1. 서론
2. 연구 지역 및 데이터
1) 연구 지역
2) 연구 데이터
3. 연구 방법
1) GWR과 FWR 모형의 결과 비교
2) FWR을 활용한 아파트 가격 결정 요인의 공간적 이질성 탐색
5. 결론
1. 서론
2017년부터 2022년까지 대한민국 아파트 가격은 약 62% 상승하였다(유상균・이혁주, 2024). 특히 2020년에는 팬데믹으로 인한 경기 침체에 대응하기 위한 저금리 기조의 영향으로 부동산 가격이 상승하였다(정준호, 2022). 그러나 2022년 하반기부터 한국은행의 물가 안정을 목적으로 한 금리 인상과 대출 규제의 강화로 부동산 가격은 하락세로 접어들었다. 이러한 부동산 가격의 상승과 하락의 영향은 전국적으로 동일하게 나타나지 않았으며, 지역의 사회・경제적 여건에 따라 서로 다른 양상을 보였다. 구체적으로 서울 및 수도권 지역은 가격 상승세를 보인 반면, 부산, 대구, 대전 등 비수도권 지역은 하락세를 보였다(한국은행, 2023).
부동산 가격은 거시경제적 요인뿐 아니라 국지적인 특성을 반영하기 때문에 공간적으로 이질적인 패턴을 형성한다(Anselin, 1998). 정부의 부동산 정책은 대부분 수도권을 중심으로 전국 평균 지표에 의존하여 설계되었기 때문에 부동산 가격에 대한 공간적 차이를 충분히 고려하지 못한다(강상길, 2019; 강길주, 2024). 이와 같은 정책적 접근의 한계는 부산과 같은 비수도권 대도시에서 두드러진다. 부산의 부동산 시장은 경제적, 사회적, 지역적 특성에 따라 서울 및 수도권과는 다른 변화를 보여왔다(오철환・이찬호, 2020). 특히 해운대구, 수영구 등의 지역은 투기 목적의 투자 수요와 고급 주택 단지의 공급 증가로 가격 상승세를 유지하지만, 서부산 지역은 상대적으로 수요가 감소하고 부동산 시장의 침체가 나타나는 양극화 현상이 나타난다(정대성・박종해, 2022). 이러한 현상은 지역 내 경제 격차 등, 부산 부동산 시장의 구조적인 문제로 이어진다(이지백, 2024). 이러한 특성에도 불구하고, 부산 지역을 대상으로 하는 주택 가격 결정 요인 연구는 현재까지 미흡한 실정이다. 따라서 본 연구는 서울이나 수도권과는 다른 특성을 보이는 지방 대도시의 사례로 부산시의 주택 가격 결정 요인의 공간적 이질성을 탐색하고자 한다.
부동산 가격의 이질적인 특성을 규명하기 위해 다양한 분석적 시도가 이루어져 왔다. 특히 지리가중회귀(Geographically Weighted Regression; GWR)은 주택 가격과 결정 요인 간의 공간적으로 이질적인 관계를 분석할 수 있는 장점으로 인해 도시 주택 연구에서 폭넓게 활용되고 있다(Fotheringham et al., 2002; Bitter et al., 2007). 국내 연구에서도 이를 활용하여 주택 가격 결정 요인, 부동산 가격, 다양한 사회현상의 공간적 이질성을 탐색하고자 한 연구가 다수 존재한다(강창덕, 2010; 전해정, 2016; Fotheringham and Park, 2018; Choi et al., 2021; Im and Kim, 2021). 그러나 GWR은 완만히 변화하는 공간적 현상을 설명하는데 유용하지만, 주택 시장의 급격한 공간적 변화를 포착하기에는 한계가 존재한다. GWR에서 주로 사용되는 유클리드 거리 기반 가우시안 커널 함수(Gaussian kernel function)는 공간적 영향이 거리에 따라 부드럽고 연속적으로 약화된다고 가정하지만, 이러한 가정은 실제 공간적 영향력과 항상 일치하지 않는다(Frank, 1992; Lu et al., 2014). 실제 주택 시장은 지리적, 행정적 경계나 사회, 경제적 특성에 따라 인접한 지역 간에도 급격한 가격 변화를 보이는 경우가 존재한다(Goodman and Thibodeau, 1998). 이러한 한계를 보완하기 위해 여러 연구에서는 도로망, 이동 시간, Minkowski 거리 등 비유클리드 거리 개념을 활용하여 실제 주택 시장의 구조를 반영하려는 시도가 존재한다(Lu et al., 2011, 2016; Cao et al., 2019). 그러나 이러한 접근 방법 역시 연속적인 거리 조락 함수의 구조를 따르기 때문에, 지역적 또는 사회, 경제적 경계를 기준으로 발생하는 주택 가격의 급격한 변화를 충분히 설명하지는 못한다.
이러한 한계를 극복하기 위해, 최근 연구에서는 지리적 인접성만으로 정의되는 거리 개념을 확장하려는 다양한 시도가 이루어졌다. Harris et al.(2013) 는 지역의 사회경제적 특성을 반영한 ‘맥락화된 지리가중회귀(Contextualized GWR)’를 제안하여, 지리적 거리뿐 아니라 지역 간 속성의 유사성을 가중치 산정에 포함시켰다. 이는 인접한 지역이더라도 사회경제적 맥락이 다르면 상이한 영향을 받을 수 있다는 접근이다. Lessani and Li(2024)는 ‘유사성 기반 지리가중회귀(Similarity and Geographically Weighted Regression; SGWR)를 통해 지리적 인접성과 속성의 유사성을 결합하여, 물리적으로 멀리 떨어져 있더라도 유사한 속성을 지닌 지역 간의 강한 연계를 모델링하였다. 해당 연구들은 전통적인 GWR이 지리적 거리만으로 공간적 자기상관을 정의한다는 한계를 인식하고, 지역 간 속성의 유사성을 고려한 연구의 필요성을 제시하였다. 이러한 논의는 공간적 상호작용을 물리적 거리로만 설명하기 어려운 현실을 반영하며, 거리 개념을 속성 또는 기능적 유사성으로 확장하려는 최근 공간분석의 흐름을 형성하고 있다.
이와 같은 흐름을 반영하여, An(2025)은 기능가중회귀(Functionally Weighted Regression; FWR)을 제안하여, 지역 간 인구 이동을 기반으로 주택 시장의 불연속적 변화를 설명하였다. FWR은 지역 간 인구 이동의 규모를 바탕으로 공간적 관계를 기능적으로 정의하는 접근법이다. 지리적으로 멀리 떨어진 지역이라 하더라도 인구 이동 규모가 크다면 기능적으로 가까운 지역으로 간주된다(Halás, 2024). 이러한 인구 이동 흐름은 사회・경제적 특성의 차이에 의해 형성된 주거 선택을 반영하며(Frame, 2007), 인구 이동 시 발생하는 신규 주택 수요와 직접적으로 연결된다. 따라서 대규모 이주는 지역별 주택시장의 차이에서 비롯된 높은 수요와 결부되며, 이와 같은 특성을 기반으로 산출된 인구 이동 수준을 기능적 거리(functional distance)라 부른다(Brown et al., 1970). FWR은 이러한 기능적 거리를 가중치로 활용함으로써, 기존의 지리적 인접성에 기반한 모형이 설명하지 못했던 불연속적인 주택가격 변화를 설명할 수 있다.
본 연구의 목적은 인구 이동을 기반으로 한 FWR을 활용하여 부산 주택 가격의 공간적 이질성을 분석하는 것이다. 특히 국내 주택 시장에서 대부분의 주택 형태를 차지하는 아파트를 대상으로 가격 결정 요인과 이질성을 탐색하고자 한다. 부산의 인구 구조와 인구 이동 패턴은 서울 및 수도권과 다르기 때문에 지리적 인접성만을 고려한 분석보다 인구 이동을 반영한 방법이 실제 주택 시장 변화를 설명하는 데 보다 적합할 것으로 기대된다. 본 연구는 먼저 부산시 아파트 가격에 대한 가격 결정 요인의 전역적 계수를 확인한다. 이후 GWR과 FWR의 모형의 설명력을 비교하고, FWR을 통해 아파트 가격 결정 요인의 공간적 이질성을 탐색한다. 이를 통해 추후 주택 시장 연구에서 기능적 연계성을 고려한 FWR의 적용적합성을 살펴보고, 부산과 같은 비수도권 대도시에서 지역 특성을 반영한 맞춤형 주택 정책 수립에 기초 자료를 제공한다. GWR과 FWR의 분석에는 R 4.3.3 버전을 활용하였고, 지도화 및 시각화는 ArcGIS pro 3.3.2 버전 소프트웨어를 사용하였다.
2. 연구 지역 및 데이터
1) 연구 지역
부산광역시는 서울에 이어 대한민국 제2의 도시이자 최대의 항구 도시로, 동남권 경제・산업의 중심지 역할을 하고 있다(Kim and Kim, 2022). 부산의 인구는 1970~1990년대까지 급격히 증가하였으나, 최근에는 인구 감소세와 고령화가 뚜렷하게 나타나고 있다(Oh et al., 2024). 이러한 인구 구조 변화는 주택 수요와 가격 변동에도 직접적인 영향을 준다.
부산의 주거 공간 구조는 배산임해의 지형과 산지 지형으로 인한 지리적 제약으로 도심부와 주변 지역 간의 공간적 불균형이 크다(김홍관, 1996; 황지용・김지현, 2024). 특히 해운대구, 수영구, 남구 등 동부 해안 지역은 상대적으로 높은 가격대를 형성하며, 서부와 북부 지역은 상대적으로 낮은 가격대를 보인다(정대성・박종해, 2022; 이지백, 2024) (그림 1). 이와 같은 지역 간 가격 격차는 단순한 지리적 인접성으로 설명이 불가능하며, 실제 생활권 이동 및 인구 흐름을 반영해야 한다. 기존의 유클리드 거리 기반 가우시안 커널 함수는 물리적으로 가까운 지역을 높은 영향력을 지닌 이웃으로 간주한다. 그러나 부산처럼 산지와 해안으로 공간 구조가 제약된 도시는 지리적으로 가까워도 실질적 교류가 제한될 수 있으며, 반대로 강 등을 넘어 떨어진 지역으로도 이주 흐름이 활발히 일어나는 경우가 많기 때문이다(구동회, 2007).
본 연구는 2023년 기준 부산시의 국토교통부 실거래가 데이터(https://rt.molit.go.kr)를 활용하였다. 전체 205개의 행정동 중 해당 년도 거래 매물이 없는 12개의 행정동을 제외하고 193개의 행정동을 기준으로 분석을 진행하였다. 또한 행정안전부 인구이동 통계 데이터를 활용하여 2023년 부산시의 행정동 단위 인구이동 데이터를 활용하였다.
2) 연구 데이터
표 1은 회귀 모형에 사용된 변수를 나타낸 것이다. 본 연구는 아파트 매매가격을 설명하기 위한 독립 변수를 물리적 특성, 입지적 특성, 근린 환경의 세 가지로 구분하였다. 먼저 물리적 특성으로는 아파트가 지어진 후 경과된 연수를 사용하였다. 일반적으로 아파트가 오래될수록 매매 가격은 하락하는 것으로 나타난다(Wen et al., 2018; Wu et al., 2020; Wang et al., 2023). 그러나 서울이나 일부 대도시권에서는 오래된 아파트일수록 재개발에 대한 기대치로 인해 가격이 상승하는 경향이 나타나기도 한다(김소연・김영호, 2013). 본 연구는 2023년까지 경과된 아파트 연수를 행정동 단위로 평균을 구하여 사용하였다.
Table 1.
종속 변수 및 독립 변수
| 구분 | 변수 | 단위 | 출처 | 참고문헌 |
| 종속변수 | 아파트 매매가격 | KRW/m2 | 국토교통부, https://rt.molit.go.kr | |
| 독립변수* | 물리적 특성 | |||
| 경과 년 수 | year | 국토교통부, https://rt.molit.go.kr | 김소연・김영호(2013), Wang et al.(2022) | |
| 입지적 특성 | ||||
| 고등학교 거리 | m | 학교알리미, https://www.schoolinfo.go.kr | 김남현・오세준(2017); 하유정・이현석(2020) | |
| 지하철 역 거리 | m | 국토교통부, https://rt.molit.go.kr | 배성완・유정석(2017); 김영옥・임은지(2023) | |
| 버스 정류장 거리 | m | 국토교통부, https://rt.molit.go.kr | 변세일 등(2019); 최필성・현동우(2021) | |
| 근린 환경 | ||||
| 독거노인 비율** | % | 행정안전부, https://jumin.mois.go.kr | 안용한・김영호(2023) | |
| 자사고・특목고 입학비율 | % | 학교알리미, https://www.schoolinfo.go.kr | 김구회 등(2016); 구형모(2019) | |
입지적 특성으로는 교육시설 및 대중교통 접근성을 고려하였다. 먼저 교육시설 접근성은 아파트로부터 가장 가까운 고등학교까지의 거리를 사용하였다. 부산광역시교육청에 따르면 고등학교 입학은 같은 학교군 안에서 학생들의 거주지와 고등학교까지의 거리를 고려하여 배정이 되는 것으로 확인된다. 따라서 고등학교까지의 거리는 학부모의 주거 선택 과정에서 중요한 입지적 요인으로 작용할 수 있다. 기존 선행 연구에서는 고등학교까지의 거리가 가까울수록 아파트 가격이 상승하는 것으로 나타난다(김남현・오세준, 2017; 하유정・이현석, 2020).
대중교통 접근성 역시 기존 연구에서 주로 활용된 가격 결정요인이다. 특히 지하철 역까지의 거리는 도시공간 구조 속에서 주거지의 가치와 직결된다. 지하철 역과 가까운 역세권은 일반적으로 높은 아파트 가격을 형성하는데 영향을 미치는 것으로 알려져 있다(김소연・김영호, 2013; 배성완・유정석, 2017; 구형모, 2019; 이우희・전해정, 2023). 그러나 부산은 지하철 노선이 도심부에 집중되어 있어, 외곽 지역이나 주거 밀집지에서는 지하철 접근성만으로 대중교통 접근성을 충분히 설명하기 어렵다. 따라서 본 연구는 버스 정류장까지의 거리도 고려하여, 도시 전역에서의 실제 대중교통 접근성을 반영하였다. 기존 선행 연구에서는 일반적으로 버스 정류장까지의 거리가 가까울수록 높은 아파트 가격이 형성되는 것으로 나타났다(양승철, 2014; 변세일 등, 2019; 최필성・현동우, 2021). 입지특성에 사용된 고등학교 거리, 지하철 역 거리, 버스 정류장 거리는 아파트 포인트로부터 가장 가까운 시설의 직선거리를 구한 후 이를 행정동 단위로 평균을 계산하여 사용하였다.
근린 환경 변수로는 독거노인 비율과 자사고・특목고 입학비율을 사용하였다. 2023년 보건복지부 노인실태조사에 따르면 부산은 전체 1인 가구 중 고령인구의 비율이 23%로 전국 시도 중 가장 높은 비율을 차지하는 것으로 나타난다. 이러한 높은 독거노인 비율은 지역의 사회, 경제적 취약성과 연관되며, 아파트 가격 형성에 부정적 요인으로 작용한다(An, 2025). 안용한・김영호(2023)는 독거노인 비율이 높은 지역에서 임대 아파트 밀집 현상이 두드러지며, 이로 인해 상대적으로 낮은 수준의 주거환경을 보인다고 언급하였다. 자사고・특목고 입학비율은 지역의 교육 성취 수준을 나타내는 지표로 고려하였다. 특히나 주요 대학 진학에 유리한 자사고와 특목고의 입학률은 지역간 차이를 보이며 주거지 선택의 중요한 요인으로 작용하였다(김구회 등, 2016; 구형모, 2019; Han, 2022). 독거노인 비율과 자사고・특목고 입학비율 모두 행정동 별 평균을 산출하여 회귀모형에 적용하였다.
3. 연구 방법
본 연구는 GWR의 유클리드 거리 기반 커널 함수의 한계를 보완하기 위해 기능가중회귀(Functionally Weighted Regression; FWR)를 적용하였다. 이후 GWR의 결과와 FWR의 결과를 비교하여, 지리적 거리와 기능적 거리라는 서로 다른 공간적 관계가 아파트 가격의 국지적 결정 요인 추정에 어떤 차이를 가져오는지 검증하였다. 이를 통해 FWR이 실제 주거 수요를 반영하는 데 있어 가지는 방법론적 유용성을 확인하였다.
공간적 현상은 단순히 물리적 거리로만 설명하기 어려우며, 실제 공간은 통근, 이주 등 다양한 지역간 상호작용으로 구성된다(Kitchin, 2009). FWR은 지역 간 이주 흐름을 활용하여 행정동 간의 기능적 거리를 정의하고, 이를 회귀모형의 가중치 행렬로 적용한다. 이를 통해 지리적으로 인접하지 않더라도 높은 상호작용을 보이는 지역을 반영할 수 있다. FWR의 구조는 기본적으로 GWR 모형의 구조와 일치한다.
수식(1)은 GWR의 구조와 같은 국지적 회귀모형의 구조를 유지하지만, 수식(2)에서 국지적 회귀계수를 추정할 때 M(i)라는 다른 가중치 행렬을 사용한다. 이 때 가중치 행렬 M(i)의 추정을 위해 먼저 인구이동 O-D(Origin-destination) 행렬을 구성한다. O-D 행렬의 구조는 그림 2와 같다.
인구이동 O-D 행렬은 전체 n개의 지역에 대해 n-by-n의 행렬을 구성하고 각 지역이 전입지와 전출지의 역할을 하도록 구성한다. 행렬의 원소 ain는 i 지역에서 n 지역으로 이동한 인구의 수를 나타낸다. 이때 행의 합 Oi는 i 지역에서 출발한 전출자의 합, 열의 합 Di는 i 지역으로 들어온 전입자의 합을 의미한다.
본 연구는 먼저 인구이동 행렬에서 지역 쌍 (i, j)에 대해, i 지역에서 j 지역으로의 전입규모 aij 활용하여 기능적 가중치 행렬 W(f)를 구축하였다. 이후 각 지역 i에 대해 전입자의 합으로 열표준화를 진행하여 모든 가중치의 합이 1이 되도록 구성하였다. 두 지역의 상호작용 강도를 기반으로 가중치 행렬을 구성할 때, 전입과 전출을 모두 고려하는 방법도 제시된 바 있으나(김도형・우명제, 2019), 주택 수요는 실제 전입과 밀접하게 연관되므로(김리영, 2013; 조대헌, 2020) 본 연구에서는 전입자 수만을 반영하였다. 기능적 가중치 행렬 W(f)는 다음과 같이 나타난다.
이후 특정 i 지역에 대한 국지적 회귀계수를 추정하기 위해, W(f)에서 해당 지역과 관련된 가중치 벡터를 추출하여 대각 가중치 행렬 M(i)를 구축한다. M(i)의 구조는 다음과 같이 표현할 수 있다.
이 때, (i1, i2, …, ik)는 각각 i 지역에 대해 인구이동 가중치가 높은 상위 k개의 지역을 의미하며, M(i)의 대각원소는 이들 지역이 i 지역에 미치는 가중치를 반영한다. 그러나 인구이동 가중치가 높은 k개의 지역을 얼마나 포함할 것인지에 대한 기준 설정이 필요하다. 이는 GWR에서 대역폭(bandwidth)를 선택하는 과정과 유사하다. GWR에서 적절한 대역폭을 설정하기 위해 교차검증 오차 제곱합(Cross- validated Sum of Square errors; CVSS)을 최소화하는 방식을 사용한다. CVSS는 각 관측치를 해당 지역의 회귀에서 제외한 뒤 나머지 관측치로 추정하여 계산된다(Brunsdon et al., 1998; Fotheringham et al., 2002). CVSS를 산출하는 식은 다음과 같이 표현된다.
yi는 i 지역의 관측치를 나타내며, 는 해당 지역을 회귀식에서 제외한 후 대역폭 b를 적용하여 추정한 값이다. 본 연구에서 추정된 GWR의 최적 대역폭은 3255.418m로 확인되었다.
FWR은 최적의 대역폭을 산출하는 대신, 각 지역 i의 국지적 회귀에 포함될 지역의 수를 직접 지정한다. 지역 i에 대한 국지적 회귀는 인구이동 가중치를 기준으로 선택된 일정한 수의 지역을 사용하여 수행된다. 그림 3은 GWR과 FWR에 사용되는 지역과 가중치의 차이를 나타낸다.
GWR과 마찬가지로 FWR에서도 CVSS를 최소화하는 이웃의 개수 k개를 탐색하여 각 지역별로 인구이동 가중치가 높은 상위 k개의 지역을 국지적 회귀모형에 포함시킨다. 이 때 k의 범위는 1부터 n-1(n = 193)까지 변화시키며 CVSS를 최소화하는 값을 탐색하였다. FWR에서 CVSS는 다음의 식으로 표현할 수 있다.
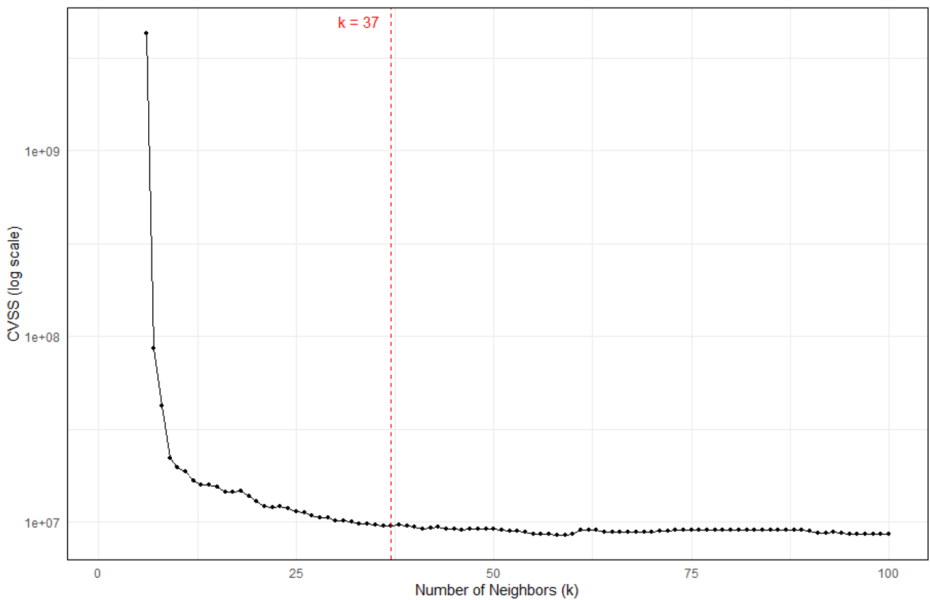
그림 4와 같이, k값이 증가할수록 CVSS는 감소하는 경향을 확인할 수 있다. 단순히 CVSS 최소값만을 기준으로 하면 k = 59 값이 선택되는데, 이는 전체 연구 지역 행정동 대비 너무 많은 이웃을 포함하여 모형의 국지성을 훼손한다. CVSS는 k = 37까지 급격하게 감소하다가, 그 이후부터는 추가적인 이웃을 포함하더라도 CVSS의 성능 개선이 미미하게 나타난다. 성능 향상의 차이가 미미한 경우에는 보다 단순한 모형이 적합하다고 볼 수 있으며, 이웃 수가 커질수록 모형의 복잡성이 증가하기 때문에(Hastie et al., 2009; Kuhn and Johnson, 2013), 본 연구에서는 최적의 이웃 수를 37개로 설정하였다.
4. 연구 결과
1) GWR과 FWR 모형의 결과 비교
표 2는 전역적 모형인 다중선형회귀모형(Ordinary Least Squares; OLS)의 추정 결과와 함께, GWR 및 FWR을 통해 도출된 국지적 평균과 표준편차를 요약한 것이다. OLS에서는 아파트 경과 년 수, 독거노인 비율, 지하철역 거리, 자사고・특목고 입학비율이 주택 가격에 유의한 영향을 미치는 것으로 나타났다. 구체적으로 아파트 경과 연수와 독거노인 비율은 음(-)의 효과를 보였으며, 이는 노후화된 주거지와 사회적 취약계층의 집중이 가격 하락과 연관됨을 의미한다. 반대로 지하철 접근성과 교육 환경을 반영하는 자사고・특목고 입학비율은 양(+)의 효과를 보여, 교통 접근성과 학군 선호가 주택가격 상승 요인으로 작용함을 확인할 수 있다.
Table 2.
모형별 회귀계수
| OLS | GWR | FWR | |||
| Variables | Estimate | Mean | SD | Mean | SD |
| (a) 경과 년 수 | -8.00** | -7.99 | 0.24 | -10.81 | 4.62 |
| (b) 고등학교 거리 | -0.01 | -0.01 | 0.00 | -0.00 | 0.05 |
| (c) 지하철역 거리 | -0.02** | -0.03 | 0.00 | -0.02 | 0.02 |
| (d) 버스 정류장 거리 | 0.12 | 0.12 | 0.03 | -0.03 | 0.65 |
| (e) 독거노인 비율 | -15.38** | -15.43 | 1.19 | -12.24 | 13.31 |
| (f) 자사고・특목고 입학비율 | 7.90** | 7.51 | 0.87 | 18.71 | 14.03 |
반면 고등학교 거리와 버스정류장 거리는 전역모형에서 통계적으로 유의하지 않은 결과를 보였다. 이는 해당 변수들의 영향력이 특정 지역에 한정되어 공간적으로 불균등하게 분포하기 때문으로 해석된다. 따라서 전역모형만으로는 지역별 이질성을 충분히 설명하기 어렵다. 실제로 OLS의 수정된 결정계수는 0.43으로 나타났으며, 잔차에 대한 전역적 Moran’s I는 0.40(p<0.01)으로 유의한 양의 공간적 자기상관이 존재하였다. 이러한 결과는 국지적 모형을 활용하여 공간적 이질성을 보다 명시적으로 탐색할 필요성을 보여준다.
다음으로는 GWR과 FWR의 성능을 비교하였다. 그림 5는 두 모형에서 예측된 아파트 가격과 실제 가격을 비교한 산점도를 나타낸다. x축은 예측값을, y축은 관측값을 의미하며, 기울기 1의 참조선을 함께 제시하였다. GWR의 추정치는 참조선 주변에서 상대적으로 분산되어 있는 반면, FWR의 추정치는 참조선에 보다 밀집된 분포를 보여 실제 가격과의 일치도가 더 높게 나타났다. 수치적으로도 GWR은 결정계수(R2)가 0.487, RMSE가 134.32로 나타났으며, FWR은 R2=0.687, RMSE = 104.95를 기록하여 설명력과 예측력이 모두 개선되었다. 이는 단순한 지리적 인접성에 기반한 커널 가중치보다, 인구이동 흐름을 반영한 기능적 가중치가 주택가격의 국지적 변동을 상대적으로 더 잘 설명할 수 있음을 시사한다.
다음으로 두 모형의 잔차 분포에 대한 공간 자기상관을 분석하였다. 그림 6은 GWR(a)과 FWR(b)의 잔차 공간 분포를 나타낸다. GWR 잔차의 전역 Moran’s I 값은 0.37(p <0.01)로 뚜렷한 양의 공간적 자기상관이 관찰되었다. 반면, FWR의 Moran’s I 값은 0.03(p = 0.47)으로 공간적 자기상관이 유의하지 않게 나타나, FWR이 잔차의 공간적 의존성을 보다 효과적으로 제거함을 확인할 수 있다. 이러한 결과는 부동산 시장의 단절적이고 불연속적인 구조를 반영하는 과정에서, FWR이 GWR에 비해 상대적으로 유용할 가능성을 보여준다.
2) FWR을 활용한 아파트 가격 결정 요인의 공간적 이질성 탐색
다음으로는 FWR을 이용하여 부산시의 아파트 가격 결정 요인의 공간적 이질성을 탐색하였다. GWR은 인접한 지역일수록 유사한 아파트 가격 구조를 가진다고 가정하지만, 실제 부동산 시장은 강이나, 산지, 바다 등의 지리적 경계나 행정구역 경계등으로 불연속적인 관계를 보인다(유무상・구형모, 2024). FWR은 이러한 불연속성을 전제로, 지역 간 인구 이동을 기반으로 가중치를 부여한다. 이를 통해 물리적으로 떨어진 지역 간의 유사한 가격 변화를 설명하고, 실제 시장의 불연속적 구조를 반영할 수 있다는 점에서 GWR보다 적합하다고 볼 수 있다. 그 결과 FWR 모형의 설명력과 잔차의 공간적 자기상관이 GWR에 비해 개선된 결과를 보였기 때문에 본 연구는 FWR을 활용하여 분석을 진행하였다.
그림 7은 각 변수 별 회귀계수의 분포를 나타낸 지도이다. 해당 지도에서 표 2의 변수 별 전역적 계수보다 큰 값은 붉은색으로, 낮은 값은 파란색으로 지도화하여 나타냈다.
먼저 아파트 경과 년 수는 전역적으로 유의미한 음의 상관관계를 보인다. 이는 신축인 아파트일수록 높은 가격을 형성하며, 오래된 아파트일수록 가격이 하락하는 것으로 볼 수 있다. 그림 7(a)에서 강서구, 사하구, 서구, 금정구 지역은 전역적 계수보다 낮은 음의 계수를 보이는 지역이다. 특히 부산의 강서구 지역은 명지국제신도시로 인해 신축인 아파트들이 대거 건설된 지역이다. 따라서 해당지역은 신축 단지에 대한 선호가 실제 주택 수요로 이어져 가격이 상승하는 지역으로 볼 수 있다. 반면 사하구나 서구, 금정구 지역은 노후화된 아파트가 다수 존재하는 지역이다. 따라서 낡고 오래된 아파트에 대한 수요 감소로 인해 가격이 하락하는 양상이 나타난다(이옥자・최진배, 2015). 특히 금정구는 산지가 많은 지형적 특성으로 인해 신축개발이 어려워 경과 년 수와 음의 관계가 두드러진다. 반대로 해운대구, 수영구, 남구 지역에서 해안가와 인접한 지역은 오래된 아파트일수록 높은 가격이 나타나는 지역이 존재한다(공윤경, 2010). 이는 이미 과거부터 대규모 아파트 단지의 건설과 고급 주거지역이 존재하고, 조망 프리미엄과 재건축 기대가 결합되어 노후 아파트지만 주거 이동 선호가 집중되는 지역이기 때문이다(윤종원 등, 2018; 하유정 등, 2021).
고등학교 거리는 전역적으로는 음의 관계를 보이지만 유의미한 변수로 작용하지는 않는다. 그러나 국지적인 패턴은 지역별로 상이하게 나타난다(그림 7(b)). 먼저 해운대구, 수영구, 남구 지역에서는 전역적 계수보다 높은 양의 관계가 나타난다. 이는 고등학교까지의 거리가 멀수록 아파트 가격이 상승하는 지역이다. 해당 지역은 고등학교의 부정적인 효과로 인해 학교와 가까운 아파트에 대한 수요가 떨어지는 지역이다. 대도시에서는 고등학교 주변의 소음이나 사생활 침해와 같은 문제로 인해 오히려 고등학교와 거리가 떨어진 아파트의 수요가 높게 나타나기도 한다(김경민 등, 2010). 그러나 강서구와 사상구, 기장군 등 외곽 지역은 교육 시설 인프라가 상대적으로 부족하기 때문에 아파트와 고등학교까지 거리가 가까울수록 높은 주거 수요로 인해 가격이 상승하는 경향을 보인다.
다음으로는 대중교통 접근성이다. 먼저 지하철역까지의 거리는 전역적으로 유의미한 음의 관계를 보여, 지하철역과 접근성이 좋은 아파트일수록 높은 가격을 보이는 것을 알 수 있다. 그림 7(c)에서 해운대구, 수영구, 남구 일대의 지역은 이러한 지하철역까지의 접근성이 주거 수요와 연관되어 역과 가까울수록 높은 아파트 가격을 형성한다. 반면 사하구, 사상구 일대에서는 지하철역과 먼 아파트가 높은 가격을 형성한다. 특히 사상구는 지하철역 주변에 사상공업단지가 위치하여 산업환경으로 인한 소음 등의 문제가 발생한다. 이러한 부정적 효과는 지하철역 근처의 아파트에 대한 선호를 감소시킨다(Debrezion et al., 2007). 강서구와 기장군 지역은 전역적 계수보다 높게 나타나지만, 지하철역 자체의 수가 적어 역세권으로 인한 아파트 가격 상승 효과가 뚜렷하게 나타나지는 않는다. 버스 정류장까지의 거리 변수를 살펴보면, 강서구와 기장군은 버스 정류장까지 거리가 가까울수록 높은 아파트 가격을 보인다. 앞서 역세권의 효과가 크지 않은 지역인 것을 확인하였고, 이로 인해 버스 정류장의 효과가 강하게 나타나는 것으로 볼 수 있다. 또한 동구 지역에서 강한 음의 관계가 나타난다. 해당 지역은 부산시의 구도심 지역으로 좁은 골목과 주차 공간 부족 등, 차량 의존도가 낮은 지역이다. 지하철 노선이 존재하지만, 여전히 주거 지역까지의 주요 교통수단은 버스에 의존하기 때문에 강한 음의 관계가 나타난다. 반면, 영도구 지역은 지하철 노선이 없지만, 버스 정류장과 거리가 멀수록 높은 아파트 가격이 나타난다. 영도구는 도심까지 교량으로 연결되어 있어 버스 통행보다 차량 의존도가 높은 지역이며, 버스 정류장 근처의 소음 문제 등 도시 문제로 인해 정류장과 가까운 아파트의 선호가 적게 나타나는 지역으로 볼 수 있다.
독거노인 비율 변수는 전역적으로 비율이 낮을수록 높은 아파트 가격을 형성한다. 국지적인 계수 역시 해운대구, 수영구, 남구 일대는 전역적 계수보다 낮은 계수를 보인다. 독거노인 비율은 지역의 소득수준이나 주거환경과 연관된다(성수연, 2022). 따라서 앞선 지역들은 고급 주거단지로 인해 높은 소득 수준과 생활환경이 나타나는 지역이기 때문에 상대적으로 젊은 인구나 가족 단위 인구의 주거 수요가 높은 지역으로 볼 수 있다. 반면 부산진구, 서구, 사하구, 영도구 일부 지역은 독거노인 비율이 높을수록 가격이 상승하는 양상이 나타난다. 해당 지역은 고령 인구가 밀집하고, 낙후된 주거환경이 분포한 지역이지만, 재개발 및 활발한 도시재생사업으로 개발 여지가 남아있는 지역이다. 따라서 높은 주거 수요가 반영되어 양의 관계가 나타난다.
마지막으로 자사고・특목고 입학비율은 전역적으로 유의미한 양의 관계를 보인다. 특히 해운대구, 수영구, 남구 지역은 전역적 계수보다 강한 양의 관계가 나타난다. 해당 지역은 부산 지역의 대표적인 상위 학군으로 분류되는 지역으로 학업성취정도가 주거 수요에 강한 영향을 미치는 지역이다(하유정・이현석, 2020). 또한 북구, 금정구 일대와 사상구, 서구 지역에서도 강한 양의 계수가 나타난다. 해당 지역은 부산의 전통적인 학군 지역으로 부산국제고 등 자사고・특목고와 가까이 위치한 지역이다. 따라서 이러한 학군 수요가 높은 아파트 가격과 연결되는 것으로 나타난다.
5. 결론
서울 및 수도권에 집중된 부동산 정책은 지방 부동산의 국지적인 특성을 제대로 반영하지 못한다. 특히 부산은 수도권과는 다른 부동산 시장 변화를 보여왔기 때문에 지역의 국지적 특성을 반영한 정책 수립의 필요성이 두드러진다. 전통적인 아파트 가격 연구는 지리적 인접성에 기반한 연속적 커널 함수를 사용하였다. 그러나 아파트 가격은 행정구역 경계뿐 아니라 다양한 사회・경제적 경계에 따라 급격한 변동을 보인다(Goodman and Thibodeau, 1998).
본 연구는 아파트 가격의 불연속적인 이질성을 탐색하기 위해 지역 간 인구이동을 기반으로 하는 기능가중회귀 모형을 활용하였다. 먼저 전역적 회귀모형을 통해 아파트 가격 결정요인의 전역적 계수를 확인하고, 국지적 계수를 GWR과 FWR을 탐색하고 결과를 비교하였다. 회귀모형의 종속변수는 행정동 별 단위면적당 아파트 매매가격을 사용하고, 독립변수로는 물리적 특성, 입지적 특성, 근린 환경을 사용하였다. 물리적 특성으로는 아파트 경과 년 수, 입지적 특성으로는 고등학교 거리, 지하철역 거리, 버스 정류장 거리, 근린 환경은 독거노인 비율, 자사고・특목고 입학비율을 사용하였다.
본 연구의 결과를 요약하면 다음과 같다. 먼저 GWR과 FWR의 국지적 회귀모형 결과를 비교한 결과, FWR의 설명력(R2 = 0.687)이 GWR의 설명력(R2 = 0.487)보다 높게 나타났다. 또한 모형 적합도를 비교했을 때, FWR의 RMSE가 더 낮아 높은 적합도를 보인다. 각 모형에서 잔차의 공간적 자기상관을 비교했을 때, FWR에서는 잔차의 공간적 자기상관이 해소되었으나, GWR에서는 강한 양의 공간적 자기상관이 나타났다. 이를 통해 아파트 가격처럼 공간적으로 불연속적인 현상은 인구 이동 기반의 기능적 관계를 활용하여 설명하는 것이 유용하다는 점을 보여준다.
FWR이 보여주는 부산시 아파트 가격 결정요인의 공간적 이질성은 다음과 같다. 먼저 아파트 경과 년 수는 전역적으로 음의 관계를 보이며, 특히 신도시가 형성된 강서구 지역에서는 신축 아파트에 대한 주거수요로 인해 높은 아파트 가격이 형성된다. 반면 해운대구, 수영구, 남구 지역은 오래된 고급 아파트 단지가 밀집하고 재건축 추진 단지가 많아 주거 이동 수요가 밀집하여 강한 양의 관계가 나타난다. 고등학교 거리는 전역적으로 유의미하지 않지만, 해운대구, 남구, 수영구 지역에서는 강한 양의 관계가 나타난다. 이는 고등학교 주변의 나타나는 부정적 효과로 인해 고등학교로부터 떨어진 아파트에 대한 수요가 높기 때문인 것으로 확인된다. 반면 상대적으로 교육 인프라가 부족한 부산 외곽지역은 고등학교까지의 거리가 가까울수록 높은 아파트 가격이 형성된다. 다음으로 대중교통 접근성 변수는 지하철역 거리는 전역적으로 유의미한 음의 관계가 나타난다. 주요 상업 시설이 밀집한 해운대구, 수영구, 남구 지역은 역세권에 가까울수록 높은 아파트 가격을 형성하는 것을 확인할 수 있다. 반면 사상구, 사하구 일대는 지하철 역 주변의 산업지구 등으로 지하철역의 부정적 외부효과로 인해 역과 거리가 먼 아파트의 가격이 상대적으로 높은 것으로 나타난다. 또한 강서구, 기장군 등 지하철역의 수가 부족한 지역은 지하철역 접근성의 영향력이 상대적으로 적게 나타난다. 오히려 해당지역은 지하철역 수가 적은 만큼 버스 정류장과 가까운 아파트의 주거 수요로 인해 높은 가격이 형성된다. 지하철 노선이 존재하지만 지형적 특성으로 인해 버스 의존도가 높은 동구 지역 역시 버스 정류장과 가까운 아파트가 높은 가격을 보이는 것으로 나타난다. 차량 의존도가 높은 영도구 지역은 버스 정류장의 부정적 효과로 인해 정류장과 거리가 멀수록 아파트 가격이 높아지는 것을 보인다. 독거노인 비율은 전역적으로 유의미한 음의 관계를 보이며, 고급주거 단지가 밀집하여 소득 수준이 높은 해운대구, 수영구 일대의 지역 역시 음의 관계가 나타난다. 반면 부산진구, 서구, 사하구, 영도구 지역은 고령인구가 밀집하고 낙후된 주거 환경을 보이지만 재건축과 도시재생사업의 기대치로 인해 독거노인 비율이 높을수록 높은 아파트 가격을 보이는 지역으로 나타난다. 마지막으로 자사고・특목고 입학비율은 높은 학업성취도와 연관된다. 해운대구, 수영구, 남구 일대 지역은 상위 학군으로 자사고・특목고 입학비율이 높아 높은 주거 수요를 야기해 아파트 가격이 높아지는 지역이다. 또한 부산국제고 등 자사고・특목고와 가까이 위치한 금정구, 사상구, 서구 지역에서도 강한 양의 관계가 나타난다.
본 연구는 다음과 같은 시사점을 갖는다. 먼저 지리적 연속성 대신 지역 간 인구이동에 기반하여 주거 수요를 반영한 부동산 가격의 이질성을 탐색하였다. 이를 통해 도시 공간에서 나타나는 부동산 가격의 불연속적인 특성을 파악하고, 향후 부동산 정책에서 지역간 기능적 연결성을 고려한 정책 수립의 필요성을 확인하였다. 또한 현대 사회는 물리적 거리보다 지역 간 연결성과 상호작용의 중요성이 커지며, 이러한 거시적 네트워크 속에서도 뚜렷한 국지적 변동이 지속적으로 나타난다(Harvey, 1991; Currie, 2022). 해당 맥락에서 본 연구의 지역간 기능적 연계를 기반으로 한 방법론적 접근은 경제적 불평등, 거주지 분화, 도시 구조 내부의 접근성 격차와 같은 급격한 국지적 변화가 관찰되는 인문지리학의 여러 하위 분야에서 폭넓은 적용 가능성을 지닐 수 있다.
본 연구의 한계는 다음과 같다. 먼저 인구이동 데이터는 행정동 단위로만 취득이 가능하여 행정동 내부의 개별 아파트의 특성을 반영하지 못하였다. 만약 더 작은 공간 단위의 인구이동 데이터의 취득이 가능하다면, 더 정확한 모형의 추정이 가능할 것으로 예상한다. 또한 학업성취도 측면에서 부산지역의 학군별 이질성을 반영하지 못하였다. 학군 단위는 실제 행정경계와는 다른 경계를 이루기 때문에 추후 학군 경계를 반영한 연구가 필요할 것으로 생각한다.









