 해빈 자료를 수집 중에 있다. 향후에도 이러한 조사를 지속할 필요가 있으며, 특히, 조사 대상 해빈, 대상 측선, 방법 등에 대한 일관성 있는 기준을 적용하여 자료의 신뢰성을 높일 필요가 있다.








