1. 서 론
2. 이론적 배경
1) 생태관광
2) 전통적 IPA와 수정된 IPA
3. 연구내용 및 방법
1) 연구대상지
2) 선택속성 및 설문지 구성
3) 연구체계
4) 표본의 데이터 수집과 분석방법
4. 분석 결과
1) 인구통계학적 특성
2) 타당성 및 신뢰성 검증
3) 전통적 및 수정된 IPA 기초분석 결과
4) 수정된 IPA 기법 비교 분석 결과
5. 결론 및 제언
1. 서 론
생태관광은 초기 대중・대량 관광산업의 일부 무분별한 개발 방식으로 야기된 부정적 문제들을 인식한 결과로 등장하게 된 대안관광의 일환이다(장민숙・김근호, 2018). 또한, 2019년 전 세계로 확산된 COVID-19로 인해 대안관광의 형태는 더욱 다양해졌으며 생태관광에 대한 수요도 증가하였다(이윤희, 2020). 생태관광지 활성화를 위한 정부의 노력과 관련하여 환경부는 환경적으로 보존 가치가 인정될 뿐만 아니라 생태적 환경을 체험할 가치가 있는 곳을 ‘생태관광지역’으로 2013년부터 지정하였으며 2024년 기준 전국에 총 40곳이 지정되었다(환경부, 2025). 제주특별자치도의 경우 ‘행복을 키우는 청정휴양 관광도시’를 비전으로 수립하여 생태관광 활성화를 추진하기도 하였다(제주관광학회, 2019).
생태관광 분야 주요 선행연구의 성과를 살펴보면 대중 관광객과 차별화되는 생태관광지 방문객의 특성을 분석한 연구(김선영 등, 2007; 이귀옥, 2000; 이호영・오충현, 2012; Juric et al., 2002), 생태관광지 방문객의 만족도, 재방문 의도, 추천의도 등 방문객의 내심적 요인에 대한 분석(노용호, 2004; 이리우 등, 2015; Reynolds and Braithwaite, 2001), 지속가능한 생태관광지 활성화를 위한 생태관광 프로그램, 정책 등에 대한 고찰을 통한 생태관광지 활성화 방안 연구(문창현, 2007; 최영국・임상연, 2005; Fennell, 2003; Honey, 2008; Rinzin et al., 2008), 생태관광 프로그램에 대한 사례 분석 및 개선 방안 연구(고은영・김태호, 2003; 여호근 등, 2009), 생태관광객의 동기, 계획행동이 행동의도에 미치는 영향, 생태관광 환경해설이 환경의식 및 관광태도에 미치는 영향 등 생태관광객의 방문을 결정하는데 영향을 미치는 요인 분석(문창현, 2009; 신현규, 2013; 정지윤, 2022; Meric and Hunt, 1998; Wearing and Neil, 2009) 등이 이루어졌다. 이처럼 생태관광 분야 선행연구는 방문객의 내부적 요인이라 할 수 있는 가치, 인식, 경험, 동기 등 감정적 또는 심리적 요인들이 그들의 생태관광지 방문을 결정짓는데 미치는 영향을 다각적으로 분석하거나 생태관광 프로그램, 생태관광 해설과 같은 외부적 요인이 방문객에게 미치는 유의미한 영향 관계를 규명한 것을 알 수 있다.
반면, 생태관광지를 구성하는 외부적 속성들이 방문객들의 생태관광지 방문을 결정하는데 미치는 영향관계에 대한 연구는 미흡한 실정이다. 이와 관련한 선행연구를 살펴보면 국립공원 생태탐방원의 속성에 대한 만족요인(김난영 등, 2024), 섬 생태관광지 매력요인(이진의・강신겸, 2013), 생태관광 매력성 평가(박경호, 2009) 등이 연구되었다. 이처럼 생태관광 선택속성들이 방문객에게 미치는 영향에 관한 연구들은 대체로 IPA(Importance - Performance Analysis) 기법을 바탕으로 선택속성에 대하여 방문객이 인식하는 중요도와 만족도를 분석하였다. 그러나 생태관광의 다양한 유형들을 고려할 때 생태관광 유형에 따라 그 속성들이 상이할 수 있고 그 속성들이 방문객에게 미치는 영향 관계 역시 다양할 수 있으나 생태관광 유형별로 다각적인 연구는 미흡한 것으로 확인된다. 이에, 본 연구의 목적은 아직 선택속성에 대한 연구가 미흡한 오름 기반의 생태관광지를 대상으로 선택속성을 도출하고 이에 대하여 방문객이 인식하는 중요도와 만족도에 미치는 영향을 분석함으로써 생태관광지 선택속성에 대한 연구의 범주를 확대하는데 기여하고자 한다. 이를 위해 본 연구는 IPA를 적용하고자 한다. IPA는 서비스 또는 상품의 속성에 대하여 고객이 인식하는 사전 중요도(기대)와 사후 성취도 또는 만족도(평가) 간의 차이를 비교함으로써 해결해야 할 사안들의 우선순위를 결정하는데 유용한 정보를 제공한다고 할 수 있다(Martilla and James, 1977).
따라서 본 연구는 선행연구를 기반으로 하여 궁극적으로는 오름 기반의 생태관광지 선택속성들을 도출하고 전통적 및 수정된 IPA 결과를 바탕으로 생태관광지 개발과 관리에 필요한 생태관광지 속성들을 구체적으로 규명하고자 한다. 이를 위해 오름 기반의 생태관광지 선택속성에 대하여 방문객이 인식하는 중요도 및 만족도를 구체적으로 분석함으로써 아직 연구가 미흡한 오름 기반의 생태관광지를 개발하고 관리하는데 필요한 선택속성들 간의 우선순위를 규명할 수 있는 새로운 이론적 모델과 실질적인 시사점을 제시하고자 한다.
2. 이론적 배경
1) 생태관광
생태관광과 관련한 주요 선행연구는 본 연구의 서론에 논의된 바와 같이 다양한 측면에서 연구되어 왔다. 생태관광의 시작에 대하여 Wallace(1992)는 Hetzer(1965)가 생태적 관광(ecological tourism)이라는 용어를 대안관광의 개념으로 사용한 사례를 그 시초로 설명하였다. 이후 Ceballos- Lascuraim이 1983년 미국 내 홍학 번식지로 널리 알려진 유카탄(Yucatan)의 습지를 보호하는 사회운동을 전개하면서 생태관광이라는 개념을 사용하기 시작하였다(Ceballos- Lascurain, 1987; 김진・고동완, 2011).
한국의 경우 1990년대 이후 생태관광이 대중적으로 인식되었고 ‘습지보전법’에 처음 공식 개념으로 명시되었다. 생태관광에 대하여 다양한 개념들이 논의되었으나 대체적으로 관광지역의 자연환경을 보존하면서 관광과 환경 간의 상호 균형, 조화, 의존관계를 중요시하는 대안관광이라 할 수 있다(선셋별, 2017). 또한 생태관광은 지역주민의 참여를 확대함으로써 지역의 경제적 이익에 기여할 뿐만 아니라 교육 및 해설 기능을 강화함으로써 관광지역의 사회・문화적 가치에 대한 인식을 증진 시키는 것까지 고려한다는 점에서 차별성을 갖는다고 할 수 있다(김진・고동완, 2011).
2) 전통적 IPA와 수정된 IPA
(1) Martilla and James(1977)의 전통적 IPA
IPA(Importance-Performance Analysis)는 Martilla and James(1977)에 의해 처음 도입된 개념이다. Martilla and James(1977)의 전통적 IPA는 중요도를 의미하는 소비자의 사전 기대치와 만족도를 나타내는 사후 성취도를 분석하는 기법으로서 소비자가 중요하게 인식하는 속성과 그 속성을 공급자가 어느 정도 만족시켰는가를 직접적으로 비교하는 개념이라 할 수 있다. 전통적 IPA 방식은 2차원의 격자를 구성하여 Y축은 만족도, X축은 중요도로 설정하여 중요도와 만족도 각각의 전체 평균값을 기준으로 사분면을 구분하고 각 속성을 사분면의 매트릭스에 시각화하는 방식으로서 각 분면이 의미하는 내용은 그림 1과 같다.
I 사분면은 ‘유지필요’ 영역으로서 중요도 및 만족도가 높은 속성들이다. 이러한 속성들에 대해서는 현재 높은 수준을 지속해야 할 필요가 있다고 해석되는 영역이다. II 사분면은 ‘과잉 영역’으로서 중요도가 낮은 반면 만족도는 높은 것으로 해석된다. 이는 큰 중요성이 없음에도 이미 잘 운영 또는 수행되고 있어 추가적인 개선 노력은 과도하다고 해석될 수 있다. III 사분면은 ‘낮은 우선순위’ 영역으로 분류되며 중요도 및 만족도가 모두 낮은 것으로 해석되어 이 속성들에 대한 개선은 우선순위에 해당하지 않는다. 마지막으로 IV 사분면은 ‘집중 필요’ 영역으로 분류되며 중요도가 높은 반면 만족도는 낮은 영역으로서 이 부분에 대하여 자원을 집중하여 개선할 필요성이 요구됨을 의미한다(김정훈, 2011; O’Neil et al., 2001; Wang et al., 2019).
그러나 Martilla and James(1977)의 전통적 IPA 기법은 중요도와 만족도의 개별 변수가 서로 독립적이어야 하고 독립변수와 응답 참여자 사이의 평가는 전체적으로 선형 관계가 있어야 함을 가정하고 분석이 이루어진다. 그러나 실제 응답을 진행하는 과정에서 중요도와 만족도에 대한 응답 사이에 상호 작용이 발생하여 편향된 결과가 초래될 가능성이 있기 때문에 위 설명한 가정이 성립하지 않을 수 있음이 지적되었다. 이로 인해 IPA 매트릭스에 분포된 속성들 대부분이 I사분면과 III 사분면에 편중되어 결과가 왜곡되는 현상이 발생할 수 있다 (Matzler et al., 2004). 이에 따라 수정 IPA 분석 방식이 일부 학자들에 의해 제안되었다.
(2) Vavra(1997)의 수정된 IPA
Vavra(1997)가 제시한 수정된 IPA는 중요도 점수 산출을 직접적으로 측정하는 방식이 아닌 내재적 중요도를 산출하는 방식이다. 이는 개별 속성에 따라 산출된 “명시적 중요도(explicit importance)”와 전반적인 만족도에 대하여 다중회귀분석을 바탕으로 한 회귀계수를 분석하여 산출한 “내재적 중요도(implicit importance)”를 각각 X축과 Y축으로 설정한다. 이를 바탕으로 각각의 속성들에 대한 내재적 중요도와 명시적 중요도의 평균값들을 교점으로 하여 각 사분면에 속성들을 위치시켜 분석하는 방식으로써 이는 그림 2에 설명된 바와 같다. X축인 명시적 중요도는 설문 응답자가 직접 문항에 응답한 중요도이고 Y축인 내재적 중요도는 실행요소를 독립변수로 지정하고 전반적 중요도를 종속변수로 설정하여 다중회귀분석 실시 후 회귀계수를 구하는 방식이다. II 사분면은 매력적 품질요소로서 명시적 중요도는 낮은 반면 내재적 중요도가 높은 영역으로 고객을 자극할 수 있는 항목이라 할 수 있다. 기본적 요소라 할 수 있는 당연 품질 요소인 IV 사분면은 명시적 중요도는 높으나 내재적 중요도가 낮은 영역으로 기초적인 요인이라 할 수 있다. 실행요인이라 평가받는 I 사분면 및 III 사분면과 관련하여 I 사분면은 명시적 중요도 및 내재적 중요도 모두 높아 중요한 성취 요인이라 할 수 있고 III 사분면은 명시적 중요도와 내재적 중요도가 낮아 속성들의 중요성이 낮은 성취요소라 할 수 있다. 이러한 Vavra(1997)의 수정된 IPA는 다양한 분야에 적용되어 검증되었다(김수연 등, 2022; Mengting, 2024). 그러나 이러한 방식은 속성들 사이에 다중공선성이 존재할 수 있음이 한계로 지적되었다(Matzle et al., 2004).
(3) Deng(2007)의 수정된 IPA
Vavra(1997)의 수정된 IPA에 제기되는 한계에 대하여 Deng(2007)이 수정된 IPA를 제시하였는데 이는 내재적 중요도를 산정할 때 회귀분석을 적용하는 것이 아닌 편상관계수를 활용하는 방식이다. Deng(2007)이 제안하는 수정된 IPA 적용은 다음과 같은 절차적 단계를 진행한다. 우선 변수의 민감도를 최대한 포착하기 위해 각 속성에 대한 자연로그 변환을 시행하여 각 속성의 성취도 값과 전반적인 성취도 값 사이의 편상관분석을 시행한다. 이를 바탕으로 도출된 편상관계수는 각 속성별로 내재적 중요도로 적용되어 X축을 구성하게 된다. Y축은 직접 측정한 만족도를 적용하여 구성한다. 이렇게 구성된 X축과 Y축을 바탕으로 격자를 구성하며 각 축의 전체에 대한 평균값을 기준으로 사분면을 구성한 후 각 속성별로 산정되는 내재적 중요도 값과 만족도 값에 따라 속성들을 사분면에 위치시키다. 이러한 과정을 거쳐 나타나는 사분면 내에서의 속성들의 위치에 따라 그 의미를 분석할 수 있다. 이러한 Deng(2007)의 수정 IPA를 통한 매트릭스 해석 방식은 위에 서술한 Martilla and James(1977)의 전통적 IPA 매트릭스 해석 방식과 동일하다. 단, 전통적 IPA는 중요도와 만족도 모두 직접 평가받았다면 Deng(2007)의 수정된 IPA에서는 만족도만을 직접 평가받고 이를 바탕으로 상대적 중요도를 유추하여 X축으로 활용하였다는 점에서 차이가 있으며 이는 그림 3과 같이 정리할 수 있다(손지군・한주형, 2024). 이러한 Deng(2007)의 수정된 IPA는 다양한 분야에서 선택속성을 검증하기 위해 적용되었다(김정훈, 2011; 손지군・한주형, 2024; Menting, 2024).
(4) 전통적 IPA 및 수정된 IPA 분석
본 연구는 전통적 및 수정된 IPA 방식 모두 적용하고자 한다. 선행연구를 살펴보면 전통적 IPA를 활용한 연구(부창산, 2019; 송기희, 2016; Zhao and Wang, 2017), 전통적 IPA와 수정된 IPA를 비교 분석한 연구(김동훈 등; 2022; 원김프엉 등, 2021; 윤보영・김형곤, 2023) 그리고 Vavra와 Deng의 수정된 IPA 기법을 비교 분석한 연구(박지현・최형민, 2023; 이희진・한주형, 2024) 등 전통적 및 수정된 IPA를 다각적으로 활용한 사실을 알 수 있다. 선행연구를 살펴보면 IPA 기법이 내포한 한계에 대하여 비판적 시각도 있으나 현재까지 IPA 기법들에 대하여 어떠한 기법이 가장 유효한 기법인지 명확하게 합의되지는 않았으며 연구 주제, 성격 등을 고려하여 연구자가 선택적으로 접근할 것을 권고하고 있다(윤보형・김형곤, 2023; 이희진・한주형, 2024). 다만, 전통적 또는 수정된 IPA를 복합적으로 적용하여 그 결과를 비교 분석한 선행연구들은 대체로 IPA 결과 공통적으로 도출된 속성들을 바탕으로 그 연구 결과와 시사점을 도출하였다(김동훈 등, 2022; 원김프엉 등, 2021; 이희진・한주형, 2024). 아울러, Vavra와 Deng의 수정된 IPA 기법을 적용하여 비교 분석한 선행연구와 관련해서 일부 연구에서는 두 기법에 따른 결과상의 큰 차이가 없음을 확인하였고(윤설민・홍민정, 2023) 일부 다른 연구에서는 두 기법에 따른 결과상에 다소 차이가 있음을 규명하였다(박지현・최형민, 2023).
이러한 IPA 비교 분석과 관련하여 오민재・류재숙(2016)은 인천 차이나타운 관광매력성 평가를 위해 전통적 및 수정된 IPA 활용 결과를 비교하면서 Vavra와 Deng의 수정된 IPA 분석 결과가 동일하지 않았으며 두 가지의 수정된 IPA 기법들 중 어느 한쪽이 절대적으로 더 적합하다고 판단할 수 없다고 확인하였다. 또한, 이은용・전유경(2016)은 Vavra의 IPA 기법은 다중공선성이 발생할 가능성도 있지만 세밀한 시사점을 도출하기에 적합한 분석기법이며 다중공선성 발생 가능성만으로 분석기법 자체를 부정할 수 없다고 주장하였고 김동훈 등(2022)은 이러한 주장을 고려하여 전통적 및 수정된 IPA를 비교 분석하였다. 이들의 연구에서는 전통적 IPA 결과가 왜곡되지 않아 전통적 IPA와 Vavra 및 Deng의 수정된 IPA 모두 적용하여 그 결과를 비교 분석하였고 세 가지 IPA의 매트릭스 결과가 공통되는 속성들을 중심으로 시사점을 도출하였다.
본 연구는 Martilla and James의 전통적 IPA와 Vavra 및 Deng의 수정된 IPA 기법 모두 적용하여 생태관광지 속성들을 분석하고자 하였다. 다만, 선행연구에서 전통적 IPA 기법에 대한 한계로 지적된 바와같이 중요도 및 만족도 사이에서 속성들에 대한 독립성이 유지되지 못하여 대부분의 속성들이 매트릭스 I사분면과 III 사분면에 편향되게 위치한 왜곡된 결과가 도출될 경우에는 전통적 IPA 기법의 한계를 확인한 것으로서 비교 연구에서 배제하고 수정된 IPA 기법만을 비교 분석하여 결과를 도출하고자 한다. 이와 관련하여 윤보형・김형곤(2023)의 연구에서도 전통적 IPA와 수정된 IPA를 적용하여 그 결과를 비교 분석하고자 하였으나 전통적 IPA 결과가 왜곡되어 전통적 IPA 결과를 비교 분석에서 제외하고 수정된 IPA 기법만을 활용하여 결과를 도출하였다.
이러한 분석 접근을 통해 본 연구는 생태관광지 선택속성과 관련하여 선행연구에서 확인된 전통적 IPA의 한계가 존재하는지 여부를 확인하고자 한다. 또한, IPA 기법 간에 결과의 유사성을 고찰하고 선행연구에서 적용된 분석 방식과 같이 IPA 결과가 공통적으로 도출된 속성들을 바탕으로 연구 결과 및 시사점을 제시함으로써 연구 목적을 달성하고자 한다.
3. 연구내용 및 방법
1) 연구대상지
제주는 생태적 가치가 높은 천혜의 화산생태 자원을 바탕으로 제주만의 독특한 생태관광 발전 가능성이 높은 지역이라 할 수 있다. 지리적으로 제주지역 전반에 걸쳐 형성되어 있는 소형 화산체 오름들은 원시 화산 생태계의 보고일 뿐만 아니라 생태관광 자원으로서 가치는 매우 높다고 할 수 있다(고은영・김태호, 2003; 기진석 등, 2016). 따라서 오름의 가치에 대한 이해를 증진하고 지속가능한 생태관광 자원 개발과 관리로 이어질 수 있는 방안에 대한 연구는 충분히 그 필요성이 인정된다고 할 수 있다.
본 연구의 조사대상지는 제주를 대표하는 오름이라 할 수 있는 거문오름이다. 거문오름은 2007년 6월 27일 뉴질랜드에서 개최된 제31차 세계유산위원회에서‘제주화산섬과용암동굴(Jeju Volcanic Island and Lava Tubes)’을 세계자연유산으로 등재할 당시 한라산천연보호구역, 성산일출봉응회구와 함께 세계자연유산으로 등재되었다. 또한, 거문오름은 환경부에서 선정한 생태탐방명소 20선(2009년), 한국형 10대 생태관광 모델(2010년)에 선정되었다. 아울러, 2010년 제주도 전체가 세계지질공원으로 인증됨으로써 검문오름은 세계지질공원의 주요 명소 중 하나라 할 수 있다(기진석 등, 2016). 이러한 거문오름의 용암동굴계 분포도는 그림 4와 같다. 이처럼 그 생태적 가치를 국내・외로 인정받은 거문오름 방문객을 대상으로 실증분석을 시행함으로써 위에서 설명한 연구 목적을 충족할 수 있는 연구 결과와 시사점을 제시하고자 한다.
2) 선택속성 및 설문지 구성
본 연구는 거문오름 방문객의 특성을 확인하기 위한 인구통계학적 설문 문항을 구성하였다. 또한, 선행연구를 바탕으로 생태관광지의 선택속성들을 도출하고 공통되는 5개의 요인으로 분류하였으며 IPA 측면에서 선택속성에 대한 중요도와 만족도를 평가할 수 있는 설문 문항을 구성하였다. 선행연구를 바탕으로 도출한 생태관광지의 5가지 선택속성 요인은 다음과 같다. 첫째, 생태관광지 자연 생태계를 구성하는 요소를 의미하며 생태관광지의 지속가능성을 위한 핵심적 요소라 할 수 있는 ‘관광자원 및 환경’, 둘째, 방문객들에게 해당 생태관광지의 방문 경로 안내, 정보 제공, 안전 확보 등 다양하게 지원되는 요소들을 포괄하는 의미로서 생태관광의 성공적인 운영에 필수적일 뿐만 아니라 생태관광 품질 향상에 기여하는 ‘정보 및 안내 서비스’, 셋째, 생태관광지의 자연환경을 체험하고 경험할 수 있는 기회를 제공함으로써 생태관광지의 자연환경과 방문객의 조화를 이끌어내는 ‘체험요소 및 프로그램’, 넷째, 생태관광지에서 방문객의 경험 및 체험과 자연환경 보호를 보장하고 생태관광지 방문을 용이하게 하여 원활한 생태관광지 운영과 관리에 중요한 요인이라 할 수 있는 ‘시설관리 및 접근성’, 다섯째, 생태관광지의 환경보호, 방문객 교육, 지역사회 기여, 체험 기회 제공 등 생태관광의 다양한 요소들을 통해 생태관광의 지속가능성을 보장하고 관광객의 만족도와 재방문 의지를 제고하는데 기여하는 ‘운영관리 서비스 품질’로 구분된다(권은정 등, 2012; 민일식・이용철, 2015; 박경호, 2009; 백재봉・김동필, 2013; 부창산, 2019; 이주희・배민기, 2006; Ku and Mak, 2017; Simon et al., 2020).
이러한 요인별로 중요도와 만족도를 측정하기 위한 설문 문항은 다음과 같다. ‘관광자원 및 환경’ 요인의 ①번 문항 자연 경관미, ②번 문항 생태 매력물의 다양성, ③번 문항 쾌적한 자연환경, ④번 문항 탐방 안전성 및 ⑤번 문항 생태・자연 환경보존성(권은정 등, 2012; 백재봉・김동필, 2013; 부창산, 2019; Simon et al., 2020), ‘정보 및 안내 서비스’요인의 ⑥번 문항 안내정보 서비스의 다양성, ⑦번 문항 홈페이지 등 인터넷을 통한 정보유용성, ⑧번 문항 탐방/프로그램 예약안내 정보의 편의성, ⑨번 문항 직원/해설사의 적절한 안내 및 ⑩번 문항 안내/소개 내용의 적정성(민일식・이용철, 2015; 부창산, 2019; 이주희・배민기, 2006; Ku and Mak, 2017),‘체험요소 및 프로그램’요인의 ⑪번 문항 탐방로 이용의 편리성, ⑫번 문항 탐방로 체험의 다양성, ⑬번 문항 프로그램/체험요소의 다양성, ⑭번 문항 안내직원/해설사의 전문성 및 ⑮번 문항 프로그램/체험을 위한 시설적합성(박경호, 2009; 부창산, 2019; Simon et al., 2020), ‘시설관리 및 접근성’ 요인의 ⑯번 문항 편의시설의 적정성, ⑰번 문항 방문 위한 교통수단 편리성, ⑱번 문항 주차시설의 편리성, ⑲번 문항 방문 소요거리, 시간 등 접근성 및 ⑳번 문항 안내시설의 적정성(백재봉・김동필, 2013; 부창산, 2019; 이주희・배민기, 2006; Caber et al., 2012), ‘운영관리 서비스 품질’요인의 ㉑번 문항 직원/해설사의 태도 및 자세, ㉒번 문항 체계적인 지원 서비스, ㉓번 문항 직원의 충분한 업무지식/전문성, ㉔번 문항 요청/불편사항 처리서비스 및 ㉕번 문항 해설사의 설명력 수준(권은정 등, 2012; 민일식・이용철, 2015; 박경호, 2009; 부창산, 2019; Simon et al., 2020)으로 각 요인별로 5가지 선택속성 문항, 총 25개의 선택속성 문항들로 설문을 구성하였고 각 문항은 Likert 척도를 1점에서 5점으로 구성하여 진행하였다.
3) 연구체계
본 연구는 위 이론적 고찰에서 설명한 Martilla and James (1977)의 전통적 IPA와 Vavra(1997) 및 Deng(2007)의 수정된 IPA 기법 모두 적용하여 분석을 진행하였다. 이를 위해 거문오름 생태관광을 마친 방문객을 대상으로 수집한 설문조사를 바탕으로 실증분석을 진행하였다. 또한 분석에 앞서 선행연구에서 지적한 전통적 IPA 기법의 한계로 인한 결과의 왜곡이 발생하는지도 검토하였다. 분석 방식은 선행연구에 근거하여(김동훈 등, 2022; 이희진・한주형, 2024) 속성들에 대한 IPA 기법별로 분석 결과가 동일한 속성들을 중심으로 연구 결과와 시사점을 제시하고자 하였다. 이를 위한 연구 체계는 그림 5와 같다.
4) 표본의 데이터 수집과 분석방법
설문조사는 본 연구의 공간적 범위인 제주 거문오름의 탐방로 입구에서 탐방을 마친 방문객을 대상으로 진행하였다. 조사는 2024년 11월 30일부터 2024년 12월 29일까지 진행되었다. 설문은 설문 목적과 항목별 의미에 대한 충분한 사전 교육을 받은 2명의 조사원과 연구자가 진행하였다. 거문오름 현장에서 시행된 설문조사에서 모집단의 표본추출 방식은 단순 무작위 추출로써 비확률 표본추출 방법의 하나인 편의적 표본추출 방법을 적용하였으며 설문지는 응답자가 직접 기입하는 방식으로 작성하였다. 설문조사는 거문오름 탐방이 운영되는 오전 9시부터 오후 4시까지 진행하였으며 겨울이었으나 탐방객의 거문오름 방문은 꾸준히 이어졌다. 수집된 설문지 총 330부 중 응답에 오류가 있는 11부를 제외한 총 319부를 통계분석에 사용하였다.
수집된 자료는 SPSS 26.0을 이용한 빈도분석을 통해 연구 대상의 일반적 특성을 분석하였으며 선택 속성에 따른 측정 변수들에 대하여 타당성과 신뢰도 분석을 통한 검증을 실시하였다. 또한 Martilla and James (1977)의 중요도 및 만족도에 따른 전통적 IPA 분석을 위해 대응표본 t-test를 적용하였고 Vavra(1997)의 수정된 IPA 분석은 내재적 및 명시적 중요도를 도출하기 위해 회귀분석이 이용되었으며 Deng(2007)의 수정된 IPA 분석은 절대적 만족도에 따른 상대적 중요도를 산출하기 위해 편상관분석을 실시하였다.
4. 분석 결과
1) 인구통계학적 특성
본 연구 대상자 319명의 인구통계학적 특성은 다음과 같다. 성별은 남성 135명(42.3%), 여성 184명(57.7%) 이었다. 연령은 20대 11명(3.4%), 30대 42명(13.2%), 40대 59명(18.5%), 50대 113명(35.4%), 60대 71명(22.3%), 70대 이상 23명(7.2%) 이었다. 거주지는 서울/인천/경기 161명(50.5 %), 부산/울산/경남 37명(11.6%), 대구/경북 28명(8.8%), 대전/충청 25명(7.8%), 광주/전라 20명(6.3%), 강원 7명(2.2%), 제주 41명(12.9%) 이었다. 동반인은 혼자 31명(9.7%), 가족/친척 183명(57.4%), 연인 6명(1.9%), 친구/동료 96명(30.1%), 기타 3명(0.9%) 이었다. 거문오름 정보수집처는 TV/신문/잡지 21명(6.6%), 인터넷 146명(45.8%), 주변 사람 권유 129명(40.4%), 기타 23명(7.2%) 이었다.
본 연구는 거문오름 방문객의 일반적인 특성만을 조사하였다. 거문오름 생태관광지 탐방은 인터넷을 통한 사전 예약 없이는 탐방이 불가하고 매주 화요일은 자연 휴식의 날로 탐방 금지, 물 이외의 음식물 반입 금지, 굽이 있는 신발 및 등산스틱 이용 금지, 반려동물 동행 금지, 생태해설사 의무 동반 등 탐방에 여러 제한 요소들이 존재한다(세계자연유산센터, 2025). 그럼에도 불구하고 거문오름을 탐방하는 방문객은 이미 생태관광에 대한 관심이 높고 그 가치를 충분히 인식하는 수준 높은 생태관광객으로서의 특성이 인정된다고 할 수 있다. 또한 본 연구의 핵심 목표는 거문오름을 탐방하는 방문객들이 탐방을 마치고 일반적으로 거문오름에 대하여 인식하게 되는 중요도 및 만족도에 대한 분석이다. 이에, 방문객에 대한 일반적 특성 이외에 특별히 다른 특성을 규명하지 않았다.
2) 타당성 및 신뢰성 검증
연구를 위해 생태관광지 선택속성을 측정하는데 사용한 설문 문항들이 생태관광의 개념을 정확하게 반영하고 있는지 알아보기 위해 탐색적 요인분석과 함께 신뢰도 분석을 통해 설문 문항의 타당도를 검증하였다. 탐색적 요인분석 관련 KMO (Kaiser-Meyer-Olkin) 및 Bartlett의 구형성 검증을 통해 탐색적 요인분석을 실시하기에 적절한지 먼저 확인하였으며, 주성분법과 직교회전인 배리맥스를 이용하여 요인을 추출하였다.
1차 탐색적 요인분석 결과 ‘체험요소 및 프로그램’을 측정한 ⑭번 문항의 요인 적재치는 .290으로 매우 낮게 나타나 ⑭번 문항을 제거하였다. ‘운영관리 서비스 품질’ 요인의 ㉔번 문항인 요청 및 불편 및 요청사항 처리 서비스는 ‘시설관리 및 접근성’ 요인으로 분류되었지만, ‘운영관리 서비스 품질 요인’에 대한 요인적재치는 .408로 .40 이상으로 나타나 24번 문항은 제거하지 않고 그대로 남겼다. ⑭번 문항을 제거한 24개 문항에 대해 2차 탐색적 요인분석 시행 결과는 표 1에 설명된 바와 같으며 24개 문항은 5개 요인으로 분류되었다. 5개 요인에 의해 설명되는 총분산의 비율은 64.659 %이었다. KMO는 .909로 높은편이었고, Bartlett의 구형성의 검증에 따른 카이제곱값은 4083.927(P<0.01)으로 탐색적 요인분석의 실시가 적절한 것으로 확인되었다.
표 1.
최종 탐색적 요인분석 (n=319)
3) 전통적 및 수정된 IPA 기초분석 결과
(1) 기초분석 결과
Martilla and James(1977)의 전통적 IPA와 Vavra(1997) 및 Deng(2007)의 수정된 IPA를 분석한 결과는 표 2와 같다. 전통적 IPA를 측정하기 위한 생태관광 선택속성의 중요도와 만족도의 차이검증과 관련하여 대응표본 t-검증 절차를 시행하였다. 그러나 선택속성별 중요도와 만족도 점수는 모두 4점 이상 높았기 때문에 중요도와 만족도에 점수 차이는 ‘②번 문항 생태 매력물의 다양성’(t=1.994, p=.047), ‘③번 문항 쾌적한 자연환경’(t=-2.181, p=.030), ‘⑦번 문항 홈페이지등 인터넷을 통한 정보유용성’(t=3.957, p=.000),‘⑧번 문항 탐방/프로그램 예약안내 정보편의성’(t=2.514, p=.012)을 제외하고는 유의미한 차이가 없었다. ③번 문항 ‘쾌적한 자연환경’은 만족도(4.66점)가 중요도(4.57점) 보다 유의하게 높았으며, ②번 문항 ‘생태매력물의 다양성’, ‘⑤번 문항 생태・자원 환경보존성’, ‘⑦번 문항 홈페이지등 인터넷을 통한 유용성’, ‘⑧번 문항 탐방/프로그램 예약안내 정보편의성’에서는 중요도가 만족도보다 유의하게 높았다.
표 2.
Martilla and James(1977)의 전통적 IPA, Vavra(1997) 및 Deng(2007)의 수정된 IPA 비교 (n=319)
Vavra(1997)의 수정된 IPA에서 내재적 중요도가 가장 높은 항목은 ‘⑪번 문항 탐방로 이용의 편리성’(β=.171) 이었으며, 다음으로 ‘⑤번 문항 생태・자연 환경보존성’(β= .168), ‘㉒번 문항 체계적인 지원서비스’(β=.148), ‘㉓번 문항 직원의 충분한 업무지식/전문성’(β=.094) 순으로 높았다. Deng(2007)의 수정된 IPA에서 만족도가 가장 높은 항목은 ‘⑤번 문항 생태・자연 환경보존성’(PCC=.177) 이었으며, 다음으로 ‘⑪번 문항 탐방로 이용의 편리성’(PCC=.169), ‘㉒번 문항 체계적인 지원 서비스’(PCC=130), ‘⑱번 문항 주차시설의 편리성'(PCC=.108) 순으로 높았다.
IPA 분석에 따른 4분면 구성과 관련하여 Martilla and James(1977)의 전통적 IPA의 중요도는 4.419점, 만족도는 4.390점 기준으로 사분면을 나누었으며, Vavra(1997)의 수정된 IPA의 내재적 중요도는 0.040점, Deng(2007)의 수정된 IPA의 만족도는 0.038점을 기준으로 사분면을 나누었다.
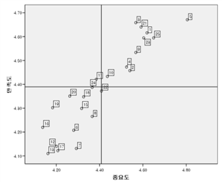
(2) Martilla and James의 전통적 IPA 매트릭스 결과
우선, Martilla and James(1977)의 전통적 IPA 매트릭스 사분면에 대한 속성들의 분포는 그림 6과 같으며 이에 대한 사분면 분포를 정리한 내용은 표 3과 같다. 이를 살펴보면 지속 유지가 필요한 I 사분면에는 거문오름의 관광자원 및 환경요인의 속성들과 직원 또는 해설사의 적절한 안내와 내용의 적정성, 그들의 태도 및 자세, 업무지식 및 전문성, 해설사의 설명력 수준 등이 해당되는 것을 알 수 있다. 반면 안내 정보 서비스의 다양성, 인터넷을 통한 정보의 유용성, 안내 정보의 편의성, 시설관리 및 접근성 요인을 구성하는 속성들이 III 사분면에 위치하여 낮은 우선순위를 보였다.
표 3.
Martilla and James(1977) 매트릭스 분류 결과 (n=319)
| 구 분 | IPA 매트릭스 분류 결과 |
| 제I사분면 | 1, 2, 3, 4, 5, 9, 10, 23, 25 |
| 제II사분면 | 11 |
| 제III사분면 | 6, 7, 8, 12, 13, 15, 16, 17, 18, 19, 20, 24 |
| 제IV사분면 | 22 |
그러나, 위 전통적 IPA 매트릭스 결과는 II 사분면에 위치한 11번 문항과 IV사분면에 위치한 22번 문항을 제외하고 나머지 문항 모두 I사분면과 III 사분면에 집중적으로 분포되어 있음을 알 수 있다. 이러한 연구 결과는 선행연구에서 전통적 IPA 기법의 한계로 지적된 바와 같이 속성들이 서로 독립적이라는 전제가 응답 과정에서 지켜지지 않아 속성들이 I 사분면과 III 사분면에 집중적으로 분포되어 그 의미를 해석하는데 어려움이 있다는 점을 재확인한 것이라 할 수 있다(이진형, 황두현, 2021; 윤보형, 김형곤, 2023). 이에 본 연구는 Martilla and James(1977)의 전통적 IPA 결과를 배제하고 Vavra와 Deng의 수정된 IPA 기법을 적용하여 거문오름 방문객을 대상으로 중요도와 만족도를 비교 분석하고자 한다.
(3) Vavra의 수정된 IPA 매트릭스 결과
Vavra의 수정된 IPA 활용 결과에 따른 속성들의 매트릭스 분포는 그림 7과 같으며 이에 대한 사분면 분포를 정리한 내용은 표 4와 같다. 자연 경관미 속성을 제외한 관광자원 및 환경 요인을 구성하는 속성들, 체계적인 지원 서비스, 직원의 충분한 전문성 및 업무지식 등이 I 사분면에 위치하여 현재의 높은 수준을 유지하고 관리해야 하는 속성들임을 알 수 있다. 반면, 안내 정보서비스 다양성, 예약안내 정보 편의성, 소개 및 안내 내용 적정성, 교통수단의 편리성, 접근성 등은 III 사분면에 위치하여 추가적인 투자나 노력의 우선순위에 해당하지 않는 속성들임을 알 수 있다. 그 이외에 인터넷을 통한 정보유용성, 탐방로 이용 편의성, 편의시설의 적정성 등이 II 사분면에 위치하여 방문객을 자극할 수 있는 매력 요소들로서 추가적인 투자나 개선 노력이 필요함을 알 수 있고 직원 및 해설사의 적절한 안내, 태도 및 자세, 설명력 수준 등이 IV 사분면에 위치한 기본 요소라 할 수 있다.
표 4.
Vavra(1997)의 매트릭스 분류 결과 (n=319)
| 구 분 | IPA 매트릭스 분류 결과 |
| 제I사분면 | 2, 3, 4, 5, 10, 22, 23 |
| 제II사분면 | 7, 11, 13, 15, 16, 18, 20, 24 |
| 제III사분면 | 6, 8, 12, 17, 19 |
| 제IV사분면 | 1, 9, 21, 25 |
(4) Deng의 수정된 IPA 매트릭스 결과
Deng(2007)의 수정된 IPA 활용 결과에 따른 매트릭스에 분포된 속성들의 위치는 그림 8과 같으며 이에 대한 사분면 분류 결과는 표 5와 같다. 자연경관미를 제외한 관광자원 및 환경요인을 구성하는 속성들, 탐방로 이용의 편리성, 직원의 충분한 업무지식 및 전문성 등이 I 사분면에 위치하여 현재 높은 수준을 지속적으로 유지하고 관리해야 하는 속성들로 해석된다. 반면, 안내정보 서비스 다양성, 예약안내 정보 편의성, 탐방로 체험의 다양성, 편의시설의 적정성, 교통수단의 편리성 등이 III 사분면에 위치하여 추가적인 투자나 개선 노력에서 우선순위에 해당하지 않는 속성들이라 할 수 있다. 또한 자연 경관미, 해설사 또는 직원의 자세 및 태도, 해설사의 설명력 수준 등이 II 사분면에 위치하여 중요도에 비해 만족도가 높은 과잉 영역으로서 추가적인 투자나 개선이 요구되지 않는 속성들이며 예약안내 정보 편의성, 프로그램 또는 체험 요소의 다양성과 관련한 시설 적합성, 안내시설의 적정성 등은 4분면에 위치하여 중요도에 비해 만족도가 낮아 추가 개선이 필요한 속성들임을 확인하였다.
표 5.
Deng(2007)의 매트릭스 분류 결과 (n=319)
| 구 분 | IPA 매트릭스 분류 결과 |
| 제I사분면 | 2, 3, 4, 5, 10, 11, 23 |
| 제II사분면 | 1, 2, 21 |
| 제III사분면 | 6, 8, 12, 16, 17, 19 |
| 제IV사분면 | 7, 13, 15, 18, 20, 22, 24 |
4) 수정된 IPA 기법 비교 분석 결과
위 분석한 Vavra와 Deng의 수정된 IPA 기법 적용에 따라 매트릭스 내에서 속성들의 분포를 비교 정리한 결과는 표 6과 같다. 위에서 설명한 선행연구를 근거로 하여 본 연구는 각 속성별로 2가지의 수정된 IPA 매트릭스 분포 결과가 동일한지를 기준으로 속성들을 평가하였다(김동훈 등, 2022; 이희진, 한주형, 2024).
표 6.
수정된 IPA 사분면 비교 (n=319)
분석 결과를 구체적으로 살펴보면 우선 Vavra 및 Deng의 수정된 IPA 분석 결과 공통적으로 그 중요성과 만족도가 높다고 인정되어 지속적인 유지가 필요하다고 해석되는 속성들은 관광자원 및 환경 요인을 구성하는‘생태 매력물의 다양성’, ‘쾌적한 자연환경’, ‘탐방 안전성’,‘생태・자연 환경 보존성’, 정보 및 안내 서비스 요인을 구성하는 ‘소개 및 안내 내용 적정성’, 그리고 운영관리 서비스 품질 요인을 구성하는 ‘직원의 충분한 전문성/업무지식’으로 확인되었다. 반면, 공통적으로 그 중요성과 만족도가 모두 낮아 더 이상의 투자나 개선 노력에 있어서 우선순위에 해당하지 않는 것으로 확인되는 속성들은 정보 및 안내 서비스 요인을 구성하는 ‘안내정보 서비스 다양성’, ‘탐방/프로그램 예약안내 정보 편의성’, 프로그램 또는 체험요소 요인을 구성하는 ‘탐방로 체험의 다양성’, 시설관리 및 접근성 요인을 구성하는 ‘방문을 위한 교통수단 편리성’과 ‘방문에 따른 시간, 소요거리 등 접근성’으로 분석되었다.
본 연구 결과를 살펴볼 때 생태관광지 방문을 결정하는 가장 중요한 요소는 목적지의 자연환경과 생태적 가치를 충분히 경험하고 체험할 수 있는 기회가 안정적으로 제공될 수 있느냐일 것이다. 관광자원 및 환경 요인의 대부분의 속성들과 탐방로 체험의 다양성을 통한 생태관광 체험 요소 보장 그리고 원활한 생태관광 체험을 제공하는 직원의 충분한 업무 지식과 전문성 등이 중요한 속성들로 확인되었다.
이러한 연구 결과를 바탕으로 생태관광지 개발 및 조성은 다음과 같은 사항들을 고려해야 할 것으로 사료된다. 첫째, 생태관광지 유형별 특성을 반영한 자연환경 분석이 필요하다. 생태관광지 유형별 자연생태계, 기후, 지형, 위치 등 해당 생태관광지의 지리적 특성을 반영한 적합성 평가를 근거로 한 생태관광지 개발 계획이 필요하다. 이를 통해 해당 생태관광지의 환경적 훼손을 최소화하면서 그 특성을 반영한 생태관광지 개발이 가능할 것이다. 둘째, 생태관광지 개발을 위해서는 해당 생태관광지의 유형과 지리적 특성을 반영한 공간 계획 및 관리를 바탕으로 한 적지 분석이 필요할 것으로 사료된다. 지리학의 공간분석 기술을 적용하여 해당 생태관광 지역의 최적화된 공간 계획을 수립함으로써 생태관광 자원을 효율적으로 관리하면서 생태계 훼손을 최소화하고 방문객의 재방문 및 만족도를 높일 수 있을 것이다(김성환, 2019; 정필모・서종철, 2014).
5. 결론 및 제언
본 연구는 제주 거문오름 방문객을 대상으로 IPA 분석기법에 기반하여 그들의 방문에 영향을 미치는 중요도와 만족도를 분석하였다. Martilla and James(1977)의 전통적 IPA와 Vavra(1997) 및 Deng(2007)의 수정된 IPA 기법을 모두 적용하여 분석함으로써 방문객의 관점에서 각 속성에 대한 중요도와 만족도를 규명하고자 하였다.
실증분석 결과, Martilla and James(1977)의 전통적 IPA 활용에 따른 매트릭스 내 속성들의 분포가 I 사분면과 III 사분면에 집중된 것으로 확인되었다. 이는 선행연구에서 지적된 전통적 IPA의 한계인 중요도와 만족도에 대한 응답 사이에 상호 작용이 발생한 편향된 결과라 할 수 있음에 따라 전통적 IPA 결과는 비교 분석에서 제외하였다. 이에 본 연구는 선행연구를 근거로 하여 Vavra와 Deng의 수정된 IPA 활용 결과를 바탕으로 각 속성별 2가지 IPA 분석 결과가 동일한지를 기준으로 비교 분석하였다.
분석 결과 관광자원 및 환경요인의 4개의 속성, 정보 및 안내서비스의 1개 속성, 운영관리 서비스 품질의 1개 속성이 현재의 높은 수준을 유지하고 지속해야 함을 확인하였다. 반면, 정보 및 안내 서비스 요인의 2개 속성, 체험요소 및 프로그램 요인의 1개 속성, 시설관리 및 접근성 요인의 2개 속성이 추가적인 투자나 개선 노력이 불필요하거나 우선순위가 아님을 알 수 있었다.
이는 결과적으로 생태관광지를 구성하는 속성들을 통한 개발과 발전은 생태관광지의 자연환경 보전을 전제로 관광학뿐만 아니라 지리학적 접근도 요구된다고 할 수 있다. 지리학은 인간, 장소, 환경이 어떠한 방식으로 조직되고 서로 연결되어 있는지를 접근하는 학문이다(김시중, 2005). 생태관광이 방문객뿐만 아니라 관광지역의 환경보존, 지역주민의 참여와 이익, 지역의 사회적 가치 증진 등을 종합적으로 고려하는 관광형식임에 따라 생태관광지의 개발과 발전은 지리학적 관점에서 방문객, 생태관광지 그리고 생태관광지를 둘러싼 환경이 서로 어떻게 상호 연결되어 호혜적 관계를 형성하는지 이해하는 것이 중요하다고 사료된다.
이처럼 생태관광은 단순히 관광을 통한 수익 창출의 목적보다는 생태관광을 통해 방문객의 목적, 주민의 이익, 관광지의 환경보전 등을 복합적으로 고려하는 형식임에 따라 생태관광지를 구성하는 속성들과 방문객 간의 관계를 긴밀하게 이해할 수 있어야 함을 알 수 있다. 이러한 의미에서 IPA 기법은 생태관광지의 선택속성을 구체적으로 분석하고 선택속성과 방문객 간의 긍정적 관계를 형성하는데 대안을 제시할 수 있는 최선의 분석기법이라 사료된다.
또한, 본 연구 결과를 바탕으로 생태관광지에 대한 개발과 발전은 실증주의적 관점에서의 관광지리학 연구 영역인 관광공간 분야, 관광체계 분야 그리고 관광행태 분야에 대한 다각적 연구를 바탕으로 추진되어야 할 것이다(김시중, 2005). 이러한 복합적 접근을 통해 생태관광 자원의 지속가능성을 높이고 이를 바탕으로 방문객의 체험과 경험을 지속적으로 충족시킬 수 있는 개발과 발전이 이루어질 수 있을 것이다.
본 연구 결과에 따른 학술적 시사점은 다음과 같다. 첫째, 거문오름에 대한 생태관광 측면에서의 선행연구는 방문객을 중심으로 내부적 요소라 할 수 있는 그들의 감성, 웰니스 인식, 주관적 행복, 관광 동기 등과 같은 내심의 감정이나 심리적 요인에 대한 다양한 연구가 진행되었다(고미영 등, 2011; 남윤섭・고성일, 2024; 허향진・홍성화, 2018). 반면, 생태관광의 외부적 요인이라 할 수 있는 생태관광지의 속성들이 거문오름 방문객이 방문을 결정짓는데 미치는 영향 관계에 대한 연구는 미흡한 실정이다. 이에 본 연구는 여러 생태관광지 유형 중 생태관광지의 외부적 요인에 대한 연구가 미흡한 오름 기반의 생태관광지를 구성하는 선택속성들이 방문객에게 미치는 영향을 구체적으로 분석하여 그 결과를 도출하였다. 특히, 전통적 및 수정된 IPA 기법을 모두 적용하여 해당 선택속성들이 방문객의 생태관광지 방문을 결정하는데 미치는 영향 관계를 세부적으로 규명함으로써 향후 생태관광지 개발과 관리 방안 연구에 새로운 연구 모델과 방향을 제시할 것으로 기대된다.
둘째, 본 연구는 Martilla and James(1977)가 도입한 전통적 IPA 기법의 한계에 대한 선행연구의 지적에 대하여 실증분석을 통해 확인하였다. 실증분석 결과 거문오름 생태관광지 선택속성에 대한 연구를 실행하는데 Martilla and James의 IPA 기법 활용의 어려움을 입증하였다. 또한, Vavra와 Deng의 수정된 IPA를 적용한 결과를 비교 분석함으로써 비교적 최근 그 논의가 확대되고 있는 수정된 IPA 기법의 효용성에 대한 논의에 기여할 수 있는 연구 결과를 도출하였다. 본 연구에서 총 24개의 속성문항들 중 11개의 문항들이 2가지의 수정된 IPA 분석결과 일치하는 것으로 나타났다. 이와 관련하여 선행연구를 살펴보면 두 가지 수정된 IPA 기법 활용 결과가 유사하거나(윤설민・홍민정, 2023; 이희진・한주형, 2024) 일정 수준 차이가 확인된 연구 결과(박지현・최형민, 2023)가 혼재되어 있다. Vavra(1997)의 IPA부터 Deng(2007)의 IPA를 포함하여 비교적 최근까지 수정된 IPA 기법이 논의되었고 전통적 IPA와 수정된 IPA에 대한 비교 분석 결과를 제시하는 연구가 활발하게 시행되고 있다(이희진, 한주형, 2024). 이에 본 연구는 이러한 IPA 기법을 비교 분석한 선행연구의 성과를 확대할 수 있는 연구 결과를 제시함으로써 어느 IPA 분석기법이 절대적으로 타당하다고 결론을 내기보다는 향후 적합한 IPA 기법을 활용하고 판단하는데 필요한 유의미한 연구 결과를 축적하는 측면에서 기여한 것으로 판단된다.
IPA의 분석 결과에 따른 실무적 시사점을 살펴보자면 첫째, 거문오름 생태관광지의 개발 방향의 핵심은 거문오름의 생태・자연 환경을 보전하고 쾌적한 환경에 대한 지속적인 관리가 핵심적 요소라는 점을 알 수 있다. 이를 위해 현재 거문오름에서 시행 중인 사전 탐방 예약제를 통한 일일 탐방객 수 제한, 물 이외에 다른 음식물 반입 금지, 매주 화요일 자연 휴식의 날 지정 등 다양한 보호조치를 계속 유지할 필요가 있을 뿐만 아니라 제주도 차원에서 전문적인 거문오름의 환경 관리를 정기적으로 시행해야 함을 알 수 있다. 또한, 거문오름에서 운영중인 3개의 탐방로에 대한 정례적 점검을 통해 생태관광객의 안전성을 지속적으로 보장할 수 있어야 할 것이다. 아울러 해설사의 해설 수준을 높여 거문오름이 보유한 천혜의 다채로운 화산 생태자원의 매력을 생태관광객이 충분히 인식할 수 있도록 수준 높은 안내와 해설 제공이 지속적으로 관리되어야 할 것이다. 아울러, 거문오름을 탐방하는데 있어서 거문오름이 가지는 생태적 가치에 대한 이해는 거문오름에서의 경험과 체험을 더욱 풍부하게 할 것이다. 이에, 거문오름에서 근무하는 직원과 해설사의 지식과 전문성을 유지하고 적절한 안내가 지속될 수 있도록 다양한 교육 프로그램이 제공되어야 할 것이다. 이를 위해 정부는 교육부를 통해 지역별 주요 대학들을 지원하여 대학생과 함께 지역주민들이 전문 생태해설사가 될 수 있는 교육 및 학점 이수 프로그램과 실습 프로그램 등을 운용하여 전반적인 전문성을 높일 수 있는 기회를 제공해야 할 것이다. 또한, 4차 산업혁명의 흐름 속에서 급속히 성장하고 있는 디지털 및 AI 기술을 활용한 WEB-기반 스마트 생태관광 체계를 구성함으로써 생태관광 분야 지원과 해설사에 대한 교육 및 훈련 프로그램의 효율성과 접근성을 높일 수 있어야 할 것이다(Ko et al., 2022).
둘째, 거문오름은 온라인 사전 탐방 예약을 통해서만 탐방할 수 있는 단일 방식이므로 안내 정보 서비스의 다양성이나 예약 안내 정보의 다양성에 대한 투자는 중요도가 낮은 것으로 판단된다. 또한 탐방의 목적이 도보를 통해 자연 그 자체를 느끼고 경험하며 체험하는 것이므로 탐방로 체험 방식의 다양성을 마련하기 위한 노력 역시 큰 중요성이 없을 것으로 사료된다. 아울러 거문오름의 자연환경 탐방을 하는데 있어서 거문오름에 방문하기 위한 교통수단의 편리성이나 소요 거리 및 시간 등의 접근성은 큰 고려 요소가 아닌 것으로 해석되기 때문에 거문오름 방문을 지원하기 위한 별도의 대중교통 체계 마련 등의 추가적인 조치는 시급하지 않은 것으로 판단된다.
본 연구는 Vavra와 Deng의 수정된 IPA 적용 결과를 비교 분석하여 거문오름 생태관광지 방문객이 인식하는 중요도와 만족도를 향상하기 위한 관광자원 개발의 우선순위를 결정하는데 기여할 것으로 기대되는 반면 다음과 같은 한계와 향후 과제를 내포한다고 할 수 있다, 두 가지 수정된 IPA 기법을 활용한 결과 공통되지 않은 속성들도 다수 확인되어 이러한 속성들에 대한 접근 방향을 제시하는데 한계가 있었다. 이에 대하여 특정 IPA 기법 한 가지만 선택하여 결론을 도출할 수도 있으나 선행연구는 어떠한 단일 IPA 기법이 절대적으로 적합한 것이라 확정하지 못하고 다양한 논의가 진행되고 있다. 이러한 제한점에 대해서는 향후 IPA 기법에 대한 추가적인 연구 결과가 축적되어 판단 방향이 결정되어야 할 것으로 사료된다.
또한, 본 연구는 거문오름이라는 단일 생태관광지를 대상으로 연구가 진행되었다. 이에, 국내・외 주요 생태관광지들에 대한 비교 연구를 통해 연구 결과의 일반화가 필요할 것이다. 아울러 야외 자연환경에서 이루어지는 생태관광은 계절적 요인을 무시할 수 없기 때문에 연구의 시간적 범위를 확대한 추가 연구를 통해 계절별로 연구 결과상의 차이가 있는지 확인함으로써 실질적인 시사점을 제시할 수 있을 것이다.
아울러 생태관광지의 관광자원 개발에 있어서 그 과정이 무분별하게 시행될 경우 예기치 못한 생태관광지 자연환경 및 생태계 훼손이 발생할 수 있다. 이에 따라 생태관광지 개발은 해당 생태관광지의 특성과 실태를 확인할 수 있도록 기초적인 지리학적 접근이 필요하다. 이를 통해 해당 생태관광지의 특성과 지역 현황을 반영한 생태관광지 개발 계획을 수립할 수 있을 것이다(김종은・이승곤, 2000). 결과적으로 향후 생태관광지 개발을 위한 외부적 요인에 대한 연구는 관광학과 지리학 사이의 융합적 접근이 필요하다고 할 수 있다.










